Experimental Investigation and Statistical Evaluation of Optimized Cutting Process Parameters and Cutting Conditions to Minimize Cutting Forces and Shape Deviations in Al6026-T9
Abstract
1. Introduction
2. Literature Review
3. Materials and Methods
3.1. Experimental Environment
3.2. An Optimization Methodology for Single and Multi-Responses
4. Results and Discussions
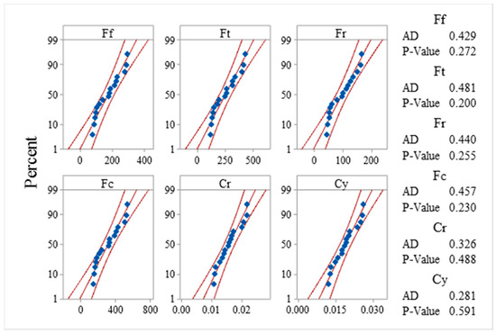
4.1. Probability Plots and Analysis of Variance (ANOVA)
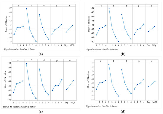
4.2. Optimization Based on S/N Ratios for Individual Responses
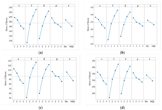
4.3. Main Effect Plots of Means of Cutting Forces
4.4. Main Effect Plots of Means of Shape Deviations
4.5. Multi-Response Optimization
4.6. Comparative Study
5. Conclusions
- Based on ANOVA it is found that the feed rate is the most significant influencing factor for components of cutting forces (namely feed forces, tangential forces, radial forces, and resultant forces) and shape deviations (i.e., circularity and cylindricity). However, the depth of cut has a significant effect on the feed force and radial force, and an insignificant effect on tangential force, and shape deviations. Cutting speed, positive rake angle and cutting conditions are found to be have an insignificant effect on components of cutting forces and shape deviations.
- The individual optimized levels identified, based on the Taguchi signal to noise (S/N) ratios for components of cutting forces are the same i.e., cutting speed and positive rake angle at a high level (800 m/min and 25°), feed rate and depth of cut at the low level (0.1 mm/rev and 1 mm) and cutting condition is MQL.
- The optimized levels for circularity and cylindricity deviation are also similar i.e., the cutting speed at level three (600 m/min), feed rate and depth of cut at level one (0.1 mm/rev and 1 mm), positive rake angle at level four (25°) and the MQL cutting condition.
- For multi-response optimization, the Taguchi based S/N ratio coupled with MOORA and CRITIC performed better compared to other multi-response optimization techniques such as the Taguchi grey relational analysis, composite desirability function, S/N ratios coupled with grey relational analysis, and Taguchi S/N ratios coupled with TOPSIS. The optimal parameters obtained based on the Taguchi S/N ratios coupled with MOORA and CRITIC are a cutting speed of 600 m/min, feed rate of 0.1 mm/rev, depth of cut of 1 mm, positive rake angle of 25° and the MQL cutting condition. The corresponding optimized responses obtained are tangential components of cutting forces: 113.55 N, feed force 60.28 N, radial force 18.51 N, a resultant component of three-component forces 129.9 N, circularity 0.0102 mm and cylindricity 0.0117 mm.
- The turning operation in the MQL environment using vegetable oil can be considered more effective as compared to the dry environment in reducing the components of cutting forces and shape deviations of the machined work piece.
- The detailed machining data generated related to aluminum alloys in the present study can be used as a benchmark permitting comparisons with other materials. It will help the industries to select the proper settings of cutting parameters for the cutting operation of aluminum alloy 6026–T9.
- Future studies can incorporate the comparison of olive oil with other lubricants to analyze its performance. The effect of tool type, and tool nose radius on cutting forces and shape deviations also need to be explored. Further, the effect of cutting parameters on response variables such as tool chattering, fatigue strength, and energy consumption need to be investigated.
Author Contributions
Funding
Acknowledgments
Conflicts of Interest
References
- Santos, M.C.; Machado, A.R.; Sales, W.F.; Barrozo, M.A.S.; Ezugwu, E.O. Machining of aluminum alloys: A review. Int. J. Adv. Manuf. Technol. 2016, 86, 3067–3080. [Google Scholar] [CrossRef]
- Soren, T.R.; Kumar, R.; Panigrahi, I.; Sahoo, A.K.; Panda, A.; Das, R.K. Machinability behavior of aluminium alloys: A brief study. Mater. Today Proc. 2019, 18, 5069–5075. [Google Scholar] [CrossRef]
- Krolczyk, G.M.; Maruda, R.W.; Krolczyk, J.B.; Wojciechowski, S.; Mia, M.; Nieslony, P.; Budzik, G. Ecological trends in machining as a key factor in sustainable production—A review. J. Clean. Prod. 2019, 218, 601–615. [Google Scholar] [CrossRef]
- Debnath, S.; Reddy, M.M.; Yi, Q.S. Environmental friendly cutting fluids and cooling techniques in machining: A review. J. Clean. Prod. 2014, 83, 33–47. [Google Scholar] [CrossRef]
- Jawahir, I.S.; Schoop, J.; Kaynak, Y.; Balaji, A.K.; Ghosh, R.; Lu, T. Progress towards modeling and optimization of sustainable machining processes. J. Manuf. Sci. Eng. 2020, 142, 1–27. [Google Scholar] [CrossRef]
- Katna, R.; Suhaib, M.; Agrawal, N. Nonedible vegetable oil-based cutting fluids for machining processes—A review. Mater. Manuf. Process. 2020, 35, 1–32. [Google Scholar] [CrossRef]
- Sen, B.; Mia, M.; Krolczyk, G.M.; Mandal, U.K.; Mondal, S.P. Eco-Friendly Cutting Fluids in Minimum Quantity Lubrication Assisted Machining: A Review on the Perception of Sustainable Manufacturing. Int. J. Precis. Eng. Manuf. Technol. 2019, 1–32. [Google Scholar] [CrossRef]
- Patel, G.C.M.; Lokare, D.; Chate, G.R.; Parappagoudar, M.B.; Nikhil, R.; Gupta, K. Analysis and optimization of surface quality while machining high strength aluminium alloy. Meas. J. Int. Meas. Confed. 2020, 152, 107337. [Google Scholar] [CrossRef]
- Ajay, C.V.; Vinoth, V. Optimization of process parameters in turning of aluminum alloy using response surface methodology. Mater. Today Proc. 2020, 1–7. [Google Scholar] [CrossRef]
- Javidikia, M.; Sadeghifar, M.; Songmene, V.; Jahazi, M. On the impacts of tool geometry and cutting conditions in straight turning of aluminum alloys 6061-T6: An experimentally validated numerical study. Int. J. Adv. Manuf. Technol. 2020, 106, 4547–4565. [Google Scholar] [CrossRef]
- Kannan, C.; Chaitanya, C.V.; Padala, D.; Reddy, L.; Ramanujam, R.; Balan, A.S.S. Machinability studies on aluminium matrix nanocomposite under the influence of MQL. Mater. Today Proc. 2019, 22, 1507–1516. [Google Scholar] [CrossRef]
- Duan, C.; Sun, W.; Che, M.; Yin, W. Effects of cooling and lubrication conditions on tool wear in turning of Al/SiCp composite. Int. J. Adv. Manuf. Technol. 2019, 103, 1467–1479. [Google Scholar] [CrossRef]
- Kouam, J.; Songmene, V.; Balazinski, M.; Hendrick, P. Effects of minimum quantity lubricating (MQL) conditions on machining of 7075-T6 aluminum alloy. Int. J. Adv. Manuf. Technol. 2015, 79, 1325–1334. [Google Scholar] [CrossRef]
- Yigit, R. An experimental investigation of effect of minimum quantity lubrication in machining 6082 aluminum alloy. Met. Mater. 2014, 52, 29–33. [Google Scholar] [CrossRef]
- Islam, M.N. Effect of additional factors on dimensional accuracy and surface finish of turned parts. Mach. Sci. Technol. 2013, 17, 145–162. [Google Scholar] [CrossRef]
- Jafarian, F.; Taghipour, M.; Amirabadi, H. Application of artificial neural network and optimization algorithms for optimizing surface roughness, tool life and cutting forces in turning operation. J. Mech. Sci. Technol. 2013, 27, 1469–1477. [Google Scholar] [CrossRef]
- De Agustina, B.; Bernal, C.; Camacho, A.M.; Rubio, E.M. Experimental analysis of the cutting forces obtained in dry turning processes of UNS A97075 aluminium alloys. Procedia Eng. 2013, 63, 694–699. [Google Scholar] [CrossRef]
- Sreejith, P.S. Machining of 6061 aluminium alloy with MQL, dry and flooded lubricant conditions. Mater. Lett. 2008, 62, 276–278. [Google Scholar] [CrossRef]
- Reis, D.D.; Abrão, A.M. The machining of aluminium alloy 6351. Proc. Inst. Mech. Eng. Part B J. Eng. Manuf. 2005, 219, 27–33. [Google Scholar] [CrossRef]
- Jan, Q.M.U.; Habib, T.; Noor, S.; Abas, M.; Azim, S.; Yaseen, Q.M. Multi response optimization of injection moulding process parameters of polystyrene and polypropylene to minimize surface roughness and shrinkage’s using integrated approach of S/N ratio and composite desirability function. Cogent Eng. 2020, 7. [Google Scholar] [CrossRef]
- Brauers, W.K.M. Multi-objective contractor’s ranking by applying the MOORA method. J. Bus. Econ. Manag. 2008, 9, 245–255. [Google Scholar] [CrossRef]
- Chakraborty, S. Applications of the MOORA method for decision making in manufacturing environment. Int. J. Adv. Manuf. Technol. 2011, 54, 1155–1166. [Google Scholar] [CrossRef]
- Tansel, Y.; Sebla, Y. MOORA-based Taguchi optimisation for improving product or process quality. Int. J. Prod. Res. 2013, 51, 3321–3341. [Google Scholar] [CrossRef]
- Li, L.H.; Mo, R. Production task queue optimization based on multi-attribute evaluation for complex product assembly workshop. PLoS ONE 2015, 10, e0134343. [Google Scholar] [CrossRef] [PubMed]
- Khan, A.M.; Jamil, M.; Salonitis, K.; Sarfraz, S.; Zhao, W.; He, N.; Mia, M.; Zhao, G.L. Multi-objective optimization of energy consumption and surface quality in nanofluid SQCl assisted face milling. Energies 2019, 12, 710. [Google Scholar] [CrossRef]
- Chi, G.T.; Li, G.; Cheng, Y.Q. The Human All-Round Development Evaluation Model Based on AHP and Standard Deviation and Empirical Study. Chin. J. Manag. 2010, 7, 301–310. [Google Scholar]
- Diakoulaki, D.; Mavrotas, G.; Papayannakis, L. Determining objective weights in multiple criteria problems: The critic method. Comput. Oper. Res. 1995, 22, 763–770. [Google Scholar] [CrossRef]
- Wu, Z.; Chen, Y. The maximizing deviation method for group multiple attribute decision making under linguistic environment. Fuzzy Sets Syst. 2007, 158, 1608–1617. [Google Scholar] [CrossRef]
- Saaty, T.L.; Vargas, L.G. Models, Methods, Concepts & Applications Of The Analytic Hierarchy Process; Springer: New York, NY, USA, 2012; Volume 175, p. 345. ISBN 146143596X. [Google Scholar]
- Parnell, G.S.; Trainor, T.E. 2.3.1 Using the Swing Weight Matrix to Weight Multiple Objectives. INCOSE Int. Symp. 2009, 19, 283–298. [Google Scholar] [CrossRef]
- Roszkowska, E. Rank ordering criteria weighting methods—A comparative overview. Optimum. Econ. Stud. 2013, 14–33. [Google Scholar] [CrossRef]
- Siregar, D.; Arisandi, D.; Usman, A.; Irwan, D.; Rahim, R. Research of Simple Multi-Attribute Rating Technique for Decision Support. J. Phys. Conf. Ser. 2017, 930, 012015. [Google Scholar] [CrossRef]
- Singaravel, B.; Selvaraj, T.; Vinodh, S. Multi-objective optimization of turning parameters using the combined moora and entropy method. Trans. Can. Soc. Mech. Eng. 2016, 40, 101–111. [Google Scholar] [CrossRef]
- Pathapalli, V.R.; Basam, V.R.; Gudimetta, S.K.; Koppula, M.R. Optimization of machining parameters using WASPAS and MOORA. World J. Eng. 2019, 17, 237–246. [Google Scholar] [CrossRef]
- Majumder, H.; Saha, A. Application of MCDM based hybrid optimization tool during turning of ASTM A588. Decis. Sci. Lett. 2018, 7, 143–156. [Google Scholar] [CrossRef]
- Akkaya, G.; Turanoğlu, B.; Öztaş, S. An integrated fuzzy AHP and fuzzy MOORA approach to the problem of industrial engineering sector choosing. Expert Syst. Appl. 2015, 42, 9565–9573. [Google Scholar] [CrossRef]
- Abas, M.; Sayd, L.; Akhtar, R.; Khalid, Q.S.; Khan, A.M.; Pruncu, C.I. Optimization of machining parameters of aluminum alloy 6026-T9 under MQL-assisted turning process. J. Mater. Res. Technol. 2020, 9, 10916–10940. [Google Scholar] [CrossRef]
- ISO 6318: Measurement of Roundness--Terms, Definitions and Parameters of Roundness; International Organization for Standardization: Geneva, Switzerland, 1985; Available online: https://www.iso.org/standard/12606.html (accessed on 2 April 2020).
- ISO 12180: Geometrical Product Specifications (GPS)—Cylindricity—Part 2: Specification Operators; International Organization for Standardization: Geneva, Switzerland, 2011; Available online: https://www.iso.org/standard/53612.html (accessed on 2 April 2020).
- Sood, P.K.; Sehgal, R.; Dwivedi, D.K. Machinability Study of Stir Cast Hypoeutectic Aluminum-Silicon Alloys During Turning. J. Mater. Eng. Perform. 2013, 22, 470–482. [Google Scholar] [CrossRef]
- Patole, P.B.; Kulkarni, V.V. Experimental investigation and optimization of cutting parameters with multi response characteristics in MQL turning of AISI 4340 using nano fluid Experimental investigation and optimization of cutting parameters with multi response characteristics in MQL. Cogent Eng. 2017, 4, 11. [Google Scholar] [CrossRef]
- Elbah, M.; Laouici, H.; Benlahmidi, S.; Nouioua, M.; Yallese, M.A. Comparative assessment of machining environments (dry, wet and MQL) in hard turning of AISI 4140 steel with CC6050 tools. Int. J. Adv. Manuf. Technol. 2019, 105, 2581–2597. [Google Scholar] [CrossRef]
- Hanief, M.; Wani, M.F.; Charoo, M.S. Modeling and prediction of cutting forces during the turning of red brass (C23000) using ANN and regression analysis. Eng. Sci. Technol. Int. J. 2017, 20, 1220–1226. [Google Scholar] [CrossRef]
- Dai, X.; Zhuang, K.; Ding, H. A systemic investigation of tool edge geometries and cutting parameters on cutting forces in turning of Inconel 718. Int. J. Adv. Manuf. Technol. 2019, 105, 531–543. [Google Scholar] [CrossRef]
- Rafai, N.H.; Islam, M.N. An investigation into dimensional accuracy and surface finish achievable in dry turning. Mach. Sci. Technol. 2009, 13, 571–589. [Google Scholar] [CrossRef]
- Cui, B.; Han, R. Modeling of Dimensional Errors in Slender Bar Turning Using Artificial Neural Networks. In Proceedings of the 7th World Congress on Intelligent Control and Automation, Chongqing, China, 25–27 June 2008; pp. 6053–6056. [Google Scholar]
- Saleem, W.; Asad, M.; Zain-ul-abdein, M.; Ijaz, H.; Mabrouki, T. Numerical investigations of optimum turning parameters—AA2024-T351 aluminum alloy. Mach. Sci. Technol. 2016, 20, 634–654. [Google Scholar] [CrossRef]
- Dhar, N.R.; Kamruzzaman, M.; Ahmed, M. Effect of minimum quantity lubrication (MQL) on tool wear and surface roughness in turning AISI-4340 steel. J. Mater. Process. Technol. 2006, 172, 299–304. [Google Scholar] [CrossRef]
- Balasubramaniyan, S.; Selvaraj, T. Application of integrated Taguchi and TOPSIS method for optimization of process parameters for dimensional accuracy in turning of EN25 steel parameters for dimensional accuracy in turning of EN25 steel. J. Chin. Inst. Eng. 2017, 3839, 1–8. [Google Scholar] [CrossRef]
- Prakash, K.S.; Gopal, P.M.; Karthik, S. Multi-objective optimization using Taguchi based grey relational analysis in turning of Rock dust reinforced Aluminum MMC. Measurement 2020, 157, 107664. [Google Scholar] [CrossRef]
- Derringer, G.; Suich, R. Simultaneous Optimization of Several Response Variables. J. Qual. Technol. 1980, 12, 214–219. [Google Scholar] [CrossRef]
- Wojciechowski, S.; Maruda, R.W.; Krolczyk, G.M.; Niesłony, P. Application of signal to noise ratio and grey relational analysis to minimize forces and vibrations during precise ball end milling. Precis. Eng. 2018, 51, 582–596. [Google Scholar] [CrossRef]








| Process Parameters | Symbols | Levels | |||
|---|---|---|---|---|---|
| 1 | 2 | 3 | 4 | ||
| Cutting speed (m/min) | c | 200 | 400 | 600 | 800 |
| Feed rate (mm/rev) | f | 0.1 | 0.2 | 0.3 | 0.4 |
| Depth of cut (mm) | d | 1 | 1.5 | 2 | 2.5 |
| Positive rake angle (°) | p | 10 | 15 | 20 | 25 |
| Cutting conditions | e | Dry | MQL | ||
| Experimental Run | c (m/min) | f (mm/rev) | d (mm) | p (°) | e | Ff (N) | Ft (N) | Fr (N) | Fc (N) | Cr (mm) | Cy (mm) |
|---|---|---|---|---|---|---|---|---|---|---|---|
| 1 | 1 | 1 | 1 | 1 | 1 | 96.23 | 135.60 | 55.60 | 175.33 | 0.0141 | 0.0175 |
| 2 | 1 | 2 | 2 | 2 | 1 | 184.90 | 258.70 | 111.30 | 336.90 | 0.0165 | 0.0202 |
| 3 | 1 | 3 | 3 | 3 | 2 | 232.00 | 337.60 | 135.34 | 431.41 | 0.0198 | 0.0235 |
| 4 | 1 | 4 | 4 | 4 | 2 | 278.20 | 401.80 | 148.40 | 510.75 | 0.0215 | 0.0258 |
| 5 | 2 | 1 | 2 | 3 | 2 | 75.25 | 113.50 | 45.20 | 143.49 | 0.0108 | 0.0131 |
| 6 | 2 | 2 | 1 | 4 | 2 | 83.17 | 117.30 | 43.15 | 150.13 | 0.0110 | 0.0127 |
| 7 | 2 | 3 | 4 | 1 | 1 | 290.90 | 411.20 | 161.00 | 528.80 | 0.0206 | 0.0251 |
| 8 | 2 | 4 | 3 | 2 | 1 | 295.70 | 425.90 | 164.40 | 543.93 | 0.0215 | 0.0259 |
| 9 | 3 | 1 | 3 | 4 | 1 | 92.05 | 125.50 | 51.20 | 163.84 | 0.0105 | 0.0121 |
| 10 | 3 | 2 | 4 | 3 | 1 | 225.20 | 316.70 | 125.07 | 408.24 | 0.0142 | 0.0174 |
| 11 | 3 | 3 | 1 | 2 | 2 | 117.60 | 170.30 | 62.00 | 216.05 | 0.0125 | 0.0148 |
| 12 | 3 | 4 | 2 | 1 | 2 | 212.70 | 310.40 | 116.00 | 393.76 | 0.0158 | 0.0193 |
| 13 | 4 | 1 | 4 | 2 | 2 | 102.20 | 143.10 | 52.20 | 183.43 | 0.0135 | 0.0158 |
| 14 | 4 | 2 | 3 | 1 | 2 | 182.50 | 260.10 | 95.20 | 331.70 | 0.0163 | 0.0193 |
| 15 | 4 | 3 | 2 | 4 | 1 | 176.12 | 245.80 | 98.40 | 317.99 | 0.0171 | 0.0206 |
| 16 | 4 | 4 | 1 | 3 | 1 | 138.60 | 185.90 | 78.40 | 244.78 | 0.0155 | 0.0184 |
| Source | DF | Adj SS | Adj MS | F-Value | p-Value | % Contribution | |
|---|---|---|---|---|---|---|---|
| Ff | c | 3 | 5791 | 1930.5 | 3.82 | 0.214 | 6.63 |
| f | 3 | 44,142 | 14,714.1 | 29.12 | 0.033 * | 50.52 | |
| d | 3 | 30,377 | 10,125.8 | 20.04 | 0.048 * | 34.77 | |
| p | 3 | 3128 | 1042.6 | 2.06 | 0.343 | 3.58 | |
| e | 1 | 2918 | 2918.2 | 5.77 | 0.138 | 3.34 | |
| Error | 2 | 1011 | 505.3 | ||||
| Total | 15 | 87,368 | |||||
| Ft | c | 3 | 13,819 | 4606 | 3.39 | 0.236 | 7.57 |
| f | 3 | 91,649 | 30,550 | 22.47 | 0.043 * | 50.20 | |
| d | 3 | 63,542 | 21,181 | 15.58 | 0.061 | 34.81 | |
| p | 3 | 6877 | 2292 | 1.69 | 0.393 | 3.77 | |
| e | 1 | 3944 | 3944 | 2.9 | 0.231 | 2.16 | |
| Error | 2 | 2719 | 1360 | ||||
| Total | 15 | 182,550 | |||||
| Fr | c | 3 | 2443.5 | 814.5 | 7.47 | 0.12 | 9.02 |
| f | 3 | 13,217.9 | 4406 | 40.4 | 0.024 * | 48.82 | |
| d | 3 | 8886 | 2962 | 27.16 | 0.036 * | 32.82 | |
| p | 3 | 944.4 | 314.8 | 2.89 | 0.268 | 3.49 | |
| e | 1 | 1366.8 | 1366.8 | 12.53 | 0.071 | 5.05 | |
| Error | 2 | 218.1 | 109.1 | ||||
| Total | 15 | 27,076.7 | |||||
| Fc | c | 3 | 21,987 | 7329 | 3.76 | 0.217 | 7.41 |
| f | 3 | 148,989 | 49,663 | 25.5 | 0.038 * | 50.24 | |
| d | 3 | 102,720 | 34,240 | 17.58 | 0.054 | 34.64 | |
| p | 3 | 10,887 | 3629 | 1.86 | 0.368 | 3.67 | |
| e | 1 | 8060 | 8060 | 4.14 | 0.179 | 2.72 | |
| Error | 2 | 3896 | 1948 | ||||
| Total | 15 | 296,537 |
| Source | DF | Adj SS | Adj MS | F-Value | p-Value | % Contribution | |
|---|---|---|---|---|---|---|---|
| Cr | c | 3 | 0.000045 | 0.000015 | 15.56 | 0.061 | 22.06 |
| f | 3 | 0.0001 | 0.000033 | 34.57 | 0.028 * | 49.02 | |
| d | 3 | 0.000044 | 0.000015 | 15.37 | 0.062 | 21.57 | |
| p | 3 | 0.000008 | 0.000003 | 2.68 | 0.284 | 3.92 | |
| e | 1 | 0.000005 | 0.000005 | 5.02 | 0.154 | 2.45 | |
| Error | 2 | 0.000002 | 0.000001 | ||||
| Total | 15 | 0.000204 | |||||
| Cy | c | 3 | 0.000069 | 0.000023 | 10.8 | 0.086 | 22.26 |
| f | 3 | 0.000147 | 0.000049 | 22.94 | 0.042 * | 47.42 | |
| d | 3 | 0.000063 | 0.000021 | 9.88 | 0.093 | 20.32 | |
| p | 3 | 0.000015 | 0.000005 | 2.41 | 0.307 | 4.84 | |
| e | 1 | 0.00001 | 0.00001 | 4.86 | 0.158 | 3.23 | |
| Error | 2 | 0.000004 | 0.000002 | ||||
| Total | 15 | 0.00031 |
| Experimental Run | Ff | Ft | Fr | Fc | Cr | Cy |
|---|---|---|---|---|---|---|
| 1 | −39.666 | −42.645 | −34.901 | −44.877 | 37.016 | 35.139 |
| 2 | −45.339 | −48.256 | −40.930 | −50.550 | 35.650 | 33.893 |
| 3 | −47.310 | −50.568 | −42.629 | −52.698 | 34.067 | 32.579 |
| 4 | −48.887 | −52.080 | −43.429 | −54.164 | 33.351 | 31.768 |
| 5 | −37.530 * | −41.100 * | −33.103 | −43.136 * | 39.332 | 37.655 |
| 6 | −38.399 | −41.386 | −32.700 * | −43.529 | 39.172 | 37.924 |
| 7 | −49.275 | −52.281 | −44.137 | −54.466 | 33.723 | 32.007 |
| 8 | −49.417 | −52.586 | −44.318 | −54.711 | 33.351 | 31.734 |
| 9 | −39.280 | −41.973 | −34.185 | −44.288 | 39.576 * | 38.344 * |
| 10 | −47.051 | −50.013 | −41.943 | −52.218 | 36.954 | 35.189 |
| 11 | −41.408 | −44.624 | −35.848 | −46.691 | 38.062 | 36.595 |
| 12 | −46.555 | −49.838 | −41.289 | −51.905 | 36.027 | 34.289 |
| 13 | −40.189 | −43.113 | −34.353 | −45.269 | 37.393 | 36.027 |
| 14 | −45.225 | −48.303 | −39.573 | −50.415 | 35.756 | 34.289 |
| 15 | −44.916 | −47.812 | −39.860 | −50.048 | 35.340 | 33.723 |
| 16 | −42.835 | −45.386 | −37.886 | −47.776 | 36.193 | 34.704 |
| Experimental Run | Ff | Ft | Fr | Fc | Cr | Cy |
|---|---|---|---|---|---|---|
| 1 | −0.225 | −0.226 | −0.224 | −0.227 | 0.254 | 0.252 |
| 2 | −0.257 | −0.256 | −0.262 | −0.256 | 0.245 | 0.243 |
| 3 | −0.268 | −0.268 | −0.273 | −0.267 | 0.234 | 0.234 |
| 4 | −0.277 | −0.276 | −0.278 | −0.274 | 0.229 | 0.228 |
| 5 | −0.213 | −0.218 | −0.212 | −0.219 | 0.270 | 0.270 |
| 6 | −0.218 | −0.219 | −0.210 | −0.221 | 0.269 | 0.272 |
| 7 | −0.279 | −0.277 | −0.283 | −0.276 | 0.232 | 0.230 |
| 8 | −0.280 | −0.279 | −0.284 | −0.277 | 0.229 | 0.228 |
| 9 | −0.223 | −0.222 | −0.219 | −0.224 | 0.272 | 0.275 |
| 10 | −0.267 | −0.265 | −0.269 | −0.265 | 0.254 | 0.253 |
| 11 | −0.235 | −0.237 | −0.230 | −0.237 | 0.262 | 0.263 |
| 12 | −0.264 | −0.264 | −0.265 | −0.263 | 0.248 | 0.246 |
| 13 | −0.228 | −0.229 | −0.220 | −0.229 | 0.257 | 0.259 |
| 14 | −0.256 | −0.256 | −0.254 | −0.255 | 0.246 | 0.246 |
| 15 | −0.254 | −0.253 | −0.255 | −0.254 | 0.243 | 0.242 |
| 16 | −0.243 | −0.241 | −0.243 | −0.242 | 0.249 | 0.249 |
| Experimental Run | Ff | Ft | Fr | Fc | Cr | Cy |
|---|---|---|---|---|---|---|
| 1 | −0.020 | −0.021 | −0.022 | −0.021 | 0.082 | 0.076 |
| 2 | −0.023 | −0.024 | −0.026 | −0.023 | 0.079 | 0.073 |
| 3 | −0.024 | −0.025 | −0.027 | −0.024 | 0.076 | 0.071 |
| 4 | −0.025 | −0.026 | −0.028 | −0.025 | 0.074 | 0.069 |
| 5 | −0.019 | −0.021 | −0.021 | −0.020 | 0.088 | 0.082 |
| 6 | −0.020 | −0.021 | −0.021 | −0.020 | 0.087 | 0.082 |
| 7 | −0.025 | −0.026 | −0.028 | −0.025 | 0.075 | 0.069 |
| 8 | −0.025 | −0.026 | −0.028 | −0.025 | 0.074 | 0.069 |
| 9 | −0.020 | −0.021 | −0.022 | −0.020 | 0.088 | 0.083 |
| 10 | −0.024 | −0.025 | −0.027 | −0.024 | 0.082 | 0.076 |
| 11 | −0.021 | −0.022 | −0.023 | −0.021 | 0.085 | 0.079 |
| 12 | −0.024 | −0.025 | −0.026 | −0.024 | 0.080 | 0.074 |
| 13 | −0.020 | −0.022 | −0.022 | −0.021 | 0.083 | 0.078 |
| 14 | −0.023 | −0.024 | −0.025 | −0.023 | 0.080 | 0.074 |
| 15 | −0.023 | −0.024 | −0.025 | −0.023 | 0.079 | 0.073 |
| 16 | −0.022 | −0.023 | −0.024 | −0.022 | 0.081 | 0.075 |
| Experimental Run | Normalized Assessment Values | Rank |
|---|---|---|
| 1 | 0.074 | 6 |
| 2 | 0.056 | 11 |
| 3 | 0.046 | 13 |
| 4 | 0.040 | 15 |
| 5 | 0.089 | 1 |
| 6 | 0.088 | 2 |
| 7 | 0.040 | 14 |
| 8 | 0.038 | 16 |
| 9 | 0.088 | 3 |
| 10 | 0.059 | 8 |
| 11 | 0.076 | 5 |
| 12 | 0.056 | 12 |
| 13 | 0.077 | 4 |
| 14 | 0.058 | 9 |
| 15 | 0.057 | 10 |
| 16 | 0.065 | 7 |
| Cutting Parameters | Levels | Optimal Levels | Delta | Parameters Rank | |||
|---|---|---|---|---|---|---|---|
| 1 | 2 | 3 | 4 | ||||
| Cutting speed | 0.054 | 0.064 | 0.070 | 0.064 | 3 | 0.016 | 3 |
| Feed rate | 0.082 | 0.066 | 0.055 | 0.050 | 1 | 0.032 | 1 |
| Depth of cut | 0.076 | 0.064 | 0.058 | 0.054 | 1 | 0.022 | 2 |
| Positive rake angle | 0.057 | 0.062 | 0.065 | 0.068 | 4 | 0.011 | 4 |
| Cutting conditions | 0.060 | 0.066 | 2 | 0.006 | 5 | ||
| Experimental Run | Ff | Ft | Fr | Fc | Cr | Cy |
|---|---|---|---|---|---|---|
| 1 | 0.095 | 0.071 | 0.103 | 0.080 | 0.327 | 0.391 |
| 2 | 0.497 | 0.465 | 0.562 | 0.483 | 0.545 | 0.587 |
| 3 | 0.711 | 0.717 | 0.760 | 0.719 | 0.845 | 0.826 |
| 4 | 0.921 | 0.923 | 0.868 | 0.917 | 1.000 | 0.993 |
| 5 | 0.000 | 0.000 | 0.017 | 0.000 | 0.027 | 0.072 |
| 6 | 0.036 | 0.012 | 0.000 | 0.017 | 0.045 | 0.043 |
| 7 | 0.978 | 0.953 | 0.972 | 0.962 | 0.918 | 0.942 |
| 8 | 1.000 | 1.000 | 1.000 | 1.000 | 1.000 | 1.000 |
| 9 | 0.076 | 0.038 | 0.066 | 0.051 | 0.000 | 0.000 |
| 10 | 0.680 | 0.650 | 0.676 | 0.661 | 0.336 | 0.384 |
| 11 | 0.192 | 0.182 | 0.155 | 0.181 | 0.182 | 0.196 |
| 12 | 0.623 | 0.630 | 0.601 | 0.625 | 0.482 | 0.522 |
| 13 | 0.122 | 0.095 | 0.075 | 0.100 | 0.273 | 0.268 |
| 14 | 0.487 | 0.469 | 0.429 | 0.470 | 0.527 | 0.522 |
| 15 | 0.458 | 0.423 | 0.456 | 0.436 | 0.600 | 0.616 |
| 16 | 0.287 | 0.232 | 0.291 | 0.253 | 0.455 | 0.457 |
| Correlation | ||||||
|---|---|---|---|---|---|---|
| Ff | Ft | Fr | Fc | Cr | Cy | |
| Ff | 1.000 | 0.999 | 0.995 | 1.000 | 0.917 | 0.921 |
| Ft | 0.999 | 1.000 | 0.994 | 1.000 | 0.916 | 0.920 |
| Fr | 0.995 | 0.994 | 1.000 | 0.995 | 0.918 | 0.925 |
| Fc | 1.000 | 1.000 | 0.995 | 1.000 | 0.917 | 0.921 |
| Cr | 0.917 | 0.916 | 0.918 | 0.917 | 1.000 | 0.997 |
| Cy | 0.921 | 0.920 | 0.925 | 0.921 | 0.997 | 1.000 |
| Other parameters of CRITIC | ||||||
| Degree of conflict | 0.090 | 0.092 | 0.098 | 0.089 | 0.333 | 0.316 |
| Degree of contrast | 0.335 | 0.342 | 0.339 | 0.340 | 0.325 | 0.319 |
| Weights | 0.030 | 0.032 | 0.033 | 0.030 | 0.108 | 0.101 |
| Normalized weights | 0.090 | 0.094 | 0.100 | 0.090 | 0.324 | 0.302 |
| Priority | 6 | 4 | 3 | 5 | 1 | 2 |
| c | F | d | p | e | Ff | Ft | Fr | Fc | Cr | Cy | |
|---|---|---|---|---|---|---|---|---|---|---|---|
| Initial control parameters | 400 | 0.1 | 1 | 10° | MQL | 90.23 | 130.55 | 22.75 | 160.32 | 0.0141 | 0.0171 |
| Taguchi S/N ratios and TOPSIS | 400 | 0.1 | 1 | 25° | MQL | 64.15 | 116.21 | 21.22 | 134.43 | 0.0111 | 0.0121 |
| Taguchi based Grey relational analysis | |||||||||||
| S/N ratios and Grey relational analysis | |||||||||||
| Composite desirability function | |||||||||||
| Taguchi S/N ratios, MOORA and CRITIC | 600 | 0.1 | 1 | 25° | MQL | 60.28 | 113.55 | 18.51 | 129.9 | 0.0102 | 0.0117 |
© 2020 by the authors. Licensee MDPI, Basel, Switzerland. This article is an open access article distributed under the terms and conditions of the Creative Commons Attribution (CC BY) license (http://creativecommons.org/licenses/by/4.0/).
Share and Cite
Abas, M.; Salah, B.; Khalid, Q.S.; Hussain, I.; Babar, A.R.; Nawaz, R.; Khan, R.; Saleem, W. Experimental Investigation and Statistical Evaluation of Optimized Cutting Process Parameters and Cutting Conditions to Minimize Cutting Forces and Shape Deviations in Al6026-T9. Materials 2020, 13, 4327. https://doi.org/10.3390/ma13194327
Abas M, Salah B, Khalid QS, Hussain I, Babar AR, Nawaz R, Khan R, Saleem W. Experimental Investigation and Statistical Evaluation of Optimized Cutting Process Parameters and Cutting Conditions to Minimize Cutting Forces and Shape Deviations in Al6026-T9. Materials. 2020; 13(19):4327. https://doi.org/10.3390/ma13194327
Chicago/Turabian StyleAbas, Muhammad, Bashir Salah, Qazi Salman Khalid, Iftikhar Hussain, Abdur Rehman Babar, Rashid Nawaz, Razaullah Khan, and Waqas Saleem. 2020. "Experimental Investigation and Statistical Evaluation of Optimized Cutting Process Parameters and Cutting Conditions to Minimize Cutting Forces and Shape Deviations in Al6026-T9" Materials 13, no. 19: 4327. https://doi.org/10.3390/ma13194327
APA StyleAbas, M., Salah, B., Khalid, Q. S., Hussain, I., Babar, A. R., Nawaz, R., Khan, R., & Saleem, W. (2020). Experimental Investigation and Statistical Evaluation of Optimized Cutting Process Parameters and Cutting Conditions to Minimize Cutting Forces and Shape Deviations in Al6026-T9. Materials, 13(19), 4327. https://doi.org/10.3390/ma13194327

