Molecular Dynamics Simulation on Thin-Film Lubrication of a Mixture of Three Alkanes
Abstract
1. Introduction
2. The Model and Methodology
2.1. Model
2.2. Forcefield
2.3. Simulation Method
3. Results and Discussion
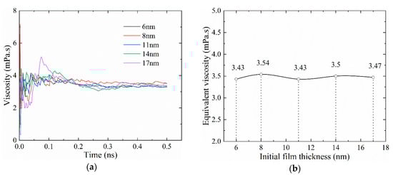
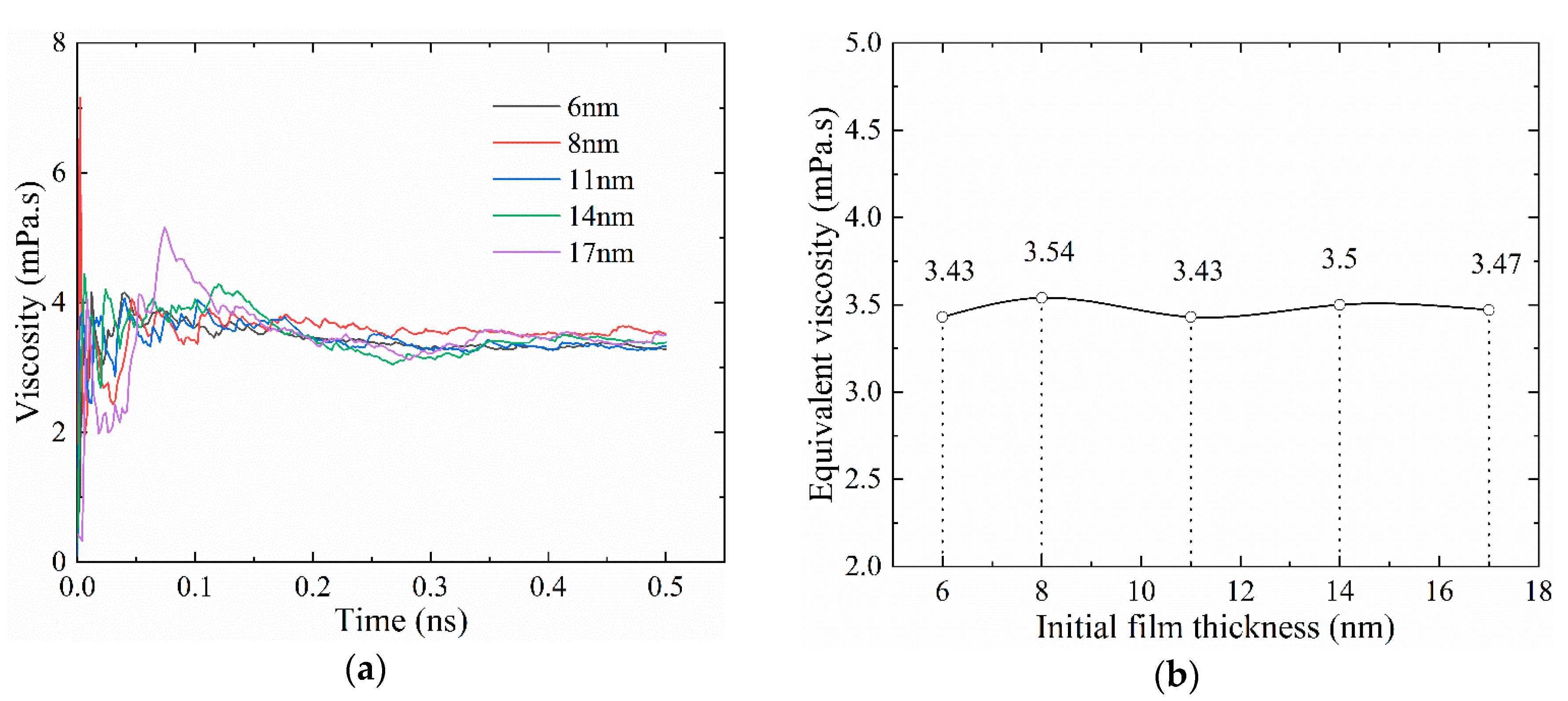
3.1. Viscosity
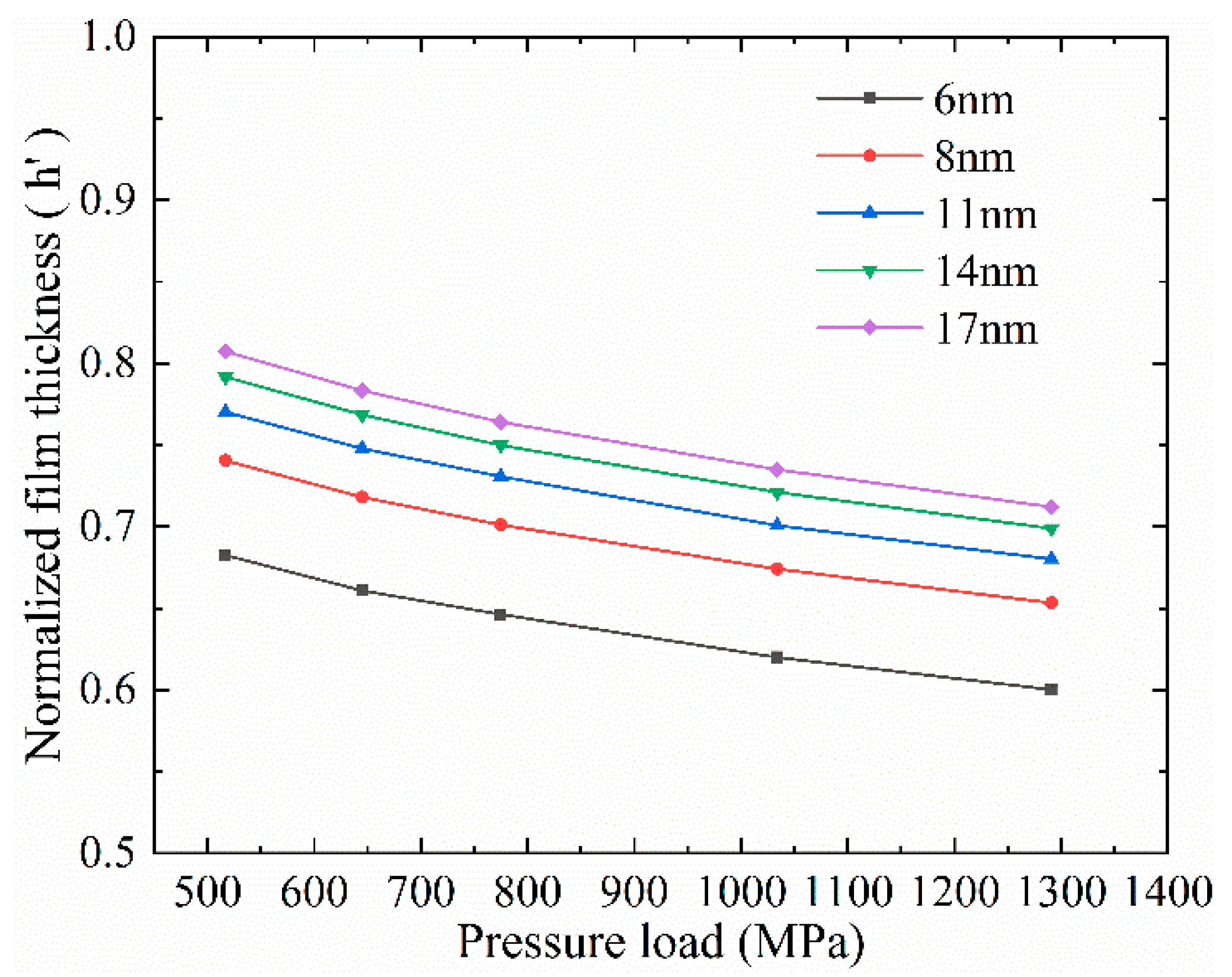
3.2. Film Thickness
3.3. Density
4. Conclusions
Author Contributions
Funding
Conflicts of Interest
References
- Zhang, S.; Liu, Y. Experimental study on molecular arrangement of nanoscale lubricant films—A review. Chin. J. Mech. Eng. 2015, 28, 896–903. [Google Scholar] [CrossRef]
- Guangteng, G.; Cann, P.M.; Spikes, H.A. A study of parched lubrication. Wear 1992, 153, 91–105. [Google Scholar] [CrossRef]
- Johnston, G.J.; Wayte, R.; Spikes, H.A. The measurement and study of very thin lubricant films in concentrated contacts. Tribol. Trans. 1991, 34, 187–194. [Google Scholar] [CrossRef]
- Israelachvili, J.N.; Mcguiggan, P.M.; Homola, A.M. Dynamic properties of molecularly thin liquid films. Science 1988, 240, 189–191. [Google Scholar] [CrossRef] [PubMed]
- Wen, S.Z.; Luo, J.B. Study on thin film lubrication in the nano scale. J. Tsinghua Univ. 2001, 41, 63–68, 76. [Google Scholar] [CrossRef]
- Luo, J.B.; Huang, P.; Wen, S.Z.; Lu, X.C. Study on the characteristics of thin film lubrication at nanometer scale. Chin. J. Sci. Instrum. 1995, 16, 240–244. [Google Scholar]
- Ewen, J.P.; Gattinoni, C.; Thakkar, F.M.; Morgan, N.; Spikes, H.A.; Dini, D. A comparison of classical force-fields for molecular dynamics simulations of lubricants. Materials 2016, 9, 651. [Google Scholar] [CrossRef]
- Jabbarzadeh, A.; Atkinson, J.D.; Tanner, R.I. Wall slip in the molecular dynamics simulation of thin films of hexadecane. J. Chem. Phys. 1999, 110, 2612–2620. [Google Scholar] [CrossRef]
- Savio, D.; Fillot, N.; Vergne, P.; Zaccheddu, M. A model for wall slip prediction of confined n-alkanes: Effect of wall-fluid interaction versus fluid resistance. Tribol. Lett. 2012, 46, 11–22. [Google Scholar] [CrossRef]
- Gkagkas, K.; Ponnuchamy, V. The impact of coulombic interactions among polar molecules and metal substrates on flow and lubrication properties. Model. Simul. Mater. Sci. Eng. 2017, 25, 064004. [Google Scholar] [CrossRef]
- Pan, L.; Gao, C. Confined fluid density of a pentaerythritol tetraheptanoate lubricant investigated using molecular dynamics simulation. Fluid Phase Equilibria 2015, 385, 212–218. [Google Scholar] [CrossRef]
- Pan, L.; Gao, C. Molecular dynamics simulation on pressure and thickness dependent density of squalane film. J. Wuhan Univ. Technol. Mater. Sci. Ed. 2016, 31, 955–960. [Google Scholar] [CrossRef]
- Zheng, X.; Zhu, H.T.; Kosasih, B.; Kosasih, B.Y.; Tieu, A.K. A molecular dynamics simulation of boundary lubrication: The effect of n-alkanes chain length and normal load. Wear 2013, 301, 62–69. [Google Scholar] [CrossRef]
- Loehle, S.; Matta, C.; Minfray, C.; Mogne, T.L.; Martin, J.M.; Iovine, R.; Obara, Y.; Miura, R.; Miyamoto, A. Mixed lubrication with C18 fatty acids: Effect of unsaturation. Tribol. Lett. 2014, 53, 319–328. [Google Scholar] [CrossRef]
- Liu, P.Z.; Lu, J.; Yu, H.L.; Ren, N.; Lockwood, F.E.; Wang, Q.J. Lubricant shear thinning behavior correlated with variation of radius of gyration via molecular dynamics simulations. J. Chem. Phys. 2017, 147, 084904. [Google Scholar] [CrossRef] [PubMed]
- Gattinoni, G.; Ewen, J.P.; Dini, D. Adsorption of surfactants on alpha-Fe2O3 (0001): A density functional theory study. J. Phys. Chem. C Nanomater. Interfaces 2018, 122, 20817–20826. [Google Scholar] [CrossRef]
- He, X.; Lu, J.; Desanker, M.; Invergo, A.M.; Lohr, T.L.; Ren, N.; Lockwood, F.E.; Marks, T.J.; Chung, Y.W.; Wang, Q.J. Boundary lubrication mechanisms for high-performance friction modifiers. ACS Appl. Mater. Interfaces 2018, 10, 40203–40211. [Google Scholar] [CrossRef]
- Li, X.; Wang, A.; Lee, K.R. Role of unsaturated hydrocarbon lubricant on the friction behavior of amorphous carbon films from reactive molecular dynamics study. Comput. Mater. Sci. 2019, 161, 1–9. [Google Scholar] [CrossRef]
- Pan, L.; Lu, S.; Chen, Y.; Yu, H. Molecular dynamics simulation on boundary lubrication: The effect of cycloalkane carbon content. J. Mech. Eng. 2020, 56, 110–118. [Google Scholar] [CrossRef]
- Galvani Cunha, M.A.; Robbins, M.O. Determination of pressure-viscosity relation of 2,2,4-trimethylhexane by all-atom molecular dynamics simulations. Fluid Phase Equilibria 2019, 495, 28–32. [Google Scholar] [CrossRef]
- Martini, A.; Liu, Y.; Snurr, R.Q.; Wang, Q.J. Molecular dynamics characterization of thin film viscosity for EHL simulation. Tribol. Lett. 2006, 21, 217–225. [Google Scholar] [CrossRef]
- Amorim, J.A.; Chiavone-Filho, O.; Paredes, M.L.L.; Rajagopal, K. Modeling high-pressure densities at wide temperature range with volume scaling: Cyclohexane + N-hexadecane mixtures. Fluid Phase Equilibria 2007, 259, 89–98. [Google Scholar] [CrossRef]
- Tripathi, N. Densities, viscosities, and refractive indices of mixtures of hexane with cyclohexane, decane, hexadecane, and squalane at 298.15 K. Int. J. Thermophys. 2005, 26, 693–703. [Google Scholar] [CrossRef]
- Sun, H.J. COMPASS: An ab initio force-field optimized for condensed-phase applications overview with details on alkane and benzene compounds. J. Phys. Chem. B 1998, 102, 7338–7364. [Google Scholar] [CrossRef]
- Waldman, M.; Hagler, A.T. New combining rules for rare gas van der waals parameters. J. Comput. Chem. 1993, 14, 1077–1084. [Google Scholar] [CrossRef]
- Finnis, M.W.; Sinclair, J.E. A simple empirical N-body potential for transition metals. Philos. Mag. A 1984, 50, 45–55. [Google Scholar] [CrossRef]
- Plimpton, S. Fast Parallel Algorithms for Short-Ranged Molecular Dynamics. J. Comp. Phys. 1995, 117, 1–19. [Google Scholar] [CrossRef]
- Luo, J.; Wen, S.; Huang, P. Thin film lubrication. Part I. study on the transition between EHL and thin film lubrication using a relative optical interference intensity technique. Wear 1996, 194, 107–115. [Google Scholar] [CrossRef]










| Atomic Category | ro (Å) | ε(kcal/mol) |
|---|---|---|
| Fe | 2.6595 | 13.88920 |
| C43 | 3.854 | 0.0400 |
| C3 | 3.854 | 0.0620 |
| H | 2.878 | 0.0230 |
| Parameter | Unit | Value |
|---|---|---|
| kg m−3 | 9.7188 × 102 | |
| kg m−3 K−1 | −6.8027 × 10−1 | |
| C0 | − | −1.2327 × 10−1 |
| C1 | K−1 | 5.5227 × 10−4 |
| B0 | MPa−1 | −1.3895 × 10 |
| B1 | MPa−1 K−1 | 1.8296 × 10−1 |
© 2020 by the authors. Licensee MDPI, Basel, Switzerland. This article is an open access article distributed under the terms and conditions of the Creative Commons Attribution (CC BY) license (http://creativecommons.org/licenses/by/4.0/).
Share and Cite
Du, R.; Zhang, A.; Du, Z.; Zhang, X. Molecular Dynamics Simulation on Thin-Film Lubrication of a Mixture of Three Alkanes. Materials 2020, 13, 3689. https://doi.org/10.3390/ma13173689
Du R, Zhang A, Du Z, Zhang X. Molecular Dynamics Simulation on Thin-Film Lubrication of a Mixture of Three Alkanes. Materials. 2020; 13(17):3689. https://doi.org/10.3390/ma13173689
Chicago/Turabian StyleDu, Run, Anying Zhang, Zhihua Du, and Xiaoyu Zhang. 2020. "Molecular Dynamics Simulation on Thin-Film Lubrication of a Mixture of Three Alkanes" Materials 13, no. 17: 3689. https://doi.org/10.3390/ma13173689
APA StyleDu, R., Zhang, A., Du, Z., & Zhang, X. (2020). Molecular Dynamics Simulation on Thin-Film Lubrication of a Mixture of Three Alkanes. Materials, 13(17), 3689. https://doi.org/10.3390/ma13173689

