Enhanced Morphology-Dependent Tensile Property and Breakdown Strength of Impact Polypropylene Copolymer for Cable Insulation
Abstract
1. Introduction
2. Materials and Methods
2.1. Sample Preparation
2.2. Characterization
3. Results
3.1. Enhanced AC Breakdown Strength and Elongation at Break of IPC
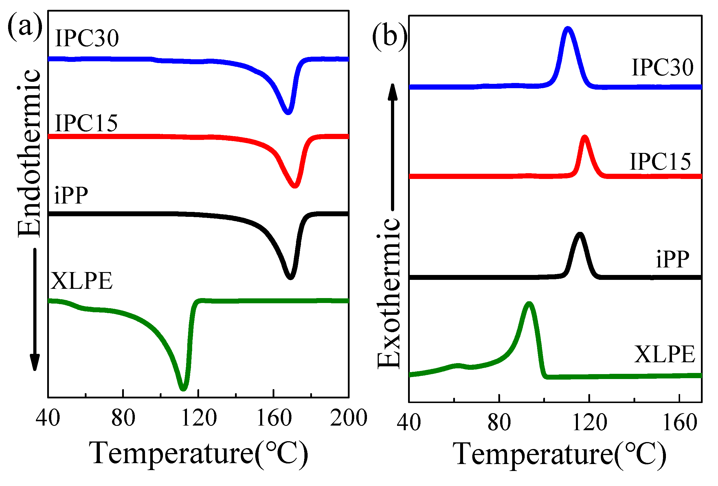
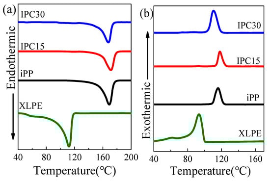
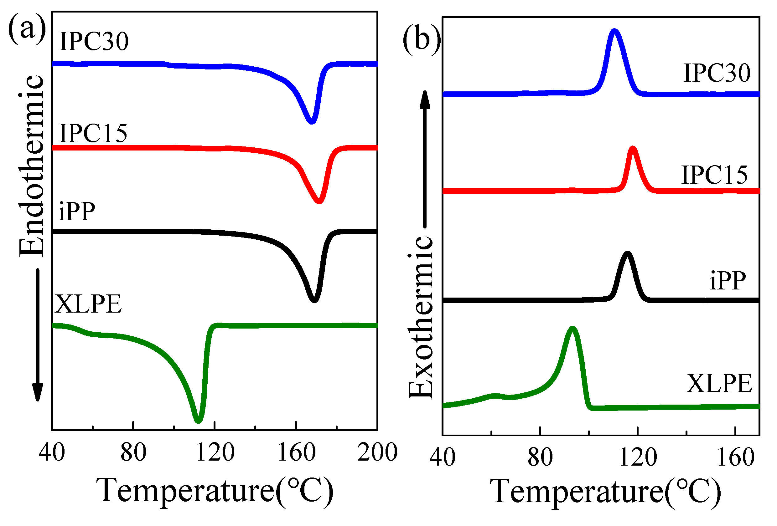
3.2. Differences of Crystalline Structure Between IPC and iPP
3.3. Morphology of PP and IPCs
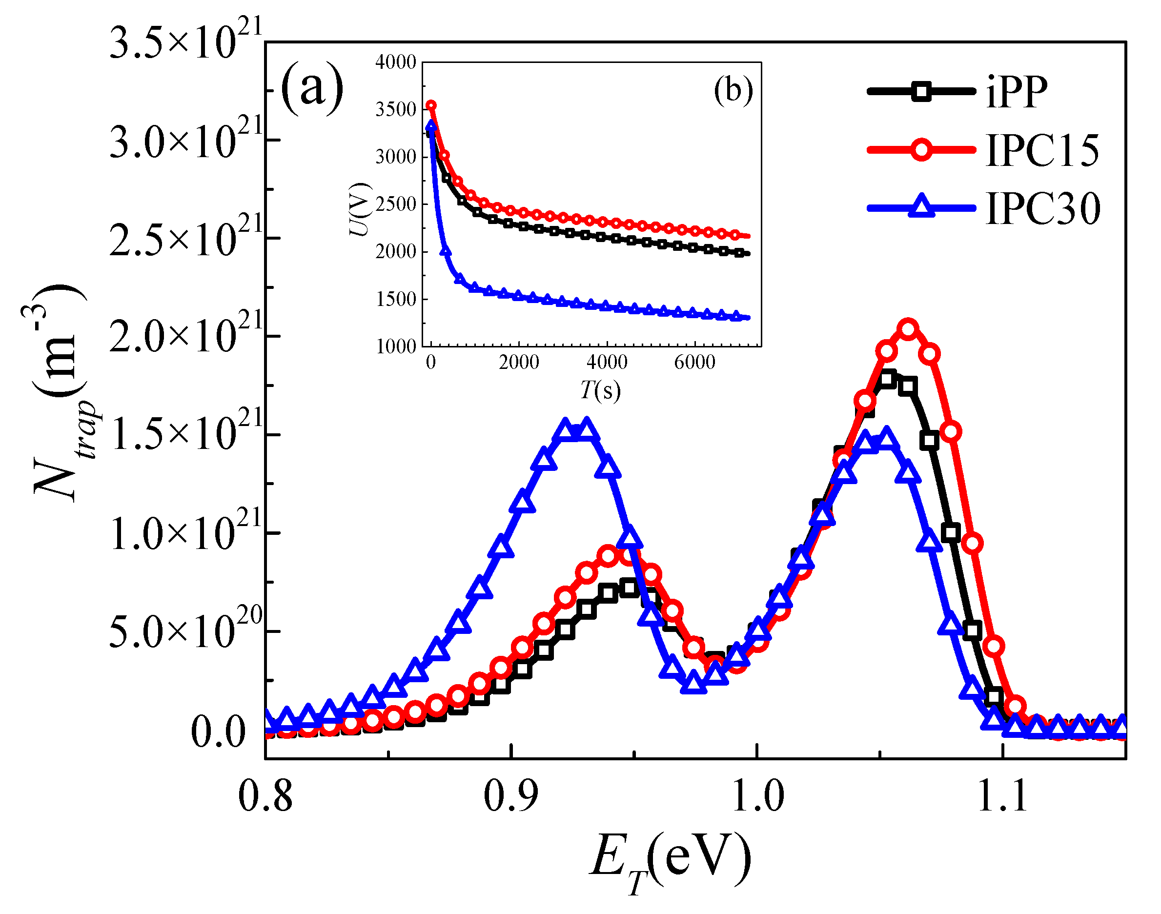
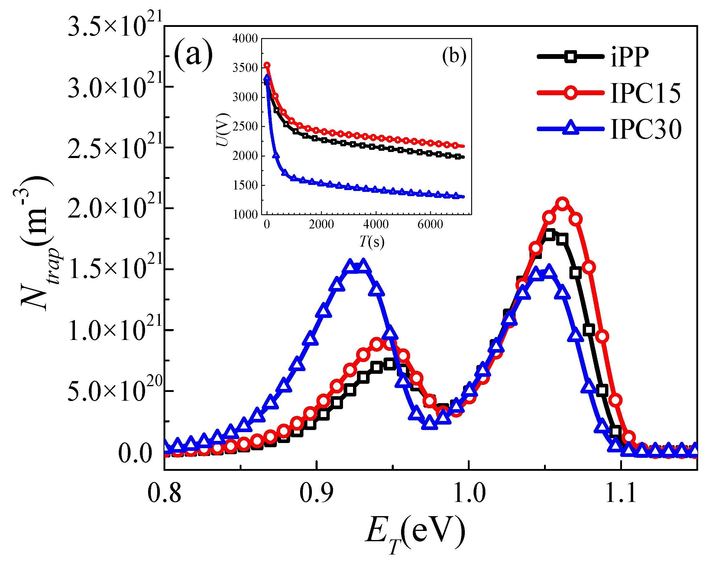
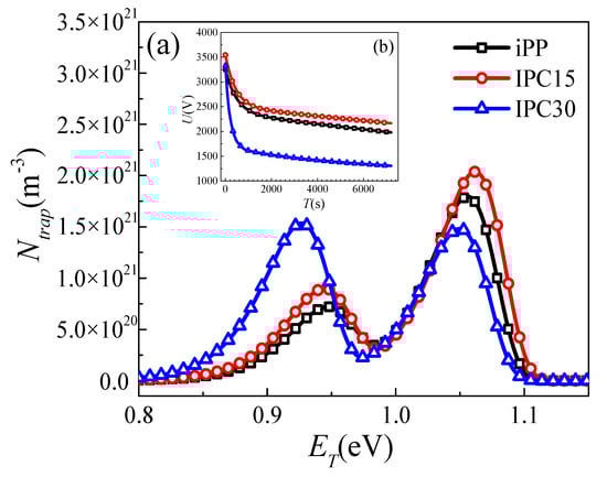
3.4. Trap distribution of iPP and IPC
4. Discussion
4.1. Schematic Diagram of the Spherulite Structure Evolution Affected by the Rubber Phase
4.2. Role of the Rubber Phase on the Mechanical Properties
4.3. Relation Between the Microstructure and Trap Distribution of IPC
4.4. Mechanism of the Enhanced Breakdown Strength of IPC
5. Conclusions
- (1)
- Impact copolymerization is an effective way to optimize the electrical and mechanical properties of iPP simultaneously. Compared with iPP, the breakdown strength and elongation at break of IPC15 increase about 8.0 and 64.9%, respectively. However, a sharp decrease in the breakdown strength and elongation at break can be found with an excessive rubber phase content.
- (2)
- The enhanced breakdown strength of IPC15 is attributed to the impact of lamella thickness and crystalline structure defects. The lamella thickness of IPC15 is larger than iPP and IPCs, which leads to an elevated breakdown strength. It is also suggested that the crystalline structure defects caused by ethylene segments in the PP crystal are responsible for the increase in the deep trap density and level of IPC15, which can further lead to an increased breakdown strength. The high elongation at break of IPC15 is influenced by the rubber microspheres among the lamellas. The elongation at break can be increased by rubber microspheres through enhancing the relative sliding among lamellas under external force and reducing the stress concentration.
- (3)
- The sharply decreased breakdown strength of IPC30 is considered to be caused by the expansion of amorphous regions. An increased rubber phase content leads to a significant decrease in crystallinity, which further results in the decrease in the deep trap level and density. It was found that the lamella thickness of IPC30 is the thinnest. The breakdown strength sharply declined due to the decreased lamella thickness and deep trap.
Author Contributions
Funding
Conflicts of Interest
References
- Huang, X.; Zhang, J.; Jiang, P.; Tanaka, T. Material progress toward recyclable insulation of power cables part 2: Polypropylene-based thermoplastic materials. IEEE Electr. Insul. Mag. 2019, 36, 8–18. [Google Scholar] [CrossRef]
- Huang, X.; Zhang, J.; Jiang, P. Thermoplastic insulation materials for power cables: History and progress. High Voltage Eng. 2018, 44, 1377–1398. [Google Scholar] [CrossRef]
- Yoshitsugu, M.; Tsuyoshi, D.; Asakiyo, U.; Akira, S.; Masaki, K.; Tsuyoshi, M.; Yoshiji, M.; Kiyoshi, K.; Katsuim, Y. The application of novel polypropylene to the insulation of electric power cable (2). IEEJ Trans. Fundam. Mater. 2003, 123, 797–803. [Google Scholar] [CrossRef]
- Yoshitsugu, M.; Tsuyoshi, D.; Asakiyo, U.; Akira, S.; Masaki, K.; Tsuyoshi, M.; Yoshiji, M.; Kiyoshi, K.; Katsuim, Y. The application of novel polypropylene to the insulation of electric power cable (3). IEEJ Trans. Fundam. Mater. 2004, 124, 331–336. [Google Scholar] [CrossRef][Green Version]
- Hosier, I.L.; Vaughan, A.S.; Swingler, S.G. An investigation of the potential of polypropylene and its blends for use in recyclable high voltage cable insulation systems. J. Mater. Sci. 2011, 46, 4058–4070. [Google Scholar] [CrossRef]
- Hosier, I.L.; Cozzarini, L.; Vaughan, A.S.; Swingler, S.G. Propylene based systems for high voltage cable insulation applications. J. Phys. Conf. Ser. 2009, 183, 012015. [Google Scholar] [CrossRef]
- Gao, Y.; Li, J.; Yuan, Y.; Huang, S.; Du, B. Trap distribution and dielectric breakdown of isotactic polypropylenepropylene based elastomer with improved flexibility for dc cable insulation. IEEE Access 2018, 10, 58645–58661. [Google Scholar] [CrossRef]
- Zhou, Y.; Dang, B.; Wang, H.; Liu, J.; Li, Q.; Hu, J.; He, J. Polypropylene-based ternary nanocomposites for recyclable high-voltage direct-current cable insulation. Compos. Sci. Technol. 2018, 165, 168–174. [Google Scholar] [CrossRef]
- Mauri, M.; Hofmann, I.A.; Gómez-Heincke, D.; Kumara, S.; Pourrahimi, A.M.; Ouyang, Y.; Hagstrand, P.; Gkourmpis, T.; Xu, X.; Prietob, O.; et al. Click chemistry-type crosslinking of a low-conductivity polyethylene copolymer ternary blend for power cable insulation. Polym. Int. 2020, 69, 404–412. [Google Scholar] [CrossRef]
- Ouyang, Y.; Mauri, M.; Pourrahimi, A.M.; Ostergren, I.; Lund, A.; Gkourmpis, T.; Hagstrand, P.; Xu, X.; Prietob, O.; Müllera, C. Recyclable Polyethylene Insulation via Reactive Compounding with a Maleic Anhydride-Grafted Polypropylene. ACS Appl. Polym. Mater. 2020, 2, 2389–2396. [Google Scholar] [CrossRef]
- Zhou, Y.; Niu, H.; Kong, L.; Zhao, Y.; Dong, J.; Wang, D. Probing into the pristine basic morphology of high impact polypropylene particles. Polymer 2009, 50, 4690–4695. [Google Scholar] [CrossRef]
- Zhang, C.; Shangguan, Y.; Chen, R.; Wu, Y.; Chen, F.; Zheng, Q.; Hu, G. Morphology, microstructure and compatibility of impact polypropylene copolymer. Polymer 2010, 51, 4969–4977. [Google Scholar] [CrossRef]
- Li, R.; Xing, Q.; Zhao, Y.; Wang, D.; Hu, X. Correlation between chain microstructure and mechanical properties of two polypropylene/poly (ethylene-co-propylene) in-reactor alloys. Colloid Polym. Sci. 2015, 293, 1011–1021. [Google Scholar] [CrossRef]
- Wang, J.; Niu, H.; Dong, J.; Du, J.; Han, C.C. Morphology and mechanical properties of polypropylene/poly(propylene-1-octene) in-reactor alloys prepared by Metallocene/ZieglereNatta hybrid catalyst. Polymer 2012, 53, 1507–1516. [Google Scholar] [CrossRef]
- Chang, F. Electrical properties of flexible polypropylene based cable insulation materials. J. Mater. Sci. 2006, 41, 2037–2043. [Google Scholar] [CrossRef]
- Zhou, F.; Li, J.; Yan, Z.; Zhang, X.; Yang, Y.; Liu, M.; Min, D.; Li, S. Investigation of charge trapping and detrapping dynamics in LDPE, HDPE and XLPE. IEEE Trans. Dielectr. Electr. Insul. 2016, 23, 3742–3751. [Google Scholar] [CrossRef]
- Meng, P.; Zhou, Y.; Yuan, C.; Li, Q.; Liu, J.; Wang, H.; Hu, J.; He, J. Comparisons of different polypropylene copolymers as potential recyclable HVDC cable insulation materials. IEEE Trans. Dielectr. Electr. Insul. 2019, 26, 674–680. [Google Scholar] [CrossRef]
- Zhou, Y.; He, J.; Hu, J.; Huang, X.; Jiang, P. Evaluation of polypropylene/polyolefin elastomer blends for potential recyclable hvdc cable insulation applications. IEEE Trans. Dielectr. Electr. Insul. 2015, 22, 673–681. [Google Scholar] [CrossRef]
- Green, C.; Vaughan, A.; Stevens, G.; Pye, A.; Sutton, S.; Geussens, T.; Fairhurst, M. Thermoplastic cable insulation comprising a blend of isotactic polypropylene and a propylene-ethylene copolymer. IEEE Trans. Dielectr. Electr. Insul. 2015, 22, 639–648. [Google Scholar] [CrossRef]
- Grebowicz, J.; Lau, S.; Wunderlich, B. The thermal properties of polypropylene. J. Polym. Sci. Polym. Symp. 2007, 71, 19–37. [Google Scholar] [CrossRef]
- Goede, E.D.; Mallon, P.; Pasch, H. Fractionation and Analysis of an Impact Poly (propylene) Copolymer by TREF and SEC-FTIR. Macromol. Mater. Eng. 2010, 295, 366–373. [Google Scholar] [CrossRef]
- Chen, R.; Shangguan, Y.; Zhang, C.; Chen, F.; Harkin-Jones, E.; Zheng, Q. Influence of molten-state annealing on the phase structure and crystallization behaviour of high impact polypropylene copolymer. Polymer 2011, 52, 2956–2963. [Google Scholar] [CrossRef]
- Santonja-Blasco, L.; Rungswang, W.; Alamo, R.G. Characterization and morphological distribution of ethylene content in impact propylene copolymers. Macromol. Symp. 2018, 377, 1700046. [Google Scholar] [CrossRef]
- Yan, Z.; Yang, K.; Zhang, Y.; Wang, S.; Li, J. Crosslinking dependence of trap distribution and breakdown performance of crosslinked polyethylene. J. Mater. Sci. Mater. Electr. 2019, 30, 20605–20613. [Google Scholar] [CrossRef]
- Li, R.; Zhang, X.; Zhao, Y.; Hu, X.; Zhao, X.; Wang, D. New polypropylene blends toughened by polypropylene/poly (ethylene-co-propylene) in-reactor alloy: Compositional and morphological influence on mechanical properties. Polymer 2009, 50, 5124–5133. [Google Scholar] [CrossRef]
- Pustak, A.; Denac, M.; Škapin, A.S.; Švab, I.; Musil, V.; Šmit, I. Mechanical and rheological properties of silica-reinforced polypropylene/m-EPR blends. J. Poly. Res. 2016, 23, 163. [Google Scholar] [CrossRef]
- Li, Z.; Zhong, Z.; Du, B. Dielectric relaxation and trap-modulated DC breakdown of polypropylene blend insulation. Polymer 2019, 185, 121935. [Google Scholar] [CrossRef]
- Wang, S.; Chen, P.; Li, H.; Li, J.; Chen, Z. Improved DC performance of crosslinked polyethylene insulation depending on a higher purity. IEEE Trans. Dielectr. Electr. Insul. 2017, 24, 1809–1817. [Google Scholar] [CrossRef]
- Zha, J.; Yan, H.; Li, W.; Dang, Z. Morphology and crystalline-phase-dependent electrical insulating properties in tailored polypropylene for HVDC cables. Appl. Phys. Lett. 2016, 109, 222902. [Google Scholar] [CrossRef]










| Sample Code | Weibull Parameters | |
|---|---|---|
| α | β | |
| XLPE | 108.6 ± 8.4 | 13.5 |
| iPP | 143.4 ± 7.8 | 27.5 |
| IPC15 | 154.9 ± 9.4 | 22.2 |
| IPC30 | 117.8 ± 8.3 | 15.8 |
| Sample Code | Tm(°C) | Tc(°C) | ΔHm(J/g) | Xc(%) | L(nm) |
|---|---|---|---|---|---|
| XLPE | 112.1 | 93.3 | 79.87 | 27.8 | / |
| iPP | 169.0 | 116.0 | 65.13 | 31.2 | 31.99 |
| IPC15 | 171.1 | 118.1 | 63.47 | 30.4 | 36.04 |
| IPC30 | 168.0 | 110.6 | 43.57 | 20.9 | 30.37 |
| Sample Code | ET (eV) | Ntrap (m−3) | ||
|---|---|---|---|---|
| Shallow | Deep | Shallow | Deep | |
| iPP | 0.949 | 1.055 | 7.43 × 1020 | 1.79 × 1021 |
| IPC15 | 0.942 | 1.063 | 9.36 × 1020 | 2.04 × 1021 |
| IPC30 | 0.928 | 1.048 | 1.55 × 1021 | 1.49 × 1021 |
© 2020 by the authors. Licensee MDPI, Basel, Switzerland. This article is an open access article distributed under the terms and conditions of the Creative Commons Attribution (CC BY) license (http://creativecommons.org/licenses/by/4.0/).
Share and Cite
Yang, K.; Liu, Y.; Yan, Z.; Tian, Y.; Liu, Y.; Jing, Z.; Li, J.; Li, S. Enhanced Morphology-Dependent Tensile Property and Breakdown Strength of Impact Polypropylene Copolymer for Cable Insulation. Materials 2020, 13, 3935. https://doi.org/10.3390/ma13183935
Yang K, Liu Y, Yan Z, Tian Y, Liu Y, Jing Z, Li J, Li S. Enhanced Morphology-Dependent Tensile Property and Breakdown Strength of Impact Polypropylene Copolymer for Cable Insulation. Materials. 2020; 13(18):3935. https://doi.org/10.3390/ma13183935
Chicago/Turabian StyleYang, Kai, Yun Liu, Zhimin Yan, Ye Tian, Yitao Liu, Zhenghong Jing, Jianying Li, and Shengtao Li. 2020. "Enhanced Morphology-Dependent Tensile Property and Breakdown Strength of Impact Polypropylene Copolymer for Cable Insulation" Materials 13, no. 18: 3935. https://doi.org/10.3390/ma13183935
APA StyleYang, K., Liu, Y., Yan, Z., Tian, Y., Liu, Y., Jing, Z., Li, J., & Li, S. (2020). Enhanced Morphology-Dependent Tensile Property and Breakdown Strength of Impact Polypropylene Copolymer for Cable Insulation. Materials, 13(18), 3935. https://doi.org/10.3390/ma13183935
