The Effect of Heat Treatment on the Microstructure and Mechanical Properties of the Novel Low-Cost Ti-3Al-5Mo-4Cr-2Zr-1Fe Alloy
Abstract
:1. Introduction
2. Experiment
3. Results and Discussion
3.1. Microstructure of Ti-35421 Alloy
3.1.1. Microstructure of As-Solutionized States
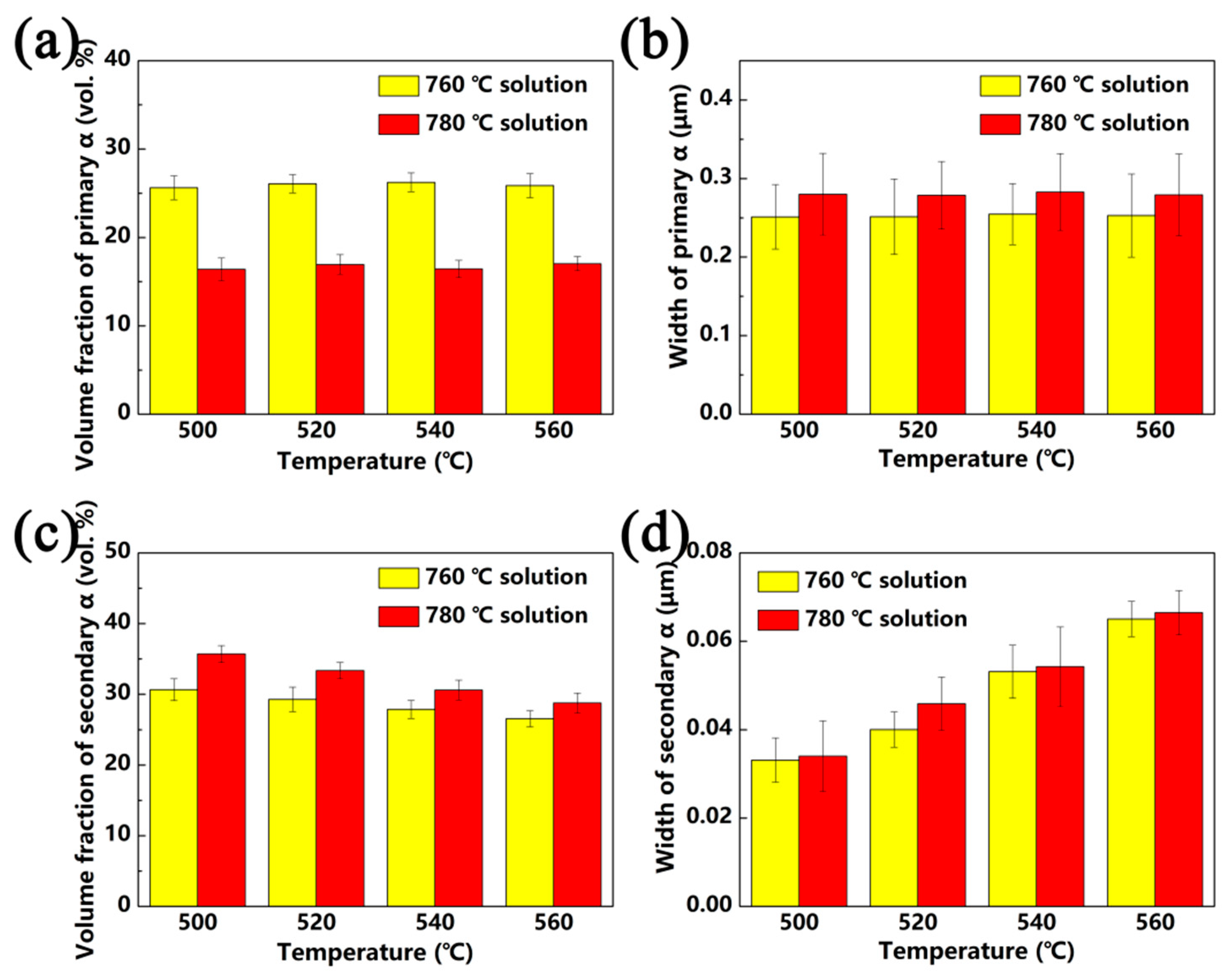
3.1.2. Microstructure of Aged Alloys
3.2. Mechanical Properties of the Alloy after Heat Treatment
3.2.1. Mechanical Properties of Solution-Treated Alloys
3.2.2. Mechanical Properties of Aged Alloys
3.3. Comparison with Ti-B19 Alloy
4. Conclusions
Author Contributions
Funding
Acknowledgments
Conflicts of Interest
References
- Chen, J.; Zhao, Y.; Chang, H. Research and Development of Titanium Alloy for Shipbuilding in China. Mater. Rev. 2005, 67–70. [Google Scholar]
- Oryshchenko, A.S.; Gorynin, I.V.; Leonov, V.P.; Kudryavtsev, A.S.; Mikhailov, V.; Chudakov, E.V. Marine titanium alloys: Present and future. Inorg. Mater. Appl. Res. 2015, 6, 571–579. [Google Scholar] [CrossRef]
- Jiang, Y.-Q.; Lin, Y.-C.; Zhang, X.; Chen, C.; Wang, Q.-W.; Pang, G.-D. Isothermal tensile deformation behaviors and fracture mechanism of Ti-5Al-5Mo-5V-1Cr-1Fe alloy in β phase field. Vacuum 2018, 156, 187–197. [Google Scholar] [CrossRef]
- Lin, Y.-C.; Zhao, C.-Y.; Chen, M.-S.; Chen, N.-D. A novel constitutive model for hot deformation behaviors of Ti–6Al–4V alloy based on probabilistic method. Appl. Phys. A 2016, 122, 716. [Google Scholar] [CrossRef]
- Froes, F.H.; Bomberger, H.B. The Beta Titanium Alloys. JOM 1985, 37, 28–37. [Google Scholar] [CrossRef]
- Zhu, K.; Gui, N.; Jiang, T.; Zhu, M.; Lu, X.; Zhang, J.; Li, C. The Development of the Low-Cost Titanium Alloy Containing Cr and Mn Alloying Elements. Met. Mater. Trans. A 2013, 45, 1761–1766. [Google Scholar] [CrossRef]
- Sengupta, B.; Shekhar, S.; Kulkarni, K.N. A novel ultra-high strength and low-cost as-cast titanium alloy. Mater. Sci. Eng. A 2017, 696, 478–481. [Google Scholar] [CrossRef]
- Robertson, I.M.; Schaffer, G.B. Review of densification of titanium based powder systems in press and sinter processing. Powder Met. 2010, 53, 146–162. [Google Scholar] [CrossRef]
- Chang, H. Solid Phase Transformation Kineticd and Microstructure Evolutions of Ti-B19 Alloy. Ph.D. Thesis, Northwestern Polytechnical University, Xi’an, China, 2006. [Google Scholar]
- Chen, J.; Chang, H.; Li, H. Effect of heat treatment on optimization matching between strength and toughness of Ti-B19 alloy. Acta Metall. Sin. 2002, 38, 108–111. [Google Scholar]
- Mohammed, M.T.; Khan, Z.A.; Siddiquee, A.N. Beta Titanium Alloys: The Lowest Elastic Modulus for Biomedical Applications: A Review. Int. J. Chem. Mol. Nucl. Mater. Metall. Eng. 2014, 8, 726–731. [Google Scholar]
- Rabadia, C.; Liu, Y.; Cao, G.-H.; Li, Y.; Zhang, C.; Sercombe, T.; Sun, H.; Zhang, L.-C. High-strength β stabilized Ti-Nb-Fe-Cr alloys with large plasticity. Mater. Sci. Eng. A 2018, 732, 368–377. [Google Scholar] [CrossRef]
- Li, C.; Long, K.; Li, W.; He, J.; Qiu, W.; Ren, Y.; Chen, J.; Chen, J. Study on the relationship between microstructure and mechanical property in a metastable β titanium alloy. J. Alloys Compd. 2015, 627, 222–230. [Google Scholar] [CrossRef]
- Ren, L.; Xiao, W.; Chang, H.; Zhao, Y.; Ma, C.; Zhou, L. Microstructural tailoring and mechanical properties of a multi-alloyed near β titanium alloy Ti-5321 with various heat treatment. Mater. Sci. Eng. A 2018, 711, 553–561. [Google Scholar] [CrossRef]
- Sandlöbes, S.; Korte-Kerzel, S.; Raabe, D. On the influence of the heat treatment on microstructure formation and mechanical properties of near-α Ti-Fe alloys. Mater. Sci. Eng. A 2019, 748, 301–312. [Google Scholar] [CrossRef]
- Chen, Y.; Du, Z.; Xiao, S.; Xu, L.; Tian, J. Effect of aging heat treatment on microstructure and tensile properties of a new β high strength titanium alloy. J. Alloys Compd. 2014, 586, 588–592. [Google Scholar] [CrossRef]
- Fan, J.; Li, J.; Kou, H.; Hua, K.; Tang, B.; Zhang, Y.-D. Influence of solution treatment on microstructure and mechanical properties of a near β titanium alloy Ti-7333. Mater. Des. 2015, 83, 499–507. [Google Scholar] [CrossRef]
- Fan, J.; Li, X.; Kou, H.; Hua, K.; Tang, B. The interrelationship of fracture toughness and microstructure in a new near β titanium alloy Ti–7Mo–3Nb–3Cr–3Al. Mater. Charact. 2014, 96, 93–99. [Google Scholar] [CrossRef]
- Wu, C.; Zhan, M. Effect of solution plus aging heat treatment on microstructural evolution and mechanical properties of near-β titanium alloy. Trans. Nonferrous Met. Soc. China 2019, 29, 997–1006. [Google Scholar] [CrossRef]
- Wu, C.; Zhan, M. Microstructural evolution, mechanical properties and fracture toughness of near β titanium alloy during different solution plus aging heat treatments. J. Alloys Compd. 2019, 805, 1144–1160. [Google Scholar] [CrossRef]
- Fan, J.; Li, X.; Kou, H.; Hua, K.; Tang, B.; Zhang, Y.-D. Microstructure and mechanical property correlation and property optimization of a near β titanium alloy Ti-7333. J. Alloys Compd. 2016, 682, 517–524. [Google Scholar] [CrossRef]
- Du, Z.; Xiao, S.; Xu, L.; Tian, J.; Kong, F.; Chen, Y. Effect of heat treatment on microstructure and mechanical properties of a new β high strength titanium alloy. Mater. Des. 2014, 55, 183–190. [Google Scholar] [CrossRef]
- Li, C.-L.; Mi, X.-J.; Ye, W.-J.; Hui, S.-X.; Yü, Y.; Wang, W.-Q. Effect of solution temperature on microstructures and tensile properties of high strength Ti–6Cr–5Mo–5V–4Al alloy. Mater. Sci. Eng. A 2013, 578, 103–109. [Google Scholar] [CrossRef]
- Lütjering, G. Influence of processing on microstructure and mechanical properties of (α+β) titanium alloys. Mater. Sci. Eng. A 1998, 243, 32–45. [Google Scholar] [CrossRef]
- Tiewei, X.; Fengshou, Z.; Yong, F.; Jinshan, L. Effect of Phase Transformation Conditions on the Microstructure and Shear Performance of TB8 Titanium Alloy. Rare Met. Mater. Eng. 2015, 44, 2143–2147. [Google Scholar] [CrossRef]
- Xiong, S.; Qi, W.; Huang, B.; Wang, M.; Li, Y. Size and shape dependent Gibbs free energy and phase stability of titanium and zirconium nanoparticles. Mater. Chem. Phys. 2010, 120, 446–451. [Google Scholar] [CrossRef]
- Boyer, R.R.; Rosenberg, H.W. Beta Titanium Alloys in the 80’s: Proceedings of a Symposium Sponsored by the Titanium Committee of AIME, Held at the Annual Meeting of the Metallurgical Society, Atlanta, Georgia, 8 March 1983; TMS-AIME Publications: Warrendale, PA, USA, 1984. [Google Scholar]
- Ivasishin, O.; Markovsky, P.; Matviychuk, Y.; Semiatin, S.; Ward, C.; Fox, S. A comparative study of the mechanical properties of high-strength β-titanium alloys. J. Alloys Compd. 2008, 457, 296–309. [Google Scholar] [CrossRef]
- Shekhar, S.; Sarkar, R.; Kar, S.K.; Bhattacharjee, A. Effect of solution treatment and aging on microstructure and tensile properties of high strength β titanium alloy, Ti–5Al–5V–5Mo–3Cr. Mater. Des. 2015, 66, 596–610. [Google Scholar] [CrossRef]
- Ivasishin, O.M.; Teliovich, R.V. Potential of rapid heat treatment of titanium alloys and steels. Mater. Sci. Eng. A 1999, 263, 142–154. [Google Scholar] [CrossRef]
- Mora, L.; Quesne, C.; Penelle, R. Relationships among thermomechanical treatments, microstructure, and tensile properties of a near beta-titanium alloy: β-CEZ: Part II. Relationships between thermomechanical treatments and tensile properties. J. Mater. Res. 1996, 11, 89–99. [Google Scholar] [CrossRef]
- Lin, D.-J.; Lin, J.C.; Ju, C. Structure and properties of Ti–7.5Mo–xFe alloys. Biomaterials 2002, 23, 1723–1730. [Google Scholar] [CrossRef]
- Hsu, H.-C.; Hsu, S.-K.; Wu, S.-C.; Lee, C.-J.; Ho, W.-F. Structure and mechanical properties of as-cast Ti–5Nb–xFe alloys. Mater. Charact. 2010, 61, 851–858. [Google Scholar] [CrossRef]














| Aging Time (h) | Primary α Phase | Secondary α Phase | ||
|---|---|---|---|---|
| Average Width (μm) | Volume Fraction (%) | Average Width (μm) | Volume Fraction (%) | |
| 2 | 0.249 ± 0.044 | 14.87 ± 1.57 | 0.0401 ± 0.007 | 28.40 ± 1.01 |
| 4 | 0.257 ± 0.015 | 15.44 ± 0.99 | 0.0451 ± 0.009 | 29.53 ± 1.48 |
| 8 | 0.283 ± 0.069 | 16.23 ± 1.19 | 0.0542 ± 0.006 | 30.61 ± 1.40 |
| 16 | 0.283 ± 0.061 | 16.43 ± 0.86 | 0.0567 ± 0.009 | 31.15 ± 1.73 |
| Heat Treatment | Tensile Strength (MPa) | Yield Strength (MPa) | Elongation (%) | Reduction of Area (%) |
|---|---|---|---|---|
| 760 °C/1 h | 944.8 | 932.3 | 15.5 | 46.0 |
| 780 °C/1 h | 984.2 | 967.0 | 8.8 | 32.6 |
| 820 °C/0.5 h | 913.4 | 886.0 | 8.6 | 23.8 |
| 840 °C/0.5 h | 887.6 | 864.0 | 9.4 | 27.1 |
| 760 °C/1 h + 500 °C/8 h | 1341.2 | 1268.5 | 6.1 | 19.8 |
| 760 °C/1 h + 520 °C/8 h | 1268.4 | 1203.2 | 9.5 | 24.3 |
| 760 °C/1 h + 540 °C/8 h | 1191.7 | 1142.8 | 10.1 | 32.5 |
| 760 °C/1 h + 560 °C/8 h | 1172.7 | 1135.1 | 11.8 | 30.3 |
| 780 °C/1 h + 500 °C/8 h | 1459.0 | 1355.5 | 5.2 | 7.5 |
| 780 °C/1 h + 520 °C/8 h | 1398.7 | 1321.7 | 6.0 | 11.3 |
| 780 °C/1 h + 540 °C/2 h | 1391.4 | 1318.6 | 5.3 | 14.3 |
| 780 °C/1 h + 540 °C/4 h | 1369.6 | 1300.1 | 6.4 | 16.7 |
| 780 °C/1 h + 540 °C/8 h | 1313.4 | 1240.8 | 8.6 | 17.6 |
| 780 °C/1 h + 540 °C/16 h | 1273.3 | 1216.5 | 7.6 | 18.1 |
| 780 °C/1 h + 560 °C/8 h | 1228.8 | 1170.6 | 11.2 | 24.0 |
| 820 °C/0.5 h + 500 °C/8 h | 1561.3 | - | 1.3 | - |
| 820 °C/0.5 h + 520 °C/8 h | 1541.7 | - | 1.7 | - |
| 820 °C/0.5 h + 540 °C/8 h | 1487.0 | - | 1.9 | - |
| 820 °C/0.5 h + 560 °C/8 h | 1402.7 | - | 1.7 | - |
| 840 °C/0.5 h + 500 °C/8 h | 1571.0 | - | 1.2 | - |
| 840 °C/0.5 h + 520 °C/8 h | 1520.0 | - | 1.4 | - |
| 840 °C/0.5 h + 540 °C/8 h | 1496.5 | - | 1.5 | - |
| 840 °C/0.5 h + 560 °C/8 h | 1418.7 | - | 2.0 | - |
| Ti-3Al-5Mo-5V-4Cr-2Zr (Ti-B19) [10] | 1175–1360 | 1120–1325 | 7–10 | 17–32.5 |
© 2020 by the authors. Licensee MDPI, Basel, Switzerland. This article is an open access article distributed under the terms and conditions of the Creative Commons Attribution (CC BY) license (http://creativecommons.org/licenses/by/4.0/).
Share and Cite
Sun, M.; Li, D.; Guo, Y.; Wang, Y.; Dong, Y.; Dan, Z.; Chang, H. The Effect of Heat Treatment on the Microstructure and Mechanical Properties of the Novel Low-Cost Ti-3Al-5Mo-4Cr-2Zr-1Fe Alloy. Materials 2020, 13, 3798. https://doi.org/10.3390/ma13173798
Sun M, Li D, Guo Y, Wang Y, Dong Y, Dan Z, Chang H. The Effect of Heat Treatment on the Microstructure and Mechanical Properties of the Novel Low-Cost Ti-3Al-5Mo-4Cr-2Zr-1Fe Alloy. Materials. 2020; 13(17):3798. https://doi.org/10.3390/ma13173798
Chicago/Turabian StyleSun, Meng, Dong Li, Yanhua Guo, Ying Wang, Yuecheng Dong, Zhenhua Dan, and Hui Chang. 2020. "The Effect of Heat Treatment on the Microstructure and Mechanical Properties of the Novel Low-Cost Ti-3Al-5Mo-4Cr-2Zr-1Fe Alloy" Materials 13, no. 17: 3798. https://doi.org/10.3390/ma13173798
APA StyleSun, M., Li, D., Guo, Y., Wang, Y., Dong, Y., Dan, Z., & Chang, H. (2020). The Effect of Heat Treatment on the Microstructure and Mechanical Properties of the Novel Low-Cost Ti-3Al-5Mo-4Cr-2Zr-1Fe Alloy. Materials, 13(17), 3798. https://doi.org/10.3390/ma13173798

