Synthesis of Novel Kaolin-Supported g-C3N4/CeO2 Composites with Enhanced Photocatalytic Removal of Ciprofloxacin
Abstract
1. Introduction
2. Experimental
2.1. Materials
2.2. Preparation of g-C3N4
2.3. Preparation of Kaolin/CeO2 Composite
2.4. Preparation of Kaolin/CeO2/g-C3N4 Composite
2.5. Characterization
2.6. Photocatalytic Activity
3. Results and Discussion
3.1. Physicochemical Properties
3.2. Photocatalytic Activity
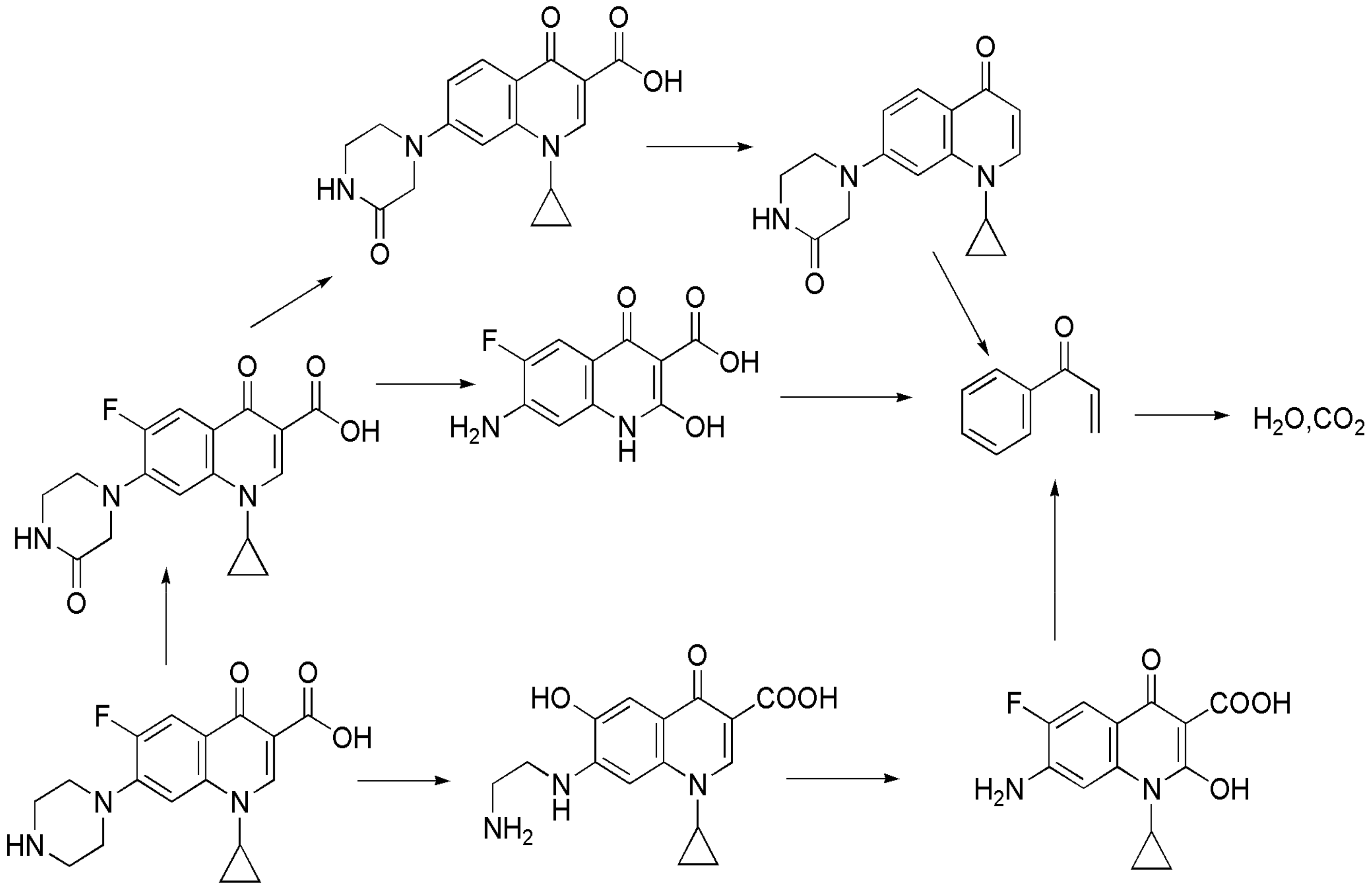
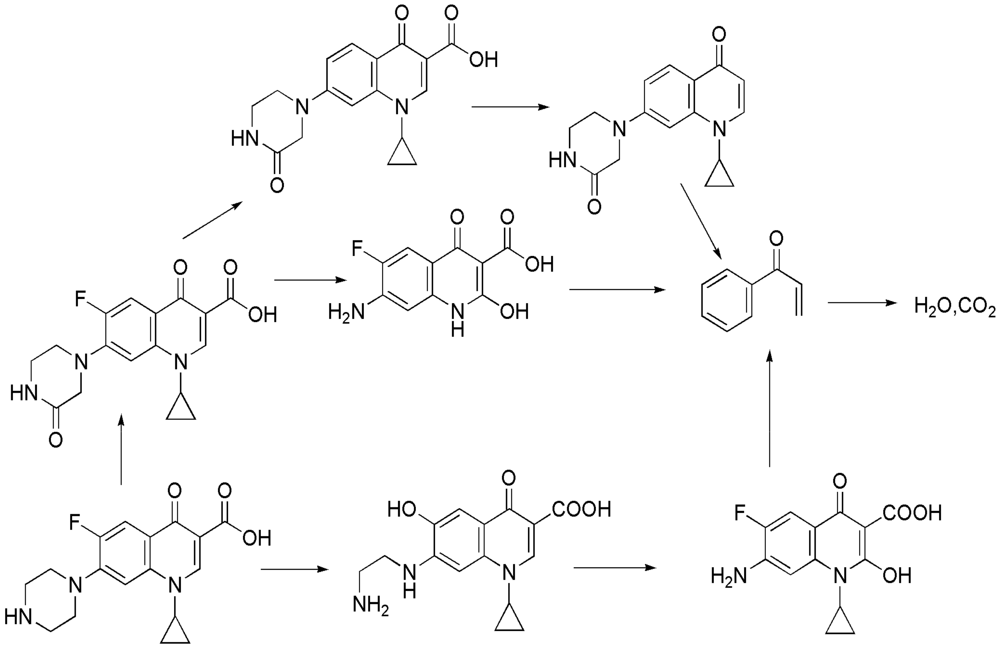
3.3. Photocatalytic Mechanism
4. Conclusions
Supplementary Materials
Author Contributions
Funding
Acknowledgments
Conflicts of Interest
References
- Jourshabani, M.; Shariatinia, Z.; Badiei, A. Facile one-pot synthesis of cerium oxide/sulfur-doped graphitic carbon nitride (g-C3N4) as efficient nanophotocatalysts under visible light irradiation. J. Colloid Interface Sci. 2017, 507, 59–73. [Google Scholar] [CrossRef] [PubMed]
- Xu, Y.G.; Ge, F.Y.; Chen, Z.G.; Huang, S.Q.; Wei, W.; Xie, M.; Xu, H.; Li, H.M. One-step synthesis of Fe-doped surface-alkalinized g-C3N4 and their improved visible-light photocatalytic performance. Appl. Surf. Sci. 2019, 469, 739–746. [Google Scholar] [CrossRef]
- Song, S.Y.; Chen, H.D.; Li, C.X.; Shi, D.S.; Ying, Y.; Han, Y.B.; Xu, J.C.; Hong, B.; Jin, H.X.; Jin, D.F.; et al. Magnetic Bi2WO6 nanocomposites: Synthesis, magnetic response and their visible-light-driven photocatalytic performance for ciprofloxacin. Chem. Phys. 2020, 530, 1–7. [Google Scholar] [CrossRef]
- Shoorangiz, M.; Nikoo, M.R.; Salari, M.; Rakhshandehroo, G.R.; Sadegh, M. Optimized electro-Fenton process with sacrificial stainless steel anode for degradation/mineralization of ciprofloxacin. Process. Saf. Environ. 2019, 132, 340–350. [Google Scholar] [CrossRef]
- Zhu, Y.J.; Wang, Y.Y.; Jiang, X.X.; Zhou, S.; Wu, M.; Pan, M.L.; Chen, H. Microbial community compositional analysis for membrane bioreactor treating antibiotics containing wastewater. Chem. Eng. J. 2017, 325, 300–309. [Google Scholar] [CrossRef]
- Fiorenza, R.; Balsamo, S.A.; D’Urso, L.; Sciré, S.; Brundo, M.V.; Pecoraro, R.; Scalisi, E.M.; Privitera, V.; Impellizzeri, G. CeO2 for Water Remediation: Comparison of Various Advanced Oxidation Processes. Catalysts 2020, 10, 1–16. [Google Scholar] [CrossRef]
- Koyuncu, I.; Arikan, O.A.; Wiesner, M.R.; Rice, C. Removal of hormones and antibiotics by nanofiltration membranes. J. Membr. Sci. 2008, 309, 94–101. [Google Scholar] [CrossRef]
- Dong, S.Y.; Cui, L.F.; Zhang, W.; Xia, L.J.; Zhou, S.J.; Russell, C.K.; Fan, M.H.; Feng, J.L.; Sun, J.H. Double-shelled ZnSnO3 hollow cubes for efficient photocatalytic degradation of antibiotic wastewater. Chem. Eng. J. 2020, 384, 1–10. [Google Scholar] [CrossRef]
- Ton, N.Q.T.; Le, T.N.T.; Kim, S.; Dao, V.A.; Yi, J.; Vu, T.H.T. High-Efficiency Photo-Generated Charges of ZnO/TiO(2) Heterojunction Thin Films for Photocatalytic and Antibacterial Performance. J. Nanosci. Nanotechnol. 2020, 20, 2214–2222. [Google Scholar] [CrossRef]
- He, D.; Zhang, Z.; Xing, Y.; Zhou, Y.; Yang, H.; Liu, H.; Qu, J.; Yuan, X.; Guan, J.; Zhang, Y.-N. Black phosphorus/graphitic carbon nitride: A metal-free photocatalyst for “green” photocatalytic bacterial inactivation under visible light. Chem. Eng. J. 2020, 384, 1–11. [Google Scholar] [CrossRef]
- Li, C.; Sun, Z.; Xue, Y.; Yao, G.; Zheng, S. A facile synthesis of g-C3N4/TiO2 hybrid photocatalysts by sol–gel method and its enhanced photodegradation towards methylene blue under visible light. Adv. Powder Technol. 2016, 27, 330–337. [Google Scholar] [CrossRef]
- Tong, Z.W.; Yang, D.; Xiao, T.X.; Tian, Y.; Jiang, Z.Y. Biomimetic fabrication of g-C3N4/TiO2 nanosheets with enhanced photocatalytic activity toward organic pollutant degradation. Chem. Eng. J. 2015, 260, 117–125. [Google Scholar] [CrossRef]
- Li, C.; Sun, Z.; Huang, W.; Zheng, S. Facile synthesis of g-C3N4/montmorillonite composite with enhanced visible light photodegradation of rhodamine B and tetracycline. J. Taiwan Inst. Chem. E 2016, 66, 363–371. [Google Scholar] [CrossRef]
- Li, C.Q.; Sun, Z.M.; Liu, L.X.; Huang, W.X.; Zheng, S.L. Facile synthesis and enhanced visible-light photoactivity of a g-C3N4/mullite composite. RSC Adv. 2016, 6, 91002–91011. [Google Scholar] [CrossRef]
- Wang, W.; Yu, J.C.; Xia, D.; Wong, P.K.; Li, Y. Graphene and g-C3N4 nanosheets cowrapped elemental alpha-sulfur as a novel metal-free heterojunction photocatalyst for bacterial inactivation under visible-light. Environ. Sci. Technol. 2013, 47, 8724–8732. [Google Scholar] [CrossRef]
- She, X.; Xu, H.; Wang, H.; Xia, J.; Song, Y.; Yan, J.; Xu, Y.; Zhang, Q.; Du, D.; Li, H. Controllable synthesis of CeO2/g-C3N4 composites and their applications in the environment. Dalton T 2015, 44, 1–31. [Google Scholar] [CrossRef]
- Wen, J.; Xie, J.; Chen, X.; Li, X. A review on g-C 3 N 4 -based photocatalysts. Appl. Surf. Sci. 2017, 391, 72–123. [Google Scholar] [CrossRef]
- Huang, Z.F.; Song, J.J.; Pan, L.; Wang, Z.M.; Zhang, X.Q.; Zou, J.J.; Mi, W.B.; Zhang, X.W.; Wang, L. Carbon nitride with simultaneous porous network and O-doping for efficient solar-energy-driven hydrogen evolution. Nano Energy 2015, 12, 646–656. [Google Scholar] [CrossRef]
- Zhang, M.; Bai, X.J.; Liu, D.; Wang, J.; Zhu, Y.F. Enhanced catalytic activity of potassium-doped graphitic carbon nitride induced by lower valence position. Appl. Catal. B Environ. 2015, 164, 77–81. [Google Scholar] [CrossRef]
- Li, Y.; Sun, Y.; Dong, F.; Ho, W.K. Enhancing the photocatalytic activity of bulk g-C3N4 by introducing mesoporous structure and hybridizing with graphene. J. Colloid Interface Sci. 2014, 436, 29–36. [Google Scholar] [CrossRef]
- Nair, A.A.S.; Sundara, R.; Anitha, N. Hydrogen storage performance of palladium nanoparticles decorated graphitic carbon nitride. Int. J. Hydrogen Energ. 2015, 40, 3259–3267. [Google Scholar] [CrossRef]
- Fan, Y.R.; Li, X.J.; He, X.C.; Zeng, C.M.; Fan, G.Y.; Liu, Q.Q.; Tang, D.M. Effective hydrolysis of ammonia borane catalyzed by ruthenium nanoparticles immobilized on graphic carbon nitride. Int. J. Hydrogen Energ. 2014, 39, 19982–19989. [Google Scholar] [CrossRef]
- Fan, G.Y.; Liu, Q.Q.; Tang, D.M.; Li, X.J.; Bi, J.; Gao, D.J. Nanodiamond supported Ru nanoparticles as an effective catalyst for hydrogen evolution from hydrolysis of ammonia borane. Int. J. Hydrogen Energ. 2016, 41, 1542–1549. [Google Scholar] [CrossRef]
- Akbayrak, S.; Tanyildizi, S.; Morkan, I.; Ozkar, S. Ruthenium(0) nanoparticles supported on nanotitania as highly active and reusable catalyst in hydrogen generation from the hydrolysis of ammonia borane. Int. J. Hydrogen Energy 2014, 39, 9628–9637. [Google Scholar] [CrossRef]
- Babu, B.; Koutavarapu, R.; Shim, J.; Yoo, K. SnO2 quantum dots decorated NiFe2O4 nanoplates: 0D/2D heterojunction for enhanced visible-light-driven photocatalysis. Mat. Sci. Semicon. Proc. 2020, 107, 1–11. [Google Scholar] [CrossRef]
- Wu, Z.Z.; Ouyang, M.; Wang, D.Z. Construction of WS2/MoSe2 heterojunction for efficient photoelectrocatalytic hydrogen evolution. Mat. Sci. Semicon. Proc. 2020, 107, 1–9. [Google Scholar] [CrossRef]
- Fan, H.X.; Zhou, H.L.; Li, W.J.; Gu, S.N.; Zhou, G.W. Facile fabrication of 2D/2D step-scheme In2S3/Bi2O2CO3 heterojunction towards enhanced photocatalytic activity. Appl. Surf. Sci. 2020, 504, 1–8. [Google Scholar] [CrossRef]
- Zhou, C.; Liu, Z.; Fang, L.; Guo, Y.; Feng, Y.; Yang, M. Kinetic and Mechanistic Study of Rhodamine B Degradation by H2O2 and Cu/Al2O3/g-C3N4 Composite. Catalysts 2020, 10, 1–23. [Google Scholar] [CrossRef]
- Humayun, M.; Hu, Z.; Khan, A.; Cheng, W.; Yuan, Y.; Zheng, Z.; Fu, Q.; Luo, W. Highly efficient degradation of 2,4-dichlorophenol over CeO2/g-C3N4 composites under visible-light irradiation: Detailed reaction pathway and mechanism. J. Hazard. Mater. 2019, 364, 635–644. [Google Scholar] [CrossRef]
- Jiang, L.H.; Yao, M.G.; Liu, B.; Li, Q.J.; Liu, R.; Lv, H.; Lu, S.C.; Gong, C.; Zou, B.; Cui, T.; et al. Controlled Synthesis of CeO2/Graphene Nanocomposites with Highly Enhanced Optical and Catalytic Properties. J. Phys. Chem. C. 2012, 116, 11741–11745. [Google Scholar] [CrossRef]
- Tomova, D.; Iliev, V.; Eliyas, A.; Rakovsky, S. Promoting the oxidative removal rate of oxalic acid on gold-doped CeO2/TiO2 photocatalysts under UV and visible light irradiation. Sep. Purif. Technol. 2015, 156, 715–723. [Google Scholar] [CrossRef]
- Latha, P.; Karuthapandian, S. Novel, Facile and Swift Technique for Synthesis of CeO2 Nanocubes Immobilized on Zeolite for Removal of CR and MO Dye. J. Clust. Sci. 2017, 28, 3265–3280. [Google Scholar] [CrossRef]
- Islam, M.J.; Reddy, D.A.; Choi, J.; Kim, T.K. Surface oxygen vacancy assisted electron transfer and shuttling for enhanced photocatalytic activity of a Z-scheme CeO2–AgI nanocomposite. RSC Adv. 2016, 6, 19341–19350. [Google Scholar] [CrossRef]
- Zou, W.X.; Shao, Y.; Pu, Y.; Luo, Y.D.; Sun, J.F.; Ma, K.L.; Tang, C.J.; Gao, F.; Dong, L. Enhanced visible light photocatalytic hydrogen evolution via cubic CeO2 hybridized g-C3N4 composite. Appl. Catal. B Environ. 2017, 218, 51–59. [Google Scholar] [CrossRef]
- Lei, W.Y.; Zhang, T.T.; Gu, L.; Liu, P.; Rodriguez, J.A.; Liu, G.; Liu, M.H. Surface-Structure Sensitivity of CeO2 Nanocrystals in Photocatalysis and Enhancing the Reactivity with Nanogold. ACS Catal. 2015, 5, 4385–4393. [Google Scholar] [CrossRef]
- Li, M.L.; Zhang, L.X.; Wu, M.Y.; Du, Y.Y.; Fan, X.Q.; Wang, M.; Zhang, L.L.; Kong, Q.L.; Shi, J.L. Mesostructured CeO2/g-C3N4 nanocomposites: Remarkably enhanced photocatalytic activity for CO2 reduction by mutual component activations. Nano Energy 2016, 19, 145–155. [Google Scholar] [CrossRef]
- Zhang, Y.L.; Gan, H.H.; Zhang, G.K. A novel mixed-phase TiO2/kaolinite composites and their photocatalytic activity for degradation of organic contaminants. Chem. Eng. J. 2011, 172, 936–943. [Google Scholar] [CrossRef]
- Dedkova, K.; Matejova, K.; Lang, J.; Peikertova, P.; Kutlakova, K.M.; Neuwirthova, L.; Frydrysek, K.; Kukutschova, J. Antibacterial activity of kaolinite/nanoTiO2 composites in relation to irradiation time. J. Photoch. Photobio. B 2014, 135, 17–22. [Google Scholar] [CrossRef]
- Hajjaji, W.; Andrejkovičová, S.; Pullar, R.C.; Tobaldi, D.M.; Lopez-Galindo, A.; Jammousi, F.; Rocha, F.; Labrincha, J.A. Effective removal of anionic and cationic dyes by kaolinite and TiO2/kaolinite composites. Clay Miner. 2018, 51, 19–27. [Google Scholar] [CrossRef]
- Zhang, Q.; Zhang, Y.; Chen, J.; Liu, Q. Hierarchical Structure Kaolinite Nanospheres with Remarkably Enhanced Adsorption Properties for Methylene Blue. Nanoscale Res. Lett. 2019, 14, 1–9. [Google Scholar] [CrossRef]
- Li, D.; Yang, K.; Wang, X.; Ma, Y.; Huang, C.J. Enhancement of photocatalytic activity of combustion-synthesized CeO2/C3N4 nanoparticles. Appl. Phys. A 2015, 239, 3–5. [Google Scholar] [CrossRef]
- Hu, H.; Du, Y.; Hu, X.; He, Y.; He, C.; Liu, E.; Fan, J. Enhanced reduction and oxidation capability over CeO2/g-C3N4 hybrid through surface carboxylation: Performance and mechanism. Catal. Sci. Technol. 2018, 1039, 1–16. [Google Scholar] [CrossRef]
- Mbey, J.A.; Thomas, F.; Razafitianamaharavo, A.; Caillet, C.; Villieras, F. A comparative study of some kaolinites surface properties. Appl. Clay Sci. 2019, 172, 135–145. [Google Scholar] [CrossRef]
- Li, C.Q.; Sun, Z.M.; Dong, X.B.; Zheng, S.L.; Dionysiou, D.D. Acetic acid functionalized TiO2/kaolinite composite photocatalysts with enhanced photocatalytic performance through regulating interfacial charge transfer. J. Catal. 2018, 367, 126–138. [Google Scholar] [CrossRef]
- Ritz, M.; Valaskova, M. Infrared and Raman spectroscopy of three commercial vermiculites doped with cerium dioxide nanoparticles. Spectrochim. Acta A 2018, 201, 39–45. [Google Scholar] [CrossRef]
- Sun, Z.M.; Yuan, F.; Li, X.; Li, C.Q.; Xu, J.; Wang, B. Fabrication of Novel Cyanuric Acid Modified g-C3N4/Kaolinite Composite with Enhanced Visible Light-Driven Photocatalytic Activity. Minerals 2018, 8, 1–15. [Google Scholar] [CrossRef]
- Dong, X.; Sun, Z.; Zhang, X.; Li, C.; Zheng, S. Construction of BiOCl/g-C3N4 /kaolinite composite and its enhanced photocatalysis performance under visible-light irradiation. J. Taiwan Inst. Chem. E. 2018, 84, 203–211. [Google Scholar] [CrossRef]
- Li, C.; Sun, Z.; Li, X.; Liu, L.; Zheng, S. Facile fabrication of g-C3N4/precipitated silica composite with enhanced visible-light photoactivity for the degradation of rhodamine B and Congo red. Adv. Powder Technol. 2016, 27, 2051–2060. [Google Scholar] [CrossRef]
- Jiang, Y.; Liu, F. Effects of Sc or/and Ge addition on microstructure and mechanical properties of as-cast 6016 Al alloy. J. Alloy. Compd. 2019, 809, 1–10. [Google Scholar] [CrossRef]
- Mishra, A.; Mehta, A.; Kainth, S.; Basu, S. A comparative study on the effect of different precursors for synthesis and efficient photocatalytic activity of g-C3N4/TiO2/bentonite nanocomposites. J. Mater. Sci. 2018, 53, 13126–13142. [Google Scholar] [CrossRef]
- Xu, J.; Li, X.; Niu, J.; Chen, M.; Yue, J. Synthesis of direct Z-Scheme Bi3TaO7/CdS composite photocatalysts with enhanced photocatalytic performance for ciprofloxacin degradation under visible light irradiation. J. Alloy. Compd. 2020, 834, 1–46. [Google Scholar] [CrossRef]
- Li, C.; Sun, Z.; Zhang, W.; Yu, C.; Zheng, S. Highly efficient g-C3N4/TiO2/kaolinite composite with novel three-dimensional structure and enhanced visible light responding ability towards ciprofloxacin and S. Aureus. Appl. Catal. B Environ. 2018, 220, 272–282. [Google Scholar] [CrossRef]
- Li, X.; Xue, J.; Ma, S.; Xu, P.; Huang, C.; Wang, M. Synthesis of MgAl LDH/Acidified g-C3N4 Heterojunction Photocatalyst for Improved Tetracycline Hydrochloride Degradation Activity. Nano 2019, 14, 1–13. [Google Scholar] [CrossRef]
- Bai, X.; Du, Y.; Hu, X.; He, Y.; He, C.; Liu, E.; Fan, J. Synergy removal of Cr (VI) and organic pollutants over RP-MoS2/rGO photocatalyst. Appl. Catal. B Environ. 2018, 239, 204–213. [Google Scholar] [CrossRef]










| Sample Name | Slope | Pore Volume (cm3/g) | Pore Diameter (nm) | C Constant | Surface Area (m2/g) |
|---|---|---|---|---|---|
| CeO2 | 341.548 | 0.0331 | 8.9552 | 24.305 | 9.77 |
| kaolin | 268.517 | 0.0507 | 13.6668 | 37.946 | 12.628 |
| g-C3N4 | 115.108 | 0.0787 | 19.4854 | 94.908 | 29.936 |
| kaolin/CeO2/g-C3N4 | 44.621 | 0.1286 | 31.0499 | 178.012 | 77.608 |
| Samples | ECB for NHEa/eV | EVB for NHE a/eV | Eg/eV |
|---|---|---|---|
| g-C3N4 | −0.91 | 1.82 | 2.73 |
| CeO2 | −0.71 | 2.04 | 2.75 |
© 2020 by the authors. Licensee MDPI, Basel, Switzerland. This article is an open access article distributed under the terms and conditions of the Creative Commons Attribution (CC BY) license (http://creativecommons.org/licenses/by/4.0/).
Share and Cite
Huang, Z.; Li, L.; Li, Z.; Li, H.; Wu, J. Synthesis of Novel Kaolin-Supported g-C3N4/CeO2 Composites with Enhanced Photocatalytic Removal of Ciprofloxacin. Materials 2020, 13, 3811. https://doi.org/10.3390/ma13173811
Huang Z, Li L, Li Z, Li H, Wu J. Synthesis of Novel Kaolin-Supported g-C3N4/CeO2 Composites with Enhanced Photocatalytic Removal of Ciprofloxacin. Materials. 2020; 13(17):3811. https://doi.org/10.3390/ma13173811
Chicago/Turabian StyleHuang, Zhiquan, Leicheng Li, Zhiping Li, Huan Li, and Jiaqi Wu. 2020. "Synthesis of Novel Kaolin-Supported g-C3N4/CeO2 Composites with Enhanced Photocatalytic Removal of Ciprofloxacin" Materials 13, no. 17: 3811. https://doi.org/10.3390/ma13173811
APA StyleHuang, Z., Li, L., Li, Z., Li, H., & Wu, J. (2020). Synthesis of Novel Kaolin-Supported g-C3N4/CeO2 Composites with Enhanced Photocatalytic Removal of Ciprofloxacin. Materials, 13(17), 3811. https://doi.org/10.3390/ma13173811
