The Effect of Stress Ratios on the Very High Cycle Fatigue Behavior of 9%Cr Turbine Steel at 630 °C
Abstract
1. Introduction
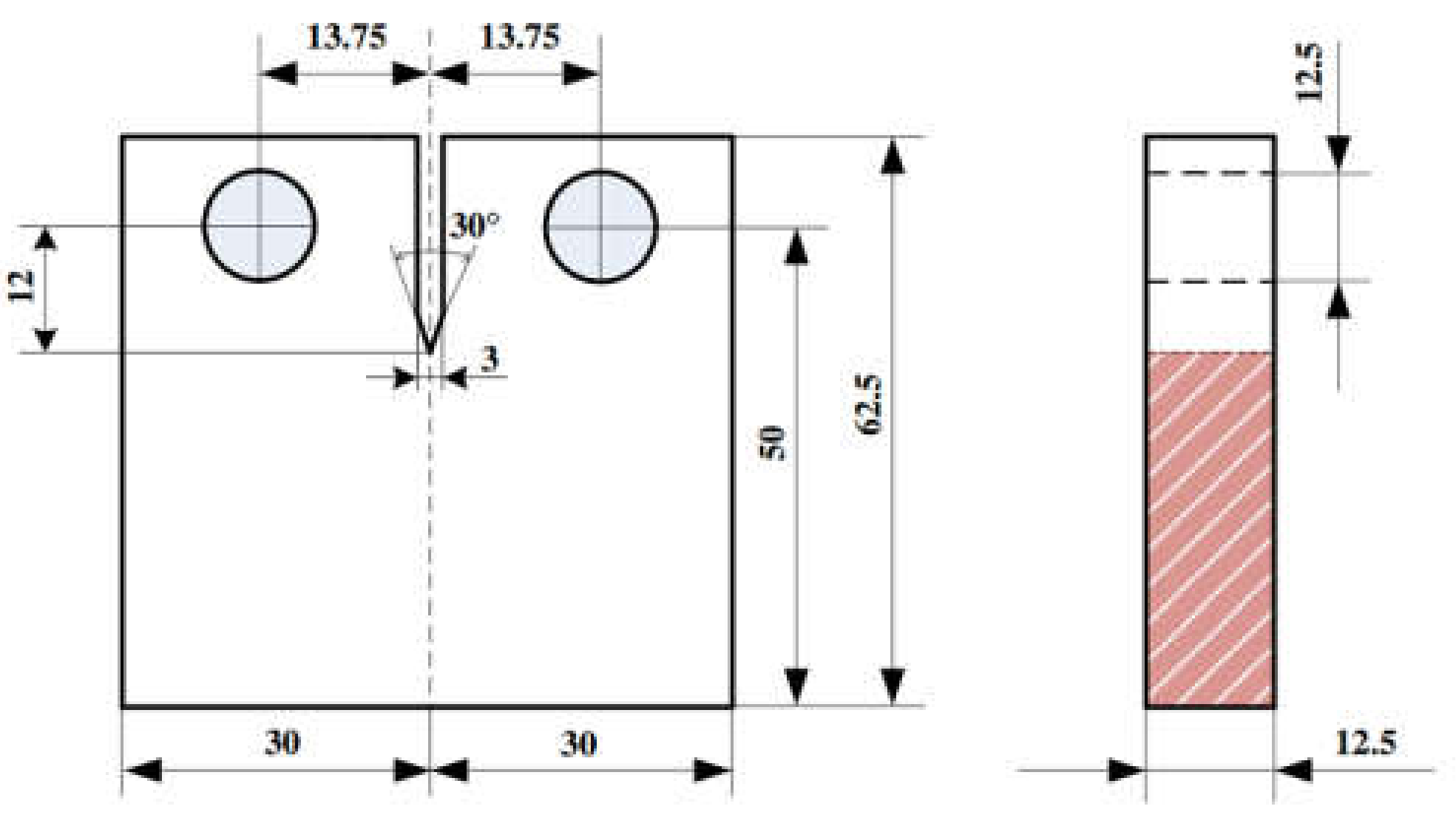
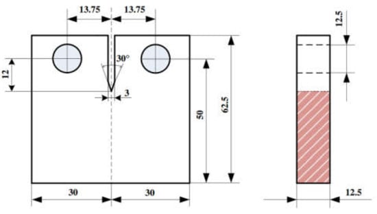
2. Material and Experimental Process
3. Results and Discussion
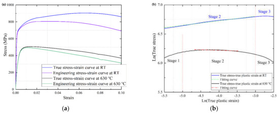
3.1. The Tensile Behavior
3.2. S–N Curves
3.3. Microstructure Characterization
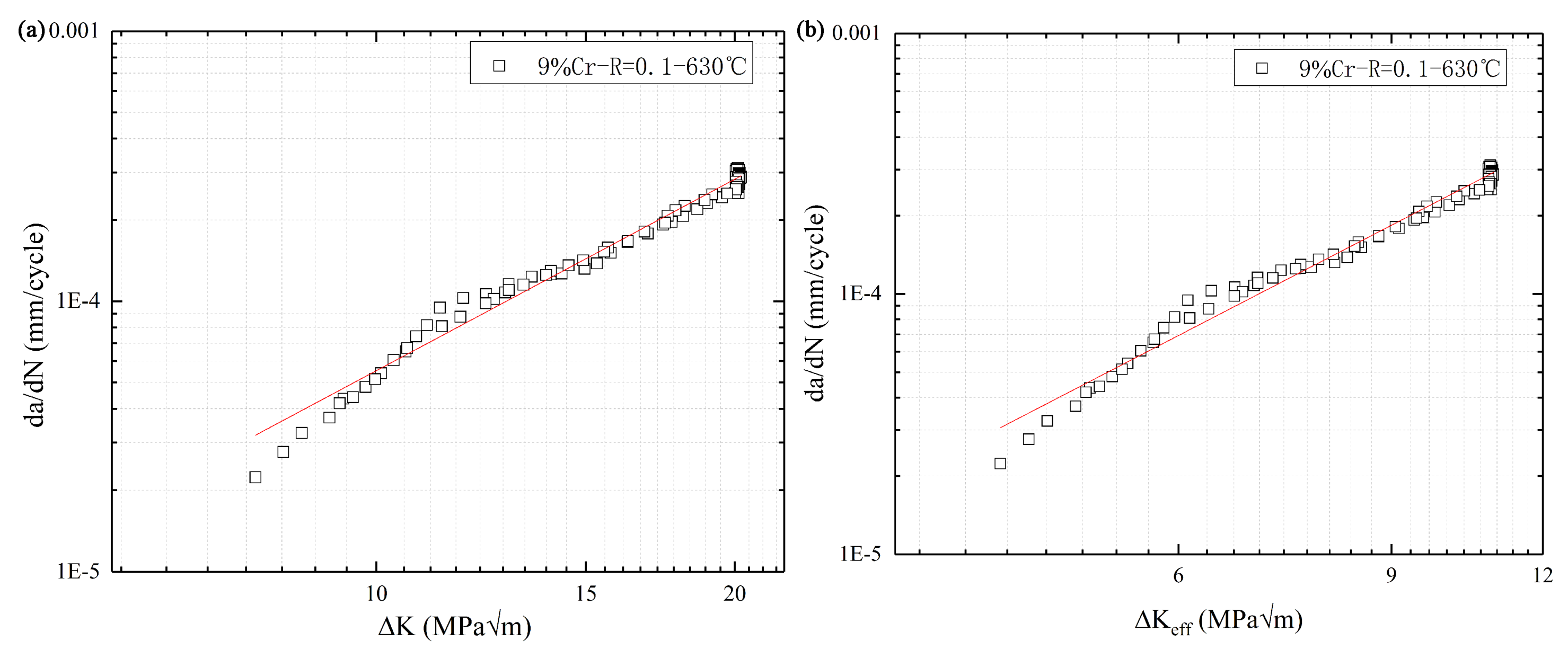
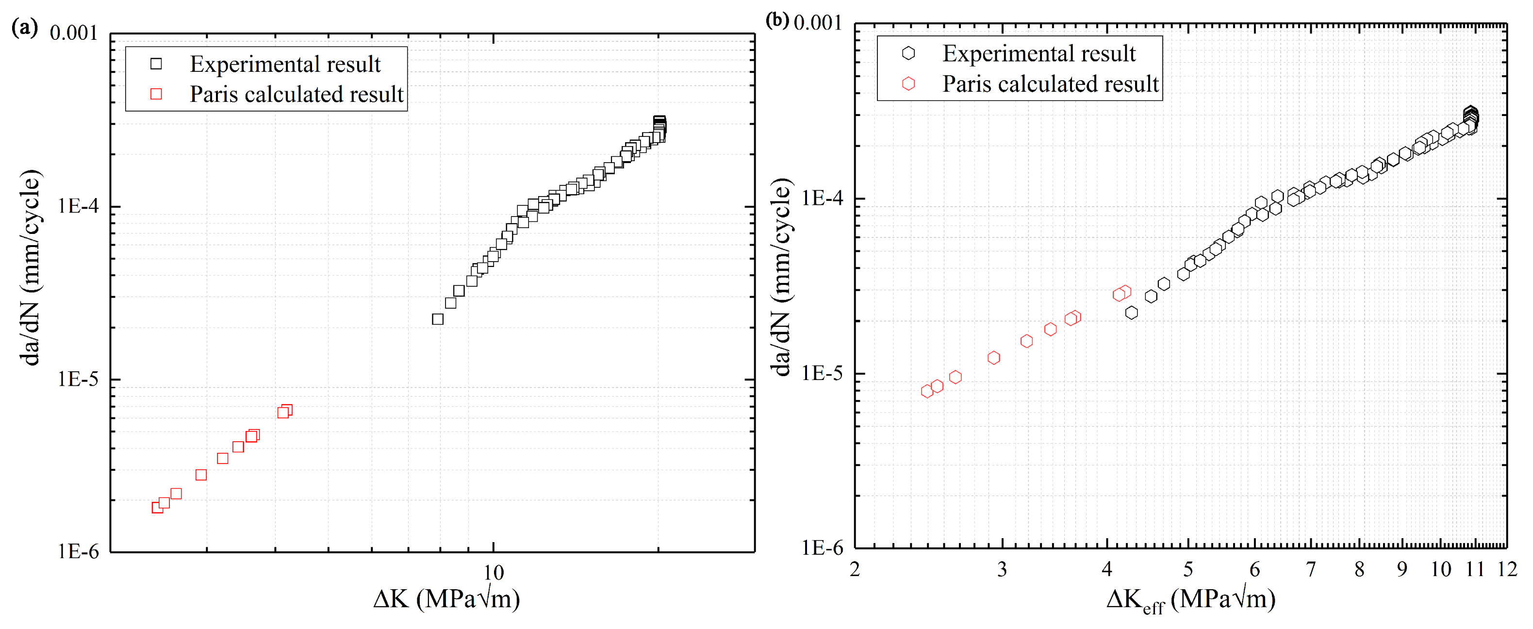
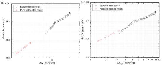
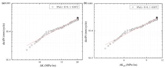
3.4. Fractography and Fracture Mechanics
3.5. The Model of the Crack Growth Threshold (ΔKth) for the Interior-Induced Fracture
4. Conclusions
- (1)
- Through the uniaxial tensile test, it could be known that the material had a serious softening phenomenon at 630 °C.
- (2)
- The S–N curves presented a continuous downward trend and had no fatigue limit. Under the high temperature environment, the fatigue strength of the specimen surface was reduced.
- (3)
- For R = −1, the specimens were more likely to fail on the surface due to the decrease of the surface strength under high temperature. For R = 0.1, the specimen was more likely to exhibit internal failure behavior.
- (4)
- For R = −1, the area of the region (A) and (B) of internal failures increased with the increase of the fatigue life. For R = 0.1, the area of about region (A) and (B) of internal failures decreased with the increase of the fatigue life.
- (5)
- For R = −1, ΔKB about region (B) was close to a constant and had no obvious change with the increase of the fatigue life. For R = 0.1, ΔKB of internal failures regions (B) decreased with the increase of the fatigue life.
- (6)
- The formula about the crack growth threshold of the interior-induced fracture was proposed and discussed, and the statistical analysis was used to check the difference and accuracy of data.
Author Contributions
Funding
Conflicts of Interest
References
- Rojas, D.; Garcia, J.; Prat, O.; Sauthoff, G.; Kaysser-Pyzalla, A.R. 9%Cr heat resistant steels: Alloy design, microstructure evolution and creep response at 650 °C. Mater. Sci. Eng. A 2011, 528, 5164–5176. [Google Scholar] [CrossRef]
- He, J.J.; Chen, J.; Sun, Q.M. Effect of Loading Rate on Low-Cycle Fatigue Properties of Turbine Rotor Steel. Procedia Mater. Sci. 2014, 3, 1773–1779. [Google Scholar] [CrossRef]
- Zhu, X.; Chen, H.; Xuan, F.; Chen, X. On the creep fatigue and creep rupture behaviours of 9–12% Cr steam turbine rotor. Eur. J. Mech. A Solids 2019, 76, 263–278. [Google Scholar] [CrossRef]
- Fournier, B.; Dalle, F.; Sauzay, M.; Longour, J.; Salvi, M.; Caes, C.; Tournié, I.; Giroux, P.-F.; Kim, S.-H. Comparison of various 9–12%Cr steels under fatigue and creep-fatigue loadings at high temperature. Mater. Sci. Eng. A 2011, 528, 6934–6945. [Google Scholar] [CrossRef]
- Wu, Q.J.; Lu, F.G.; Cui, H.C.; Ding, Y.M.; Liu, X.; Gao, Y.L. Microstructure characteristics and temperature-dependent high cycle fatigue behavior of advanced 9% Cr/CrMoV dissimilarly welded joint. Mater. Sci. Eng. A 2014, 615, 98–106. [Google Scholar] [CrossRef]
- Zhang, Q.; Zhang, J.; Zhao, P.; Huang, Y.; Yu, Z.; Fang, X. Low-cycle fatigue behaviors of a new type of 10% Cr martensitic steel and welded joint with Ni-based weld metal. Int. J. Fatigue 2016, 88, 78–87. [Google Scholar] [CrossRef]
- Mishnev, R.; Dudova, N.; Kaibyshev, R. Effect of microstructural evolution on the cyclic softening of a 10% Cr martensitic steel under low cycle fatigue at 600 °C. Int. J. Fatigue 2020, 134, 11. [Google Scholar]
- Rae, Y.; Guo, X.; Benaarbia, A.; Neate, N.; Sun, W. On the microstructural evolution in 12% Cr turbine steel during low cycle fatigue at elevated temperature. Mater. Sci. Eng. A 2020, 773, 12. [Google Scholar] [CrossRef]
- Zhang, W.; Wang, X.W.; Chen, H.F.; Zhang, T.Y.; Gong, J.M. Evaluation of the effect of various prior creep-fatigue interaction damages on subsequent tensile and creep properties of 9%Cr steel. Int. J. Fatigue 2019, 125, 440–453. [Google Scholar] [CrossRef]
- Yan, Y.M.; Hu, Z.F.; Lin, F.S.; Zhao, S.Q. Fatigue behavior of 30Cr1Mo1V rotor steel at elevated temperature after long-term service. J. Mater. Eng. 2012, 2, 38–41. [Google Scholar]
- Ziegler, D.; Puccinelli, M.; Bergallo, B.; Picasso, A. Investigation of turbine blade failure in a thermal power plant. Case Stud. Eng. Fail. Anal. 2013, 1, 192–199. [Google Scholar] [CrossRef]
- Hui, W.; Zhang, Y.; Zhao, X.; Chao, Z.; Wang, K.; We, S.; Dong, H. Very high cycle fatigue properties of Cr-Mo low alloy steel containing V-rich MC type carbides. Mater. Sci. Eng. A 2016, 651, 311–320. [Google Scholar] [CrossRef]
- Zhu, M.-L.; Xuan, F.-Z.; Chen, J. Influence of microstructure and microdefects on long-term fatigue behavior of a Cr–Mo–V steel. Mater. Sci. Eng. A 2012, 546, 90–96. [Google Scholar] [CrossRef]
- Zhu, M.-L.; Liu, L.-L.; Xuan, F.-Z. Effect of frequency on very high cycle fatigue behavior of a low strength Cr–Ni–Mo–V steel welded joint. Int. J. Fatigue 2015, 77, 166–173. [Google Scholar]
- Hong, Y.; Lei, Z.; Sun, C.; Zhao, A. Propensities of crack interior initiation and early growth for very-high-cycle fatigue of high strength steels. Int. J. Fatigue 2014, 58, 144–151. [Google Scholar] [CrossRef]
- Zhang, W.-C.; Zhu, M.-L.; Wang, K.; Xuan, F.-Z. Failure mechanisms and design of dissimilar welds of 9%Cr and CrMoV steels up to very high cycle fatigue regime. Int. J. Fatigue 2018, 113, 367–376. [Google Scholar] [CrossRef]
- Hilgendorff, P.M.; Grigorescu, A.C.; Zimmermann, M.; Fritzen, C.P.; Christ, H.J. Cyclic deformation behavior of austenitic Cr-Ni-steels in the VHCF regime: Part II—Microstructure-sensitive simulation. Int. J. Fatigue 2016, 93, 261–271. [Google Scholar] [CrossRef]
- Kovacs, S.; Beck, T.; Singheiser, L. Influence of mean stresses on fatigue life and damage of a turbine blade steel in the VHCF-regime. Int. J. Fatigue 2013, 49, 90–99. [Google Scholar] [CrossRef]
- Grigorescu, A.C.; Hilgendorff, P.M.; Zimmermann, M.; Fritzen, C.P.; Christ, H.J. Cyclic deformation behavior of austenitic Cr–Ni-steels in the VHCF regime: Part I – Experimental study. Int. J. Fatigue 2016, 93, 250–260. [Google Scholar]
- Milošević, I.; Renhart, P.; Winter, G.; Grün, F.; Kober, M. Validation of a new high frequency testing technique in the VHCF regime–Fatigue properties of a 42CrMoS4 and X5CrNiCuNb16–4 steel. Int. J. Fatigue 2018, 112, 198–205. [Google Scholar]
- Yang, K.; He, C.; Huang, Q.; Huang, Z.Y.; Wang, C.; Wang, Q.; Liu, Y.J.; Zhong, B. Very high cycle fatigue behaviors of a turbine engine blade alloy at various stress ratios. Int. J. Fatigue 2017, 99, 35–43. [Google Scholar] [CrossRef]
- ASTM. In Standard Test Method for Measurement of Fatigue Crack Growth Rates; ASTM: West Conshohocken, PA, USA, 2011.
- Zhu, M.-L.; Xuan, F.-Z.; Tu, S.-T. Interpreting load ratio dependence of near-threshold fatigue crack growth by a new crack closure model. Int. J. Press. Vessel. Pip. 2013, 110, 9–13. [Google Scholar] [CrossRef]
- El Rayes, M.M.; El-Danaf, E.A. High temperature deformation behavior of as-produced and retired 9–12% Cr power plant steel. Mater. Sci. Eng. A 2017, 697, 203–210. [Google Scholar] [CrossRef]
- He, J.L.; Chen, F.; Wang, B.; Zhu, L.B. A modified Johnson-Cook model for 10%Cr steel at elevated temperatures and a wide range of strain rates. Mater. Sci. Eng. A 2018, 715, 1–9. [Google Scholar] [CrossRef]
- Sakai, T.; Sato, Y.; Nagano, Y.; Takeda, M.; Oguma, N. Effect of stress ratio on long life fatigue behavior of high carbon chromium bearing steel under axial loading. Int. J. Fatigue 2006, 28, 1547–1554. [Google Scholar] [CrossRef]
- Hou Fang, J.L.; Shaoxiong, X.; Yongjie, L.; Qingyuan, W.; Junhui, Z. Very high cycle fatigue properties of CrMoW rotor steel at high-temperature. J. Mater. Res. 2016, 30, 481–488. [Google Scholar]
- Hong, Y.; Liu, X.; Lei, Z.; Sun, C. The formation mechanism of characteristic region at crack initiation for very-high-cycle fatigue of high-strength steels. Int. J. Fatigue 2016, 89, 108–118. [Google Scholar] [CrossRef]
- Sakai, T.; Sato, Y.; Oguma, N. Characteristic S-N Property of High Carbon Chromium Bearing Steel under Axial Loading in Long Life Fatigue. Nihon Kikai Gakkai Ronbunshu A Hen/ Trans. Jpn. Soc. Mech. Eng. A 2001, 67, 1980–1987. [Google Scholar] [CrossRef][Green Version]
- Sakai, T.; Tanaka, N.; Takeda, M.; Kanemitsu, M.; Oguma, N. Characteristic S-N property of high strength steels in ultra-wide life region under rotating bending. In Proceedings of the Second International Symposium on Environmentally Conscious Design and Inverse Manufacturing, Tokyo, Japan, 11–15 December 2001. [Google Scholar]
- Murakami, Y. Effects of small defects and nonmetallic inclusions on the fatigue strength of metals. Key Eng. Mater. 1990, 51–52, 37–42. [Google Scholar]
- Yang, K.; Zhong, B.; Huang, Q.; He, C.; Huang, Z.Y.; Wang, Q.; Liu, Y.-J. Stress Ratio and Notch Effects on the Very High Cycle Fatigue Properties of a Near-Alpha Titanium Alloy. Materials 2018, 11, 1178. [Google Scholar] [CrossRef] [PubMed]
- Chen, Y.; He, C.; Liu, F.; Wang, C.; Liu, Y. Effect of microstructure inhomogeneity and crack initiation environment on the very high cycle fatigue behavior of a magnesium alloy. Int. J. Fatigue 2019, 131, 105376. [Google Scholar] [CrossRef]
- Taylor, D. Fatigue Thresholds; Butterworth Heinemann: London, UK, 1989. [Google Scholar]
- Pokluda, J.; Pippan, R.; Vojtek, T.; Hohenwarter, A. Near-threshold behaviour of shear-mode fatigue cracks in metallic materials. Fatigue Fract. Eng. Mater. Struct. 2014, 37, 232–254. [Google Scholar] [CrossRef]
- Xu, D.K.; Liu, L.; Xu, Y.B.; Han, E.H. The crack initiation mechanism of the forged Mg–Zn–Y–Zr alloy in the super-long fatigue life regime. Scr. Mater. 2007, 56, 1–4. [Google Scholar] [CrossRef]
- Zhao, A.; Xie, J.; Sun, C.; Lei, Z.; Hong, Y. Prediction of threshold value for FGA formation. Mater. Sci. Eng. A 2011, 528, 6872–6877. [Google Scholar] [CrossRef]
- Oguma, H.; Nakamura, T. Fatigue crack propagation properties of Ti-6A1-4V in vacuum environments. Int. J. Fatigue 2013, 50, 89–93. [Google Scholar] [CrossRef]
- Stanzl-Tschegg, S.; Schonbauer, B. Near-threshold fatigue crack propagation and internal cracks in steel. In Fatigue; Lukas, P., Ed.; Elsevier: Amsterdam, The Netherlands, 2010; pp. 1547–1555. [Google Scholar]
- Kobayashi, A.S. Stress Intensity Factors Handbook; Murakami, Y., Hasebe, M.T., Itoh, Y., Kishimoto, K., Miyata, H., Miyazaki, N., Terada, H., Tohgo, K., Yuuki, R., Eds.; John Wiley & Sons: Hoboken, NJ, USA, 2008; Volume 18, p. 46. [Google Scholar]
- Liu, F.; He, C.; Chen, Y.; Zhang, H.; Wang, Q.; Liu, Y. Effects of defects on tensile and fatigue behaviors of selective laser melted titanium alloy in very high cycle regime. Int. J. Fatigue. 2020, 140, 105795. [Google Scholar] [CrossRef]
- Uwe, Z.; Vormwald, M.; Pippan, R.; Gänser, H.-P.; Sarrazin-Baudoux, C.; Madia, M. About the fatigue crack propagation threshold of metals as a design criterion—A review. Eng. Fract. Mech. 2016, 153, 190–243. [Google Scholar]
- Paris, P.; Erdogan, F. A Critical Analysis of Crack Propagation Laws. J. Basic Eng. Fail. Anal. 1963, 85, 528–533. [Google Scholar] [CrossRef]
- Elber, W. The significance of fatigue crack closure. In Damage Tolerance in Aircraft Structures; Rosenfeld, M., Ed.; ASTM International: West Conshohocken, PA, USA, 1971. [Google Scholar]
- Duquette, D.J.; Gell, M. The Effect of Environment on the Mechanism of Stage I Fatigue Fracture. Metall. Trans. 1971, 2, 1325–1331. [Google Scholar]
- Yuen, A.; Hopkin, S.W.; Leverant, G.R.; Rau, C.A. Correlations between fracture surface appearance and fracture mechanics parameters for stage II fatigue crack propagation in TÏ-6AI-4V. Metall. Trans. 1974, 5, 1833–1842. [Google Scholar] [CrossRef]

















| C | Si | Mn | Cr | Mo | Ni | Nb | W | Co | B | N |
|---|---|---|---|---|---|---|---|---|---|---|
| 0.12 | 0.06 | 0.20 | 9.16 | 0.20 | 0.40 | 0.08 | 2.95 | 2.82 | 0.007 | 0.02 |
| Temperature | Elastic Modulus (GPa) | Yield Stress (MPa) | Tensile Strength (MPa) | K1 (MPa) | n1 |
|---|---|---|---|---|---|
| RT | 260.78 | 678.68 | 885 | 1141.39 | 0.078 |
| 630 °C | 148.97 | 443.67 | 507.5 | 459.44 | 0.02 |
| Stress Ratios | Experimental Value | Theoretical Value | Experimental Value | Theoretical Value |
|---|---|---|---|---|
| R = −1 | 1.56 | 1.38 | 1.88 | 1.38 |
| R = 0.1 | 1.8 | 1.84 | 2.86 | 1.84 |
© 2020 by the authors. Licensee MDPI, Basel, Switzerland. This article is an open access article distributed under the terms and conditions of the Creative Commons Attribution (CC BY) license (http://creativecommons.org/licenses/by/4.0/).
Share and Cite
Wang, Q.; Chen, Y.; Liu, Y.; Wang, C.; Li, L.; He, C.; Gong, X.; Wang, T.; Zhang, W.; Wang, Q.; et al. The Effect of Stress Ratios on the Very High Cycle Fatigue Behavior of 9%Cr Turbine Steel at 630 °C. Materials 2020, 13, 3444. https://doi.org/10.3390/ma13163444
Wang Q, Chen Y, Liu Y, Wang C, Li L, He C, Gong X, Wang T, Zhang W, Wang Q, et al. The Effect of Stress Ratios on the Very High Cycle Fatigue Behavior of 9%Cr Turbine Steel at 630 °C. Materials. 2020; 13(16):3444. https://doi.org/10.3390/ma13163444
Chicago/Turabian StyleWang, Quanyi, Yao Chen, Yongjie Liu, Chong Wang, Lang Li, Chao He, Xiufang Gong, Tianjian Wang, Wei Zhang, Qingyuan Wang, and et al. 2020. "The Effect of Stress Ratios on the Very High Cycle Fatigue Behavior of 9%Cr Turbine Steel at 630 °C" Materials 13, no. 16: 3444. https://doi.org/10.3390/ma13163444
APA StyleWang, Q., Chen, Y., Liu, Y., Wang, C., Li, L., He, C., Gong, X., Wang, T., Zhang, W., Wang, Q., & Zhang, H. (2020). The Effect of Stress Ratios on the Very High Cycle Fatigue Behavior of 9%Cr Turbine Steel at 630 °C. Materials, 13(16), 3444. https://doi.org/10.3390/ma13163444
