Properties of Alkali-Resistant Glass Fiber Reinforced Coral Aggregate Concrete
Abstract
1. Introduction
2. Experimental Programme
2.1. Raw Materials
2.2. Mix Proportion
2.3. Mix Production
2.4. Test on Slump of Fresh Concrete
2.5. Determination of Pore Solution pH Value
2.6. Test of Cubic Compressive Strength and Splitting Tensile Strength
2.7. Test on Flexural Performance of ARGF-CAC
2.8. Test on Bond Properties Between BFRP Bars and ARGF-CAC
3. Analysis and Discussion on Test Results
3.1. Results of Slump Values of Fresh Concrete
3.2. Pore Solution pH Value
3.3. Results of Cubic Compressive Strength and Splitting Tensile Strength
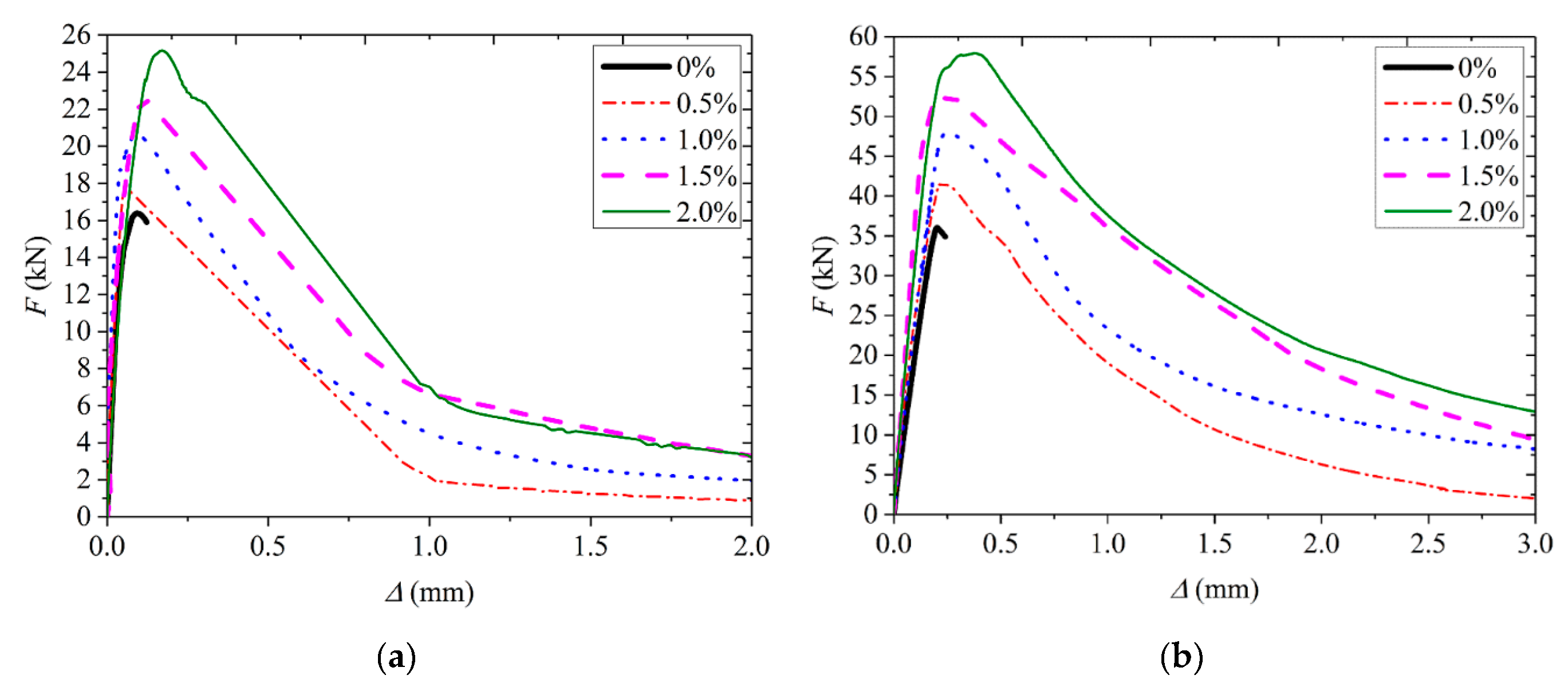
3.4. Results of Flexural Performance
3.5. Bond Properties Between BFRP Bars and ARGF-CAC
4. Conclusions
- (1)
- As the fiber content increases, the workability of fresh concrete becomes weaker. The average value of fcu increases as the fiber volume fraction is increased to 0.5%, especially for Type B ARGF. When the fiber volume fraction exceeds 0.5%, however, the average values of fcu are slightly reduced for either Type A or Type B ARGF. As the fiber content further increases, the fcu of Type A ARGF-CAC almost keeps constant, but the fcu of Type B ARGF-CAC shows a small increment. But the fts and fr are generally improved with the increasing of fiber volume fraction.
- (2)
- Both the residual strength retention and flexural toughness are improved, as more ARGFs are added into CAC, and higher with Type B ARGF addition when compared to Type A ARGF. The improvement becomes smaller when the volume fraction of ARGF exceeds 1.0% for either Type A or Type B ARGF. The optimized volume fraction is 1.5% for both the two types of ARGF by considering the workability and mechanical performance of ARGF-CAC.
- (3)
- More than 90% of the specimens have the failure modes of BFRP bar pull-out from the concrete. Only three specimens of plain CAC bonded with BFRP bars having nominal bond lengths 10d are damaged by concrete fracturing before the bars are pulled out. When the bar is pulled out, the ribs on the surface are seriously detached.
- (4)
- Both the τavg-max and τs are reduced if L > 5d. The values of τs show relatively large scatters due to the random detachment of ribs on the BFRP surface. When the Type B ARGFs are added into the CAC, the τavg-max is increased significantly. However, the Type A ARGFs seem to have marginal effect on the bond performance.
Author Contributions
Funding
Acknowledgments
Conflicts of Interest
References
- Ali, M.B.; Saidur, R.; Hossain, M.S. A review on emission analysis in cement industries. Renew. Sustain. Energy Rev. 2011, 15, 2252–2261. [Google Scholar] [CrossRef]
- Davidovits, J. Geopolymers: Inorganic polymeric new materials. J. Therm. Anal. Calorim. 1991, 37, 1633–1656. [Google Scholar] [CrossRef]
- Shi, C.J.; Roy, D.; Krivenko, P. Alkali-Activated Cements and Concretes; Taylor and Francis: Abingdon, UK, 2006. [Google Scholar]
- Abdollahnejad, Z.; Mastali, M.; Falah, M.; Luukkonen, T.; Mazari, M.; Illikainen, M. Construction and demolition waste as recycled aggregates in alkali-activated concretes. Materials 2019, 12, 4016. [Google Scholar] [CrossRef] [PubMed]
- Małek, M.; Łasica, W.; Jackowski, M.; Kadela, M. Effect of waste glass addition as a replacement for fine aggregate on properties of mortar. Materials 2020, 13, 3189. [Google Scholar] [CrossRef]
- Shi, C.J.; Li, Y.K.; Zhang, J.K.; Li, W.G.; Chong, L.L.; Xie, Z.B. Performance enhancement of recycled concrete aggregate—A review. J. Clean. Prod. 2016, 112, 466–472. [Google Scholar] [CrossRef]
- Whole Building Design Guide (WBDG). UFC 3-440-05N: Estimating Energy and Water Consumption for Shore Facilities and Cold Iron Support for Ships, Cancelled without Replacement; WBDG: Washington, DC, USA, 16 January 2014. [Google Scholar]
- Chen, Z.; Sun, G.; Tang, X.; Liu, Y. Study on applications of concrete from coral reef sand mixed with seawater for patching-up in reef engineering. Coast. Eng. 2008, 27, 60–69. (In Chinese) [Google Scholar]
- Arumugam, R.A.; Ramamurthy, K. Study of compressive strength characteristic of coral aggregate concrete. Mag. Concr. Res. 1996, 48, 141–148. [Google Scholar] [CrossRef]
- Wei, Z.; Li, Z.; Shen, J. Research on the influencing factors of performance of coral concrete and its early mechanical property. Ind. Constr. 2017, 47, 130–136. (In Chinese) [Google Scholar]
- Wang, L.; Fan, L. Analysis of strength properties and failure modes of coral aggregate concrete. China Concr. Cem. 2015, 1, 1–4. (In Chinese) [Google Scholar]
- Zhao, Y.; Han, C.; Zhang, S.; Ge, R. Experimental study on the compression age strength of seawater coral concrete. Concrete 2011, 256, 43–45. (In Chinese) [Google Scholar]
- Yang, S.; Yang, C.; Huang, M.; Liu, Y.; Jiang, J.; Fan, G. Study on bond performance between FRP bars and seawater coral aggregate concrete. Constr. Build. Mater. 2018, 173, 272–288. [Google Scholar] [CrossRef]
- Chen, Z.; Chen, T.; Qu, J. A feasibility study of application of coral reef sand concrete. Ocean Eng. 1991, 9, 67–80. (In Chinese) [Google Scholar]
- Wang, Q.; Li, P.; Tian, Y.; Chen, W.; Su, C. Mechanical properties and microstructure of Portland cement concrete prepared with coral reef sand. J. Wuhan Univ. Technol. Mater. Sci. Ed. 2016, 31, 996–1001. [Google Scholar] [CrossRef]
- Xu, W.; Yang, S.; Xu, C.; Sun, H. Study on fracture properties of alkali-activated slag seawater coral aggregate concrete. Constr. Build. Mater. 2019, 223, 91–105. [Google Scholar] [CrossRef]
- Ding, L.; Shi, J.; Wang, X.; Liu, Y.; Jin, Y.; Wu, Z. Bond behavior between basalt fiber-reinforced polymer rebar sand coral-reef-sand concrete conditioned in saline solution. Struct. Concr. 2020, 21, 659–672. [Google Scholar] [CrossRef]
- Lyu, B.; Wang, A.; Zhang, Z.; Liu, K.; Xu, H.; Shi, L.; Sun, D. Coral aggregate concrete: Numerical description of physical, chemical and morphological properties of coral aggregate. Cem. Concr. Compos. 2019, 100, 25–34. [Google Scholar] [CrossRef]
- Cheng, S.; Shui, Z.; Sun, T.; Yu, R.; Zhang, G.; Ding, S. Effects of fly ash, blast furnace slag and metakaolin on mechanical properties and durability of coral sand concrete. Appl. Clay. Sci. 2017, 141, 111–117. [Google Scholar] [CrossRef]
- Yang, S.; Zhang, X.; Yu, M.; Yao, J. An analytical approach to predict fracture parameters of coral aggregate concrete immersed in seawater. Ocean. Eng. 2019, 191, 106508. [Google Scholar] [CrossRef]
- Wang, L.; Mao, Y.; Lv, H.; Chen, S.; Li, W. Bond properties between FRP bars and coral concrete under seawater conditions at 30, 60, and 80 °C. Constr. Build. Mater. 2018, 162, 442–449. [Google Scholar] [CrossRef]
- Wang, J.; Feng, P.; Hao, T.Y.; Yue, Q.R. Axial compressive behavior of seawater coral aggregate concrete filled FRP tubes. Constr. Build. Mater. 2017, 147, 272–285. [Google Scholar] [CrossRef]
- Wang, A.; Lyu, B.; Zhang, Z.; Liu, K.; Xu, H.; Sun, D. The development of coral concretes and their upgrading technologies: A critical review. Constr. Build. Mater. 2018, 187, 1004–1019. [Google Scholar] [CrossRef]
- Da, B.; Yu, H.; Ma, H.; Tan, Y.; Mi, R.; Dou, X. Experimental investigation of whole stress-strain curves of coral concrete. Constr. Build. Mater. 2016, 122, 81–89. [Google Scholar] [CrossRef]
- Da, B.; Yu, H.; Ma, H.; Tan, Y.; Wu, Z. Research on compression behavior of coral aggregate reinforced concrete columns under large eccentric compression loading. Ocean Eng. 2018, 155, 251–260. [Google Scholar] [CrossRef]
- Wang, L.; Yi, J.; Deng, X.; Li, J. Study on mechanical property and damage morphology analysis of coral aggregate concrete with fiber. J. Henan Polytech. Univ. 2016, 35, 713–718. (In Chinese) [Google Scholar]
- Wang, Y.; Zhang, S.; Niu, D.; Su, L.; Luo, D. Strength and chloride ion distribution brought by aggregate of basalt fiber reinforced coral aggregate concrete. Constr. Build. Mater. 2020, 234, 117390. [Google Scholar] [CrossRef]
- Niu, D.; Su, L.; Luo, Y.; Huang, D.; Luo, D. Experimental study on mechanical properties and durability of basalt fiber reinforced coral aggregate concrete. Constr. Build. Mater. 2020, 237, 117628. [Google Scholar] [CrossRef]
- Małek, M.; Jackowski, M.; Łasica, W.; Kadela, M. Characteristics of recycled polypropylene fibers as an addition to concrete fabrication based on Portland cement. Materials 2020, 13, 1827. [Google Scholar] [CrossRef]
- Kim, J.; Park, C.; Lee, S.; Lee, S.; Won, J. Effects of the geometry of recycled PET fiber reinforcement on shrinkage cracking of cement-based composites. Compos. Part B Eng. 2008, 39, 442–450. [Google Scholar] [CrossRef]
- Gao, S.L.; Mäder, E.; Abdkader, A.; Offermann, P. Environmental resistance and mechanical performance of alkali-resistant glass fibers with surface sizings. J. Non Cryst. Solids 2003, 325, 230–241. [Google Scholar] [CrossRef]
- Mirza, F.A.; Soroushian, P. Effects of alkali-resistant glass fiber reinforcement on crack and temperature resistance of lightweight concrete. Cem. Concr. Compos. 2002, 24, 223–227. [Google Scholar] [CrossRef]
- Qin, X.; Li, X.; Cai, X. The applicability of alkaline-resistant glass fiber in cement mortar of road pavement: Corrosion mechanism and performance analysis. Int. J. Pave. Res. Tech. 2017, 10, 536–544. [Google Scholar]
- Domagaa, L.; Bizoń-Żabińska, E.; Kurzyniec, K. The influence of alkali-resistant glass fibres on properties of fine-aggregate concretes. MATEC Web Conf. 2019, 262, 06003. [Google Scholar] [CrossRef]
- Zhu, Z.; Zhang, C.; Meng, S.; Shi, Z.; Tao, S.; Zhu, D. A statistical damage constitutive model based on the Weibull distribution for alkali-resistant glass fiber reinforced concrete. Materials 2019, 12, 1908. [Google Scholar] [CrossRef] [PubMed]
- Sivakumar, V.R.; Kavitha, O.R.; Prince Arulraj, G.; Srisanthi, V.G. An experimental study on combined effects of glass fiber and Metakaolin on the rheological, mechanical, and durability properties of self-compacting concrete. Appl. Clay Sci. 2017, 147, 123–127. [Google Scholar] [CrossRef]
- Sivakumar, A.; Santhanam, M. Mechanical properties of high strength concrete reinforced with metallic and non-metallic fibres. Cem. Concr. Compos. 2007, 29, 603–608. [Google Scholar] [CrossRef]
- Barluenga, G.; Hernández-Olivares, F. Cracking control of concretes modified with short AR-glass fibers at early age. Experimental results on standard concrete and SCC. Cem. Concr. Res. 2007, 37, 1624–1638. [Google Scholar] [CrossRef]
- Gao, S.L.; Mäder, E.; Abdkader, A.; Offermann, P. Sizings on alkali-resistant glass fibers: Environmental effects on mechanical properties. Langmuir 2003, 19, 2496–2506. [Google Scholar] [CrossRef]
- Arabi, N.; Molez, L.; Rangeard, D. Durability of alkali-resistant glass fibers reinforced cement composite: Microstructural observations of degradation. Period. Polytech. Civ. Eng. 2018, 62, 1–7. [Google Scholar] [CrossRef]
- Nourredine, A. Influence of curing conditions on durability of alkali-resistant glass fibers in cement matrix. Bull. Mater. Sci. 2011, 34, 775–783. [Google Scholar] [CrossRef]
- Kwan, W.H.; Cheah, C.B.; Ramli, M.; Chang, K.Y. Alkali-resistant glass fiber reinforced high strength concrete in simulated aggressive environment. Mater. Constr. 2018, 68, 1–14. [Google Scholar] [CrossRef]
- Lu, J.; Chen, H.; Lin, Y.; Li, Z.; Hong, W.; Wu, J. Effect of fiberglass on mechanical properties and durability of coral concrete. Guangzhou Chem. Indust. 2016, 44, 52–54. [Google Scholar]
- British Standards Institution (BSI). BS EN 1926-2: Method of Testing Cement Part 2: Chemical Analysis of Cement; BSI Standards Publication: London, UK, 2013. [Google Scholar]
- British Standards Institution (BSI). BS EN 12350-2: Testing Fresh Concrete Part 2: Slump Test; BSI Standards Publication: London, UK, 2009. [Google Scholar]
- Rilem Technical Committees. RILEM TC 178-TMC: Testing and modelling chloride penetration in concrete. Analysis of water-soluble chloride content in concrete recommendation. Mater. Struct. 2002, 35, 586–588. [Google Scholar]
- Ministry of Housing and Urban-Rural Construction of the People’s Republic of China. Standard for Test Method of Mechanical Properties on Ordinary Concrete; China Building Industry Press: Beijing, China, 2002.
- British Standards Institution (BSI). BS EN 12390-3: Testing Hardened Concrete Part 3: Compressive Strength of Test Specimens; BSI Standards Publication: London, UK, 2009. [Google Scholar]
- British Standards Institution (BSI). BS EN 12390-6: Testing Hardened Concrete Part 6: Tensile Splitting Strength of Test Specimens; BSI Standards Publication: London, UK, 2009. [Google Scholar]
- ASTM International. ASTM C1609/C1609M: Standard Test Method for Flexural Performance of Fiber-Reinforced Concrete (Using Beam with Third-Point Loading); ASTM International: West Conshohocken, PA, USA, 2012. [Google Scholar]
- ACI Committee 440. ACI 440.3R-04: Guide Test Methods for Fiber-Reinforced Polymers (FRPs) for Reinforcing or Strengthening Concrete Structures; ACI Committee 440, American Concrete Institute: Farmington Hills, MI, USA, 2004. [Google Scholar]
- Yang, S.; Xu, J.; Zang, C.; Li, R.; Yang, Q.; Sun, S. Mechanical properties of alkali-activated slag concrete mixed by seawater and sea sand. Constr. Build. Mater. 2019, 196, 395–410. [Google Scholar] [CrossRef]




















| Type | CaO | SiO2 | Al2O3 | MgO | SO3 | TiO2 | Fe2O3 | K2O | Na2O |
|---|---|---|---|---|---|---|---|---|---|
| FA | 8.4 | 41.7 | 34.2 | 1.15 | 1.51 | 1.63 | 5.92 | 0.89 | 3.26 |
| GGBFS | 38.3 | 30.3 | 16.04 | 8.26 | 2.75 | 2.22 | 0.63 | 0.449 | 0.406 |
| MK | 0.12 | 54.7 | 40.2 | 0.084 | 0 | 0 | 0.84 | 0 | 0 |
| Type of ARGF | Average Thickness (mm) | Average Width (mm) | Length (mm) |
|---|---|---|---|
| Type A | 0.12 | 0.54 | 18 |
| Type B | 0.22 | 1.08 | 36 |
| Mix Symbol | Seawater | Cement | FA | GGBFS | MK | CS | CCA | PS | ARGF |
|---|---|---|---|---|---|---|---|---|---|
| Base mix | 190 | 300 | 75 | 75 | 50 | 556 | 712 | 2.75 | 0 |
| Type A ARGF-0.5 | 4.25 | 13.4 | |||||||
| Type A ARGF-1.0 | 5.25 | 26.8 | |||||||
| Type A ARGF-1.5 | 6.25 | 40.2 | |||||||
| Type A ARGF-2.0 | 7.75 | 53.6 | |||||||
| Type B ARGF-0.5 | 4.25 | 13.4 | |||||||
| Type B ARGF-1.0 | 5.25 | 26.8 | |||||||
| Type B ARGF-1.5 | 6.25 | 40.2 | |||||||
| Type B ARGF-2.0 | 7.75 | 53.6 |
© 2020 by the authors. Licensee MDPI, Basel, Switzerland. This article is an open access article distributed under the terms and conditions of the Creative Commons Attribution (CC BY) license (http://creativecommons.org/licenses/by/4.0/).
Share and Cite
Yang, S.; Yu, M.; Dong, K.; Yang, Y. Properties of Alkali-Resistant Glass Fiber Reinforced Coral Aggregate Concrete. Materials 2020, 13, 3450. https://doi.org/10.3390/ma13163450
Yang S, Yu M, Dong K, Yang Y. Properties of Alkali-Resistant Glass Fiber Reinforced Coral Aggregate Concrete. Materials. 2020; 13(16):3450. https://doi.org/10.3390/ma13163450
Chicago/Turabian StyleYang, Shutong, Miao Yu, Kun Dong, and Yushan Yang. 2020. "Properties of Alkali-Resistant Glass Fiber Reinforced Coral Aggregate Concrete" Materials 13, no. 16: 3450. https://doi.org/10.3390/ma13163450
APA StyleYang, S., Yu, M., Dong, K., & Yang, Y. (2020). Properties of Alkali-Resistant Glass Fiber Reinforced Coral Aggregate Concrete. Materials, 13(16), 3450. https://doi.org/10.3390/ma13163450

