Nanoindentation Study on the Creep Characteristics and Hardness of Ion-Irradiated Alloys
Abstract
1. Introduction
2. Materials and Experimental Procedure
2.1. Materials Preparation
2.2. Ion Irradiation
2.3. Nanoindentation Characterization
3. Results and Discussion
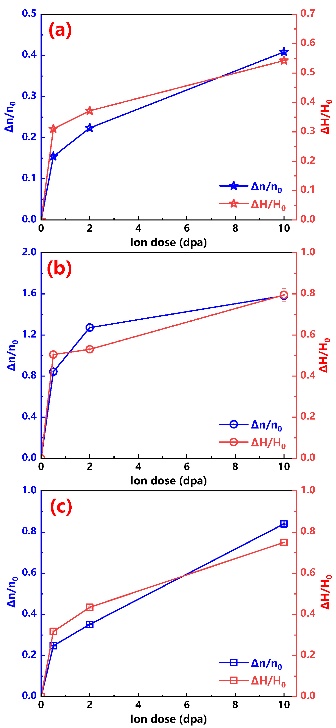
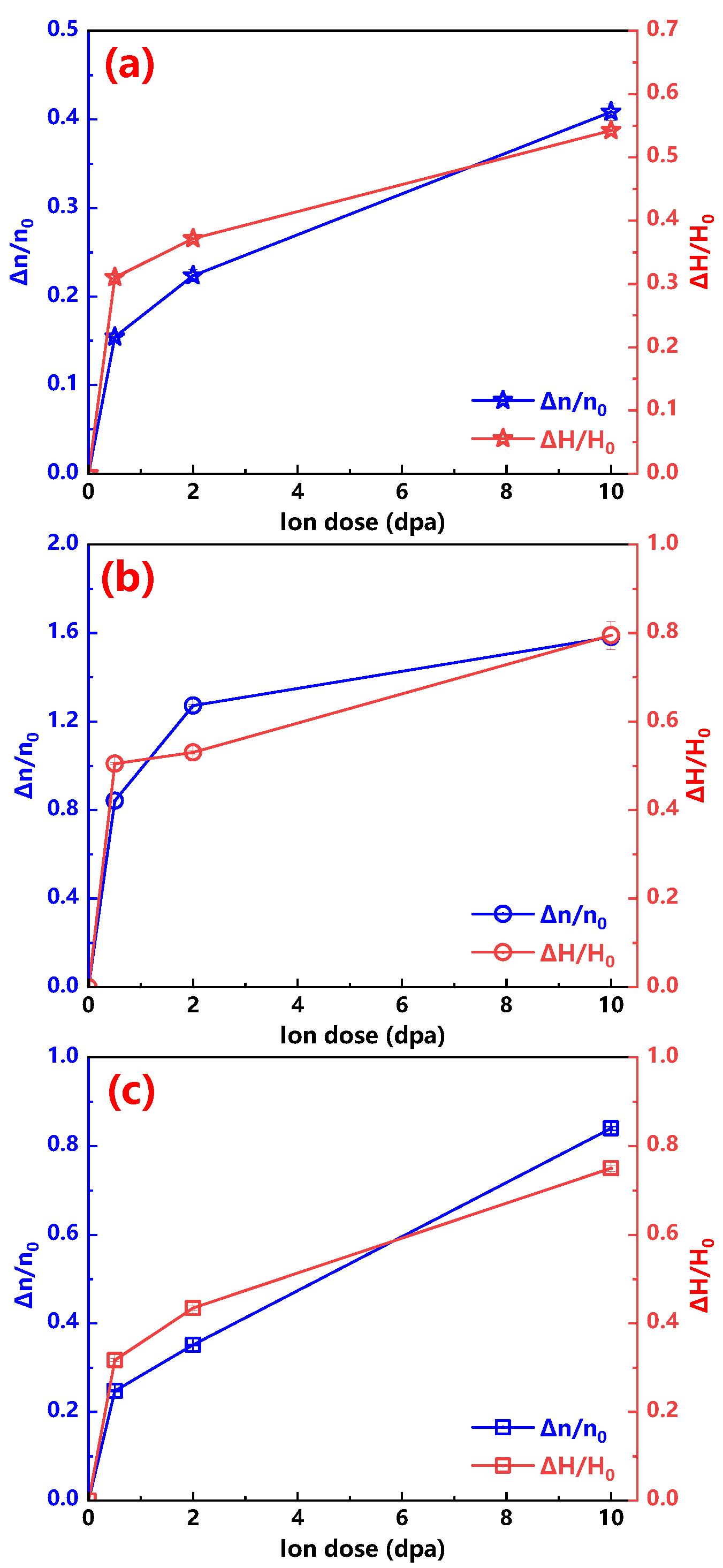
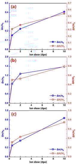
3.1. Irradiation Induced Hardening
3.2. Nanoindentation Creep
4. Conclusions
- The hardening phenomenon occurs in the irradiated samples and hardness increases with increasing ion dose up to 10 dpa in all the alloys. Among them, the best irradiation hardening resistance appeared in the Hastelloy N alloy, followed by 316H stainless steel and Alloy 800H;
- The stress exponent n increases with the increasing ion dose in all the alloys, which shows that plasticity of all three alloys degraded after irradiation. By comparison, the Hastelloy N alloy is evaluated to process good irradiation resistance, whereas that of the Alloy 800H and 316H is slightly worse;
- The variation trends of irradiation induced hardening and stress exponent increase are almost identical. The results show that the property of creep plasticity of irradiated materials can be reflected from the nanohardness measurement for the heavy ion irradiation cases.
Author Contributions
Funding
Acknowledgments
Conflicts of Interest
References
- Serp, J.; Allibert, M.; Benes, O.; Delpech, S.; Feynberg, O.; Ghetta, V.; Heuer, D.; Holcomb, D.; Ignatiev, V.; Kloosterman, J.L.; et al. The molten salt reactor (MSR) in generation IV: Overview and perspectives. Prog. Nucl. Energ. 2014, 77, 308–319. [Google Scholar] [CrossRef]
- Xu, H.X.; Lin, J.; Zhong, Y.J.; Zhu, Z.Y.; Chen, Y.; Liu, J.D.; Ye, B.J. Characterization of molten 2LiF–BeF2 salt impregnated into graphite matrix of fuel elements for thorium molten salt reactor. Nucl. Sci. Tech. 2019, 30, 74. [Google Scholar] [CrossRef]
- Liu, J.Z.; Huang, H.F.; Gao, J.; Zhu, Z.B.; Li, Y. Defects evolution and hardening in the Hastelloy N alloy by subsequent Xe and He ions irradiation. J. Nucl. Mater. 2019, 517, 328–336. [Google Scholar] [CrossRef]
- Forsberg, C.W.; Peterson, P.F.; Pickard, P.S. Molten-Salt-Cooled advanced high-Temperature reactor for production of hydrogen and electricity. Nucl. Technol. 2017, 144, 289–302. [Google Scholar] [CrossRef]
- Edwards, D.J.; Simonen, E.P.; Garner, F.A.; Greenwood, L.R.; Oliver, B.M.; Bruemmer, S.M. Influence of irradiation temperature and dose gradients on the microstructural evolution in neutron-Irradiated 316SS. J. Nucl. Mater. 2003, 317, 32–45. [Google Scholar] [CrossRef]
- Grossbeck, M.L.; Gibson, L.T.; Jitsukawa, S. Irradiaton creep in austenitic and ferritic steels irradiated in a tailored neutron spectrum to induce fusion reactor levels of helium. J. Nucl. Mater. 1996, 233, 148–151. [Google Scholar] [CrossRef]
- Ren, W.; Swindeman, R. A Review of Alloy 800H for Applications in the Gen IV Nuclear Energy Systems. In Proceedings of the ASME 2010 Pressure Vessels and Piping Division/K-PVP Conference, Bellevue, WA, USA, 18–22 July 2010; pp. 821–836. [Google Scholar]
- Davies, C.M.; Dean, D.W.; Mehmanparast, A.N.; Nikbin, K.M. Compressive Pre-Strain Effects on the Creep and Crack Growth Behaviour of 316H Stainless Steel. In Proceedings of the ASME 2010 Pressure Vessels and Piping Division/K-PVP Conference, Bellevue, WA, USA, 18–22 July 2010; pp. 323–330. [Google Scholar]
- Ren, W.J.; Swindeman, R. Status of alloy 800H in considerations for the Gen IV nuclear energy systems. J. Press. Vess. 2014, 136, 054001. [Google Scholar] [CrossRef]
- Lee, H.; Eoh, J.; Jeong, J. Elevated temperature design and integrity evaluation of a large-scale sodium test facility, STELLA-2. Nucl. Eng. Des. 2019, 346, 54–66. [Google Scholar] [CrossRef]
- Gao, J.; Bao, L.M.; Huang, H.F.; Li, Y.; Lei, Q.T.; Deng, Q.; Liu, Z.; Yang, G.; Shi, L.Q. ERDA, RBS, TEM and SEM characterization of microstructural evolution in helium-implanted Hastelloy N alloy. Nucl. Instrum. Meth. B 2017, 399, 62–68. [Google Scholar] [CrossRef]
- Gao, J.; Huang, H.F.; Liu, J.Z.; Lei, Q.T.; Wang, C.J.; Han, Z.B.; Yang, G.; Li, Y. Helium release and lattice swelling in nickel foil irradiated by multiply-energy helium ions. Nucl. Instrum. Meth. B 2018, 450, 108–113. [Google Scholar] [CrossRef]
- Gao, J.; Huang, H.F.; Liu, J.Z.; Zeng, J.R.; Xie, R.B.; Li, Y. Coalescence mechanism of helium bubble during tensile deformation revealed by in situ small-Angle X-Ray scattering. Scripta Mater. 2019, 158, 121–125. [Google Scholar] [CrossRef]
- Xiao, X.Z.; Chen, Q.Y.; Yang, H.; Duan, H.L.; Qu, J.M. A mechanistic model for depth-dependent hardness of ion irradiated metals. J. Nucl. Mater. 2017, 485, 80–89. [Google Scholar] [CrossRef]
- Lu, Y.P.; Huang, H.F.; Gao, X.Z.; Gao, J.; Zhang, H.Z.; Ren, C.L.; Wang, T.M.; Liang, N.N.; Zhao, Y.H.; Li, T.J. A promising new class of irradiation tolerant materials: Ti2ZrHfV0.5Mo0.2 high-Entropy alloy. J. Mater. Sci. Technol. 2019, 35, 369–373. [Google Scholar] [CrossRef]
- Xiao, X.Z.; Yu, L. Nano-Indentation of ion-irradiated nuclear structural materials: A review. Nucl. Mater. Energy 2019, 22, 100721. [Google Scholar] [CrossRef]
- Chen, T.Y.; Tan, L.Z.; Lu, Z.Z.; Xu, H.X. The effect of grain orientation on nanoindentation behavior of model austenitic alloy Fe-20Cr-25Ni. Acta Mater. 2017, 138, 83–91. [Google Scholar] [CrossRef]
- Huang, H.F.; Zhou, X.L.; Li, C.W.; Gao, J.; Wei, T.; Lei, G.H.; Li, J.J.; Ye, L.F.; Huang, Q.; Zhu, Z.Y. Temperature dependence of nickel ion irradiation damage in GH3535 alloy weld metal. J. Nucl. Mater. 2017, 497, 108–116. [Google Scholar] [CrossRef]
- Ziegler, J.F.; Biersack, J.P. The stopping and range of ions in matter. In Treatise on Heavy-Ion Science; Springer: Berlin/Heidelberg, Germany, 1985; pp. 93–129. [Google Scholar]
- Oliver, W.C.; Pharr, G.M. An improved technique for determining hardness and elastic modulus using load and displacement sensing indentation experiments. J. Mater. Res. 1992, 7, 1564–1583. [Google Scholar] [CrossRef]
- Huang, H.F.; Gao, J.; Radiguet, B.; Liu, R.D.; Li, J.J.; Lei, G.H.; Huang, Q.; Liu, M.; Xie, R.B. Microstructural evolution and hardening of GH3535 alloy under energetic Xe ion irradiation at room temperature and 650 °C. J. Nucl. Mater. 2018, 499, 431–439. [Google Scholar] [CrossRef]
- Nix, W.D.; Gao, H.J. Indentation size effects in crystalline materials: A law for strain gradient plasticity. J. Mech. Phys. Solids 1998, 46, 411–425. [Google Scholar] [CrossRef]
- Kasada, R.; Takayama, Y.; Yabuuchi, K.; Kimura, A. A new approach to evaluate irradiation hardening of ion-irradiated ferritic alloys by nano-Indentation techniques. Fusion Eng. Des. 2011, 86, 2658–2661. [Google Scholar] [CrossRef]
- Prasitthipayong, A.; Vachhani, S.J.; Tumey, S.J.; Minor, A.M.; Hosemann, P. Indentation size effect in unirradiated and ion-irradiated 800H steel at high temperatures. Acta Mater. 2018, 144, 896–904. [Google Scholar] [CrossRef]
- Zinkle, S.J.; Was, G.S. Materials challenges in nuclear energy. Acta Mater. 2013, 61, 735–758. [Google Scholar] [CrossRef]
- Huang, H.F.; Li, J.J.; Li, D.H.; Liu, R.D.; Lei, G.H.; Huang, Q.; Yan, L. TEM, XRD and nanoindentation characterization of Xenon ion irradiation damage in austenitic stainless steels. J. Nucl. Mater. 2014, 454, 168–172. [Google Scholar] [CrossRef]
- Zhu, Z.B.; Huang, H.F.; Liu, J.Z.; Gao, J.; Zhu, Z.Y. Xenon ion irradiation induced hardening in Inconel 617 containing experiment and numerical calculation. J. Nucl. Mater. 2019, 525, 32–39. [Google Scholar] [CrossRef]
- Zhang, H.Q.; Zhang, C.H.; Yang, Y.T.; Meng, Y.C.; Jang, J.S.; Kimura, A. Irradiation hardening of ODS ferritic steels under helium implantation and heavy-ion irradiation. J. Nucl. Mater. 2014, 455, 349–353. [Google Scholar] [CrossRef]
- Huang, Z.J.; Harris, A.; Maloy, S.A.; Hosemann, P. Nanoindentation creep study on an ion beam irradiated oxide dispersion strengthened alloy. J. Nucl. Mater. 2014, 451, 162–167. [Google Scholar] [CrossRef]
- Choi, I.C.; Yoo, B.G.; Kim, Y.J.; Jang, J.I. Indentation creep revisited. J. Mater. Res. 2011, 27, 3–11. [Google Scholar] [CrossRef]
- Ghosh, A.K.; Ayres, R.A. On reported anomalies in relating strain-rate sensitivity(m) to ductility. Metall. Trans. A 1976, 7, 1589–1591. [Google Scholar] [CrossRef]
- Goodall, R.; Clyne, T.W. A critical appraisal of the extraction of creep parameters from nanoindentation data obtained at room temperature. Acta Mater. 2006, 54, 5489–5499. [Google Scholar] [CrossRef]
- Arieli, A.; Mukherjee, A. Factors affecting the maximum attainable ductility in a superplastic titanium alloy. Mater. Sci. Eng. 1980, 43, 47–54. [Google Scholar] [CrossRef]
- Langdon, T.G. The relationship between strain rate sensitivity and ductility in superplastic materials. Acta Metall. Mater. 1977, 11, 997–1000. [Google Scholar] [CrossRef]
- Lund, R.W.; Nix, W.D. High temperature creep of Ni-20Cr-2ThO2 single crystals. Acta Metall. Mater. 1976, 24, 469–481. [Google Scholar] [CrossRef]
- Martin, W.R.; Weir, J.R. Effect of Elevated-Temperature Irradiation on Hastelloy N. Nucl. Appl. 1965, 1, 160–167. [Google Scholar] [CrossRef]
- Roy, A.K.; Virupaksha, V. Performance of alloy 800H for high-Temperature heat exchanger applications. Mater. Sci. Eng. A 2007, 452, 665–672. [Google Scholar] [CrossRef]
- Li, W.B.; Henshall, J.L.; Hooper, R.M.; Easterling, K.E. The mechanisms of indentation creep. Acta Metall. Mater. 1991, 39, 3099–3110. [Google Scholar] [CrossRef]
- Johnson, K.L. The correlation of indentation experiments. J. Mech. Phys. Solids 1970, 18, 115–126. [Google Scholar] [CrossRef]
- Bose, B.; Klassen, R.J. Effect of ion irradiation and indentation depth on the kinetics of deformation during micro-indentation of Zr–2.5%Nb pressure tube material at 25 °C. J. Nucl. Mater. 2010, 399, 32–37. [Google Scholar] [CrossRef]









| Elements | Ni | Mo | Cr | Fe | Mn | Si | C | Ti | Al | Co |
|---|---|---|---|---|---|---|---|---|---|---|
| Hastelloy N | Bal. | 16.5 | 6.96 | 4.2 | 0.71 | 0.46 | 0.05 | ≤0.2 | ≤0.02 | |
| 800H | 30.4 | – | 20.1 | 47.8 | 0.8 | 0.3 | 0.08 | 0.26 | 0.26 | – |
| 316H | 12.5 | 1.4 | 18.4 | Bal. | 2.1 | 1.2 | 0.3 | – | – | 1.4 |
© 2020 by the authors. Licensee MDPI, Basel, Switzerland. This article is an open access article distributed under the terms and conditions of the Creative Commons Attribution (CC BY) license (http://creativecommons.org/licenses/by/4.0/).
Share and Cite
Zhu, Z.; Huang, H.; Liu, J.; Ye, L.; Zhu, Z. Nanoindentation Study on the Creep Characteristics and Hardness of Ion-Irradiated Alloys. Materials 2020, 13, 3132. https://doi.org/10.3390/ma13143132
Zhu Z, Huang H, Liu J, Ye L, Zhu Z. Nanoindentation Study on the Creep Characteristics and Hardness of Ion-Irradiated Alloys. Materials. 2020; 13(14):3132. https://doi.org/10.3390/ma13143132
Chicago/Turabian StyleZhu, Zhenbo, Hefei Huang, Jizhao Liu, Linfeng Ye, and Zhiyong Zhu. 2020. "Nanoindentation Study on the Creep Characteristics and Hardness of Ion-Irradiated Alloys" Materials 13, no. 14: 3132. https://doi.org/10.3390/ma13143132
APA StyleZhu, Z., Huang, H., Liu, J., Ye, L., & Zhu, Z. (2020). Nanoindentation Study on the Creep Characteristics and Hardness of Ion-Irradiated Alloys. Materials, 13(14), 3132. https://doi.org/10.3390/ma13143132
