Evidence of Structural Inhomogeneities in Hard-Soft Dimeric Particles without Attractive Interactions
Abstract
1. Introduction
2. Models and Methods
2.1. The Intermolecular Potential
2.2. Monte Carlo Simulations
2.3. Integral Equation Theories
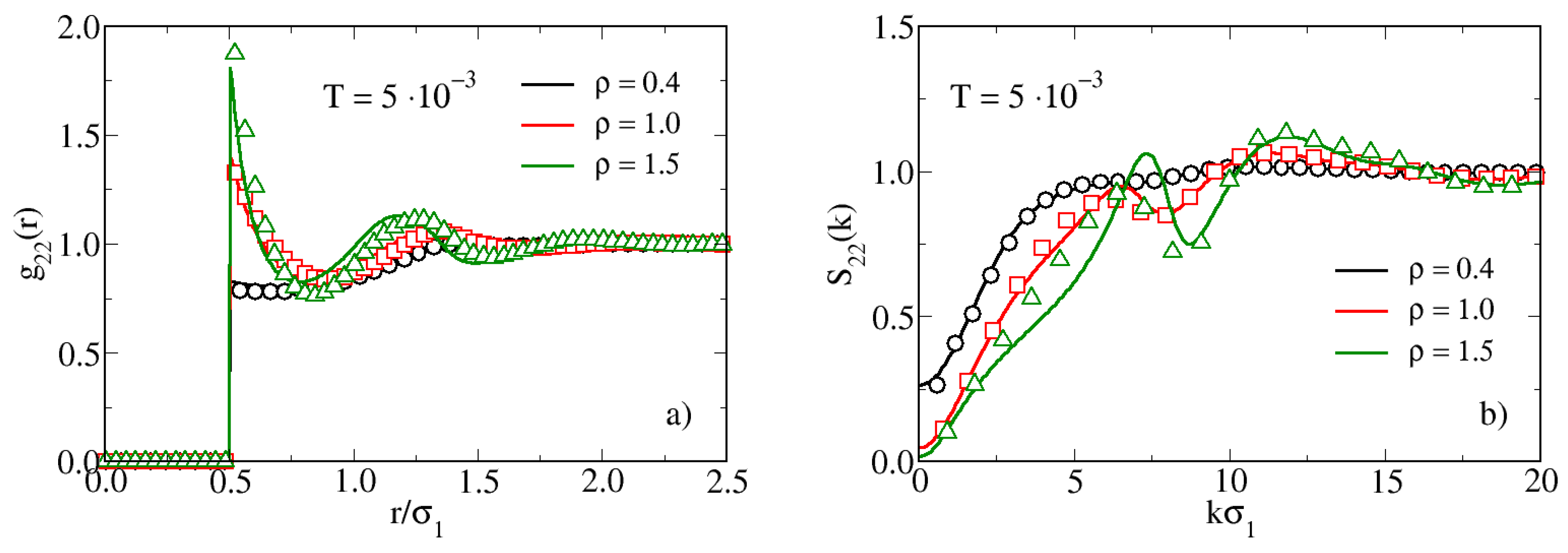
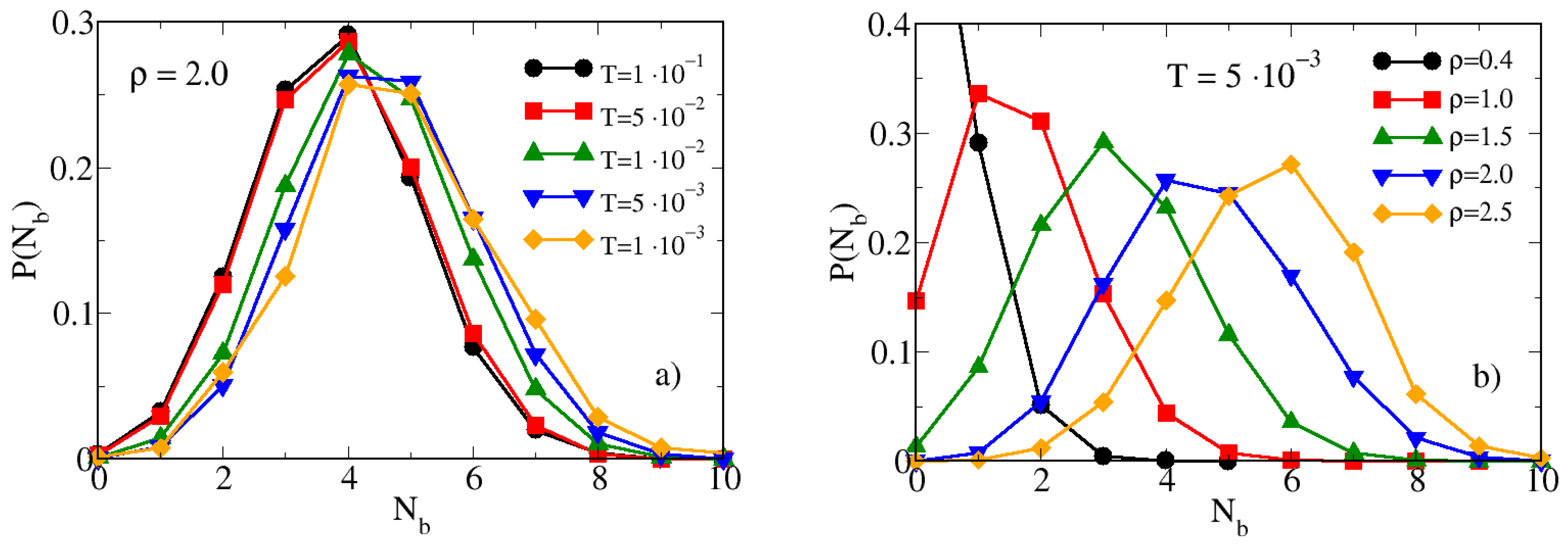
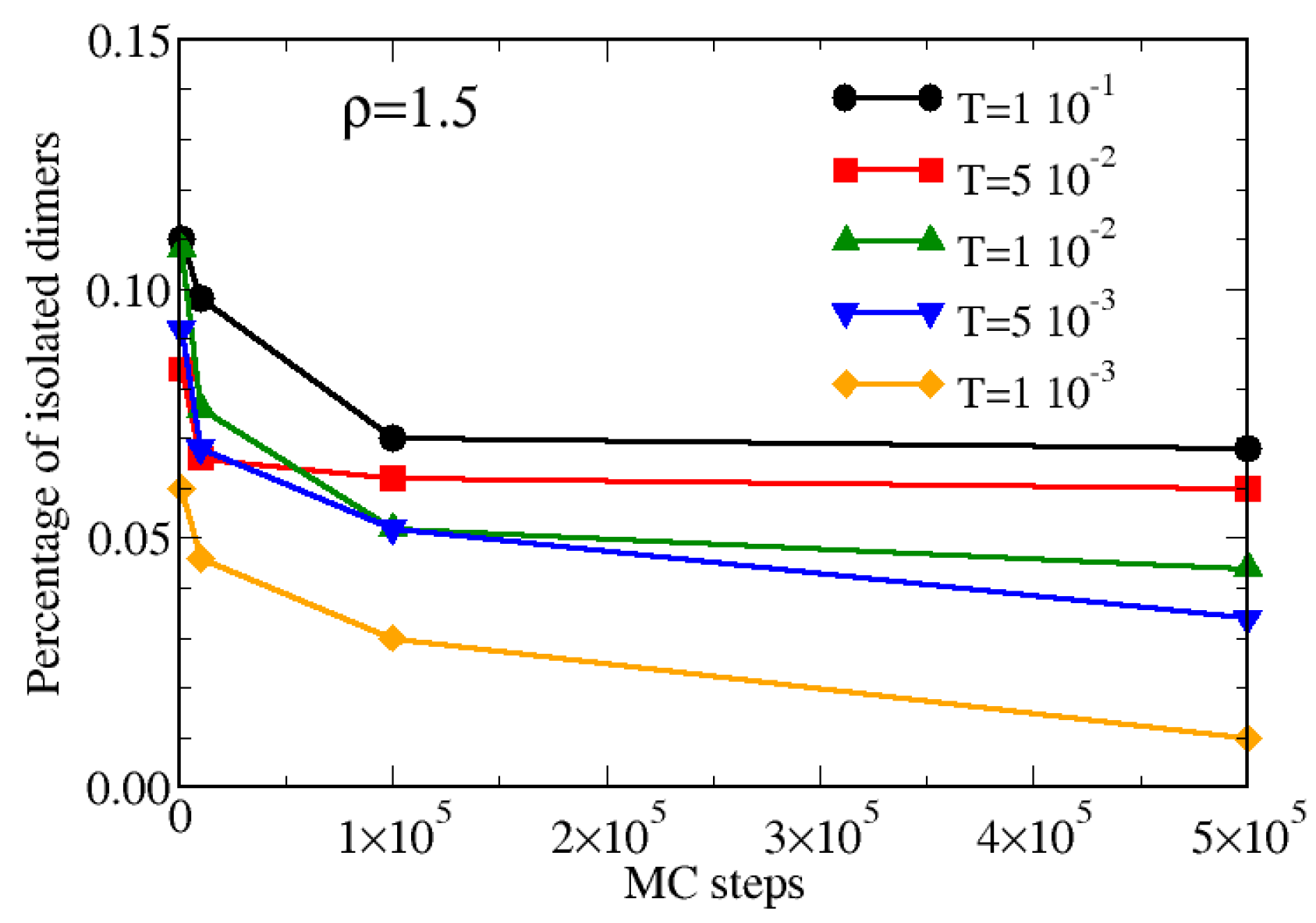
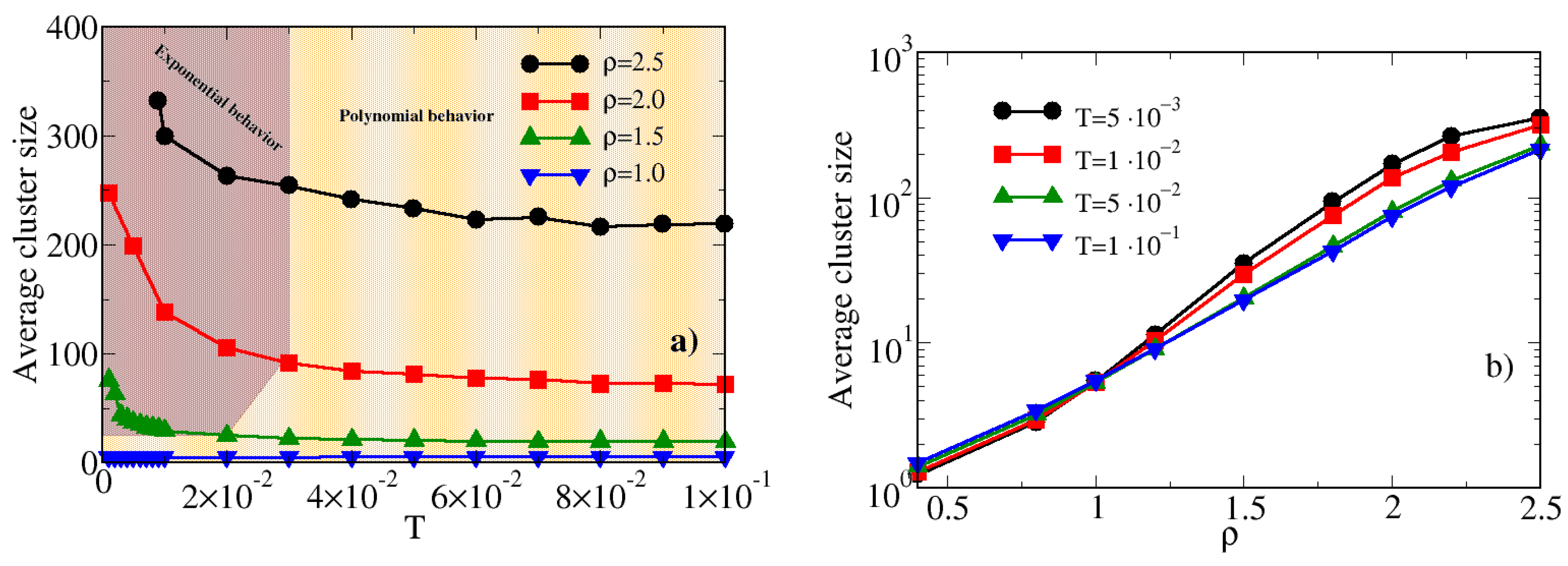
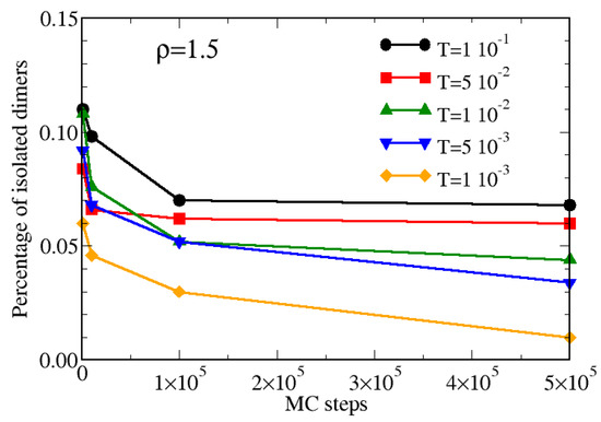
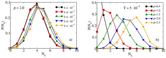
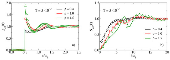
3. Results and Discussion
4. Conclusions
Author Contributions
Funding
Acknowledgments
Conflicts of Interest
References
- Stradner, A.; Sedgwick, H.; Cardinaux, F.; Poon, W.C.K.; Egelhaaf, S.U.; Schurtenberger, P. Equilibrium cluster formation in concentrated protein solutions and colloids. Nature 2004, 432, 492–495. [Google Scholar] [CrossRef] [PubMed]
- Glotzer, S.C.; Solomon, M.J. Dimensions in anisotropy space: Rationalizing buliding block complexity for assembly. Nat. Mater. 2007, 6, 557–562. [Google Scholar] [CrossRef] [PubMed]
- Hong, L.; Cacciuto, A.; Luijten, E.; Granick, S. Clusters of Amphiphilic Colloidal Spheres. Langmuir 2008, 24, 621–625. [Google Scholar] [CrossRef] [PubMed]
- Chen, Q.; Bae, S.C.; Granick, S. Directed self-assembly of a colloidal kagome lattice. Nature 2011, 469, 381–384. [Google Scholar] [CrossRef]
- Akcora, P.; Liu, H.; Kumar, S.K.; Moll, J.; Li, Y.; Benicewicz, B.C.; Schadler, L.S.; Acechin, D.; Panagiotopoulos, A.Z.; Pryamitsyn, V.; et al. Anisotropic self-assembly of spherical polymer-grafted nanoparticles. Nat. Mater. 2009, 8, 354–359. [Google Scholar] [CrossRef]
- Chevigny, C.; Dalmas, F.; Di Cola, E.; Gigmes, D.; Bertin, D.; Boue, F.; Jestin, J. Polymer-Grafted-Nanoparticles Nanocomposites: Dispersion, Grafted Chain Conformation, and Rheological Behavior. Macromolecules 2011, 44, 122. [Google Scholar] [CrossRef]
- Starr, F.W.; Douglas, J.F.; Glotzer, S.C. Origin of particle clustering in a simulated polymer nanocomposite and its impact on rheology. J. Chem. Phys. 2003, 119, 1777–1788. [Google Scholar] [CrossRef]
- McManus, J.J.; Charbonneau, P.; Zaccarelli, E.; Asherie, N. The physics of protein self-assembly. Curr. Opin. Colloid Interface Sci. 2016, 22, 73–79. [Google Scholar] [CrossRef]
- Fusco, D.; Charbonneau, P. Soft matter perspective on protein crystal assembly. Colloids Surf. B Biointerfaces 2016, 137, 22–31. [Google Scholar] [CrossRef]
- Panagiotopoulos, A.Z.; Floriano, M.A.; Kumar, S.K. Micellization and Phase Separation of Diblock and Triblock Model Surfactants. Langmuir 2002, 18, 2940–2948. [Google Scholar] [CrossRef]
- Salaniwal, S.; Kumar, S.K.; Panagiotopoulos, A.Z. Competing Ranges of Attractive and Repulsive Interactions in the Micellization of Model Surfactants. Langmuir 2003, 19, 5164–5168. [Google Scholar] [CrossRef]
- Darling, S.B. Directing the self-assembly of block copolymers. Prog. Polym. Sci. 2007, 32, 1152–1204. [Google Scholar] [CrossRef]
- Mai, Y.; Eisenberg, A. Self-assembly of block copolymers. Chem. Soc. Rev. 2012, 41, 5969–5985. [Google Scholar] [CrossRef] [PubMed]
- Lombardo, D.; Munaò, G.; Calandra, P.; Pasqua, L.; Caccamo, M.T. Evidence of pre-micellar aggregates in aqueous solution of amphiphilic PDMS-PEO block copolymer. Phys. Chem. Chem. Phys. 2019, 21, 11983–11991. [Google Scholar] [CrossRef] [PubMed]
- Bianchi, E.; Blaak, R.; Likos, C. Patchy colloids: State of the art and perspectives. Phys. Chem. Chem. Phys. 2011, 13, 6297–6410. [Google Scholar] [CrossRef] [PubMed]
- Hong, L.; Cacciuto, A.; Luijten, E.; Granick, S. Clusters of Charged Janus Spheres. Nano Lett. 2006, 6, 2510–2514. [Google Scholar] [CrossRef] [PubMed]
- Jiang, B.S.; Chen, Q.; Tripathy, M.; Luijten, E.; Schweizer, K.S.; Granick, S. Janus particle synthesis and assembly. Adv. Mater. 2010, 22, 1060. [Google Scholar] [CrossRef]
- Kraft, D.J.; Ni, R.; Smallenburg, F.; Hermes, M.; Yoon, K.; Weitz, D.A.; van Blaaderen, A.; Groenewold, J.; Dijkstra, M.; Kegel, W. Surface roughness directed self-assembly of patchy particles into colloidal micelles. Proc. Natl. Acad. Sci. USA 2012, 109, 10787–10792. [Google Scholar] [CrossRef]
- Kraft, D.J.; Hilhorst, J.; Heinen, M.A.P.; Hoogenraad, M.J.; Luigjes, B.; Kegel, W.K. Patchy polymer colloids with tunable anisotropy dimensions. J. Phys. Chem. B 2011, 115, 7175–7181. [Google Scholar] [CrossRef]
- Zhang, Z.; Glotzer, S.C. Self-assembly of patchy particles. Nano Lett. 2004, 4, 1407–1413. [Google Scholar] [CrossRef]
- Sciortino, F.; Giacometti, A.; Pastore, G. Phase Diagram of Janus Particles. Phys. Rev. Lett. 2009, 103, 237801. [Google Scholar] [CrossRef] [PubMed]
- Giacometti, A.; Lado, F.; Largo, J.; Pastore, G.; Sciortino, F. Effects of patch size and number within a simple model of patchy colloids. J. Chem. Phys. 2010, 132, 174110. [Google Scholar] [CrossRef] [PubMed]
- Whitelam, S.; Bon, S.A.F. Self-assembly of amphiphilic peanut-shaped nanoparticles. J. Chem. Phys. 2010, 132, 074901. [Google Scholar] [CrossRef] [PubMed]
- Avvisati, G.; Vissers, T.; Dijkstra, M. Self-Assembly of Patchy Colloidal Dumbbells. J. Chem. Phys. 2015, 142, 084905. [Google Scholar] [CrossRef] [PubMed]
- Wolters, J.R.; Verweij, J.E.; Avvisati, G.; Dijkstra, M.; Kegel, W.K. Depletion induced encapsulation by dumbbell-shaped patchy colloids stabilize microspheres against aggregation. Langmuir 2017, 33, 3270–3280. [Google Scholar] [CrossRef] [PubMed]
- Munaò, G.; Costa, D.; Prestipino, S.; Caccamo, C. Encapsulation of spherical nanoparticles by colloidal dimers. Phys. Chem. Chem. Phys. 2016, 18, 24922–24930. [Google Scholar] [CrossRef]
- Likos, C.N. Effective interactions in soft condensed matter physics. Phys. Rep. 2001, 348, 267–439. [Google Scholar] [CrossRef]
- De Oliveira, A.B.; Franzese, G.; Netz, P.A.; Barbosa, M.C. Waterlike hierarchy of anomalies in a continuous spherical shouldered potential. J. Chem. Phys. 2008, 128, 064901. [Google Scholar] [CrossRef]
- Buldyrev, S.V.; Malescio, G.; Angell, C.A.; Giovambattista, N.; Prestipino, S.; Saija, F.; Stanley, H.E.; Xu, L. Unusual phase behavior of one-component systems with two-scale isotropic interactions. J. Phys. Condens. Matter 2009, 21, 504106. [Google Scholar] [CrossRef]
- Munaò, G.; Saija, F. Density and structural anomalies in soft-repulsive dimeric fluids. Phys. Chem. Chem. Phys. 2016, 18, 9484–9489. [Google Scholar] [CrossRef][Green Version]
- Pàmies, J.C.; Cacciuto, A.; Frenkel, D. Phase diagram of Hertzian spheres. J. Chem. Phys. 2009, 131, 044514. [Google Scholar] [CrossRef] [PubMed]
- Gnan, N.; Rovigatti, L.; Bergman, M.J.; Zaccarelli, E. In Silico Synthesis of Microgel Particles. Macromolecules 2017, 50, 8777–8786. [Google Scholar] [CrossRef] [PubMed]
- Bergman, M.J.; Gnan, N.; Obiols-Rabasa, M.; Meijer, J.M.; Rovigatti, L.; Zaccarelli, E.; Schurtenberger, P. A new look at effective interactions between microgel particles. Nat. Commun. 2018, 9, 5039. [Google Scholar] [CrossRef] [PubMed]
- Rovigatti, L.; Gnan, N.; Ninarello, A.; Zaccarelli, E. Connecting Elasticity and Effective Interactions of Neutral Microgels: The Validity of the Hertzian Model. Macromolecules 2019, 52, 4895–4906. [Google Scholar] [CrossRef]
- Gnan, N.; Zaccarelli, E. The microscopic role of deformation in the dynamics of soft colloids. Nat. Phys. 2019, 15, 683–688. [Google Scholar] [CrossRef]
- Brito, M.E.; Denton, A.R.; Nägele, G. Modeling deswelling, thermodynamics, structure, and dynamics in ionic microgel suspensions. J. Chem. Phys. 2019, 151, 224901. [Google Scholar] [CrossRef]
- Li, Z.W.; Lu, Z.Y.; Sun, Z.Y.; An, L.J. Model, self-assembly structures, and phase diagrams of soft Janus particles. Soft Matter 2012, 8, 6693–6697. [Google Scholar] [CrossRef]
- Li, Z.W.; Lu, Z.Y.; Zhu, Y.L.; Sun, Z.Y.; An, L.J. A simulation model for soft triblock Janus particles andtheir ordered packing. RSC Adv. 2013, 3, 813–822. [Google Scholar] [CrossRef]
- Jones, R. Soft Condensed Matter; Oxford University Press: Oxford, UK, 2002. [Google Scholar]
- Skelhon, T.S.; Chen, Y.; Bon, S.A.F. Hierarchical self-assembly of ‘hard–soft’ Janus particles into colloidal molecules and larger supracolloidal structures. Soft Matter 2014, 10, 7730–7735. [Google Scholar] [CrossRef]
- Skelhon, T.S.; Chen, Y.; Bon, S.A.F. Synthesis of “Hard-Soft” Janus Particles by Seeded Dispersion Polymerization. Langmuir 2014, 30, 13525–13532. [Google Scholar] [CrossRef]
- Li, W.; Ravaine, S.; Duguet, E. Clustering of asymmetric dumbbell-shaped silica/polystyrene nanoparticles by solvent-induced self-assembly. J. Colloid Interface Sci 2019. [Google Scholar] [CrossRef] [PubMed]
- Chandler, D.; Andersen, H.C. Optimized Cluster Expansions for Classical Fluids. II. Theory of Molecular Liquids. J. Chem. Phys. 1972, 57, 1930–1937. [Google Scholar] [CrossRef]
- Munaò, G.; Costa, D.; Caccamo, C. Thermodynamically consistent reference interaction site model theory of the tangent diatomic fluid. Chem. Phys. Lett. 2009, 470, 240–243. [Google Scholar] [CrossRef][Green Version]
- Munaò, G.; Saija, F. Integral equation study of soft-repulsive dimeric fluids. J. Phys. Condens. Matter 2017, 29, 115101. [Google Scholar] [CrossRef] [PubMed]
- Khalatur, P.G.; Zherenkova, L.V.; Khokhlov, A.R. Aggregation of colloidal particles induced by polymer chains: The RISM integral equation theory. Physica A 1997, 247, 205–234. [Google Scholar] [CrossRef]
- Tripathy, M.; Schweizer, K.S. Theoretical study of the structure and assembly of janus rods. J. Phys. Chem. B 2013, 117, 373–384. [Google Scholar] [CrossRef]
- Pettitt, B.M.; Rossky, P.J. The contribution of hydrogen bonding to the structure of liquid methanol. J. Chem. Phys. 1983, 78, 7296–7299. [Google Scholar] [CrossRef]
- Yoshida, K.; Yamaguchi, T.; Kovalenko, A.; Hirata, F. Structure of tert-Butyl Alcohol-Water Mixtures Studied by the RISM Theory. J. Phys. Chem. B 2002, 106, 5042–5049. [Google Scholar] [CrossRef]
- Huš, M.; Munaò, G.; Urbic, T. Properties of a soft-core model of methanol: An integral equation theory and computer simulation study. J. Chem. Phys 2014, 141, 164505. [Google Scholar] [CrossRef]
- Kvamme, B. Thermodynamics properties and dielectric constants in water/methanol mixtures by integral equation theory and molecular dynamics simulations. Phys. Chem. Chem. Phys. 2002, 4, 942–948. [Google Scholar] [CrossRef]
- Munaò, G.; Costa, D.; Saija, F.; Caccamo, C. Simulation and reference interaction site model theory of methanol and carbon tetrachloride mixtures. J. Chem. Phys. 2010, 132, 084506. [Google Scholar] [CrossRef] [PubMed]
- Munaò, G.; Saija, F. Monte Carlo simulation and integral equation study of Hertzian spheres in the low-temperature regime. J. Chem. Phys. 2019, 151, 134901. [Google Scholar] [CrossRef] [PubMed]
- Fomin, Y.D.; Ryzhov, V.N.; Gribova, N.V. Breakdown of excess entropy scaling for systems with thermodynamic anomalies. Phys. Rev. E 2010, 81, 061201. [Google Scholar] [CrossRef] [PubMed]
- Hansen, J.P.; McDonald, I.R. Theory of simple liquids, 3rd ed.; Academic Press: New York, NY, USA, 2006. [Google Scholar]
- Rogers, F.J.; Young, D.A. New, thermodynamically consistent, integral equation for simple fluids. Phys. Rev. A 1984, 30, 999. [Google Scholar] [CrossRef]
- Vissers, T.; Smallenburg, F.; Munaò, G.; Preisler, Z.; Sciortino, F. Cooperative polymerization of one-patch colloids. J. Chem. Phys. 2014, 140, 144902. [Google Scholar] [CrossRef]
- Liu, Y.; Porcar, L.; Chen, W.R.; Falus, P.; Faraone, A.; Fratini, E.; Hong, K.; Baglioni, P. Lysozyme protein solution with an intermediate range order structure. J. Phys. Chem. B 2011, 115, 7238–7247. [Google Scholar] [CrossRef]
- Falus, P.; Porcar, L.; Fratini, E.; Chen, W.R.; Faraone, A.; Hong, K.; Baglioni, P.; Liu, Y. Distinguishing the monomer to cluster phase transition in concentrated lysozyme solutions by studying the temperature dependence of the short-time dynamics. J. Phys. Condens. Matter 2012, 24, 064114. [Google Scholar] [CrossRef][Green Version]
- Bomont, J.; Bretonnet, J.L.; Costa, D. Temperature study of cluster formation in two-Yukawa fluids. J. Chem. Phys. 2010, 132, 184508. [Google Scholar] [CrossRef]
- Bomont, J.; Bretonnet, J.L.; Costa, D.; Hansen, J.P. Communication: Thermodynamic signatures of cluster formation in fluids with competing interactions. J. Chem. Phys. 2012, 137, 011101. [Google Scholar] [CrossRef]
- Munaò, G.; Costa, D.; Giacometti, A.; Caccamo, C.; Sciortino, F. Structure and phase behavior of colloidal dumbbells with tunable attractive interactions. Phys. Chem. Chem. Phys. 2013, 15, 20590–20599. [Google Scholar] [CrossRef][Green Version]
- Nettleton, R.E.; Green, M.S. Expression in Terms of Molecular Distribution Functions for the Entropy Density in an Infinite System. J. Chem. Phys. 1958, 29, 1365–1370. [Google Scholar] [CrossRef]
- Sharma, R.; Agarwal, M.; Chakravarty, C. Estimating the entropy of liquids from atom–atom radial distribution functions: Silica, beryllium fluoride and water. Mol. Phys. 2008, 106, 1925–1938. [Google Scholar] [CrossRef]
- Saija, F.; Giaquinta, P.V. Statistical entropy of a binary hard-sphere mixture: The low-density limit. J. Phys. Condens. Matter 1996, 8, 8137. [Google Scholar] [CrossRef]
- Truskett, T.M.; Torquato, S.; Debenedetti, P.G. Towards a quantification of disorder in materials: Distinguishing equilibrium and glassy sphere packings. Phys. Rev. E 2000, 62, 993. [Google Scholar] [CrossRef]
- Munaò, G.; Costa, D.; Prestipino, S.; Caccamo, C. Aggregation of colloidal spheres mediated by Janus dimers: A Monte Carlo study. Colloids Surf. A Physicochem. Eng. Asp. 2017, 532C, 397–404. [Google Scholar] [CrossRef]
- Godfrin, P.D.; Castaneda-Priego, R.; Liu, Y.; Wagner, N.J. Intermediate range order and structure in colloidal dispersions with competing interactions. J. Chem. Phys. 2013, 139, 154904. [Google Scholar] [CrossRef]
- Godfrin, P.D.; Valadez-Perez, N.E.; Wagner, N.J.; Liu, Y. Generalized phase behavior of cluster formation in colloidal dispersions with competing interactions. Soft Matter 2014, 10, 5061–5071. [Google Scholar] [CrossRef]
- O’Toole, P.; Munaò, G.; Giacometti, A.; Hudson, T.S. Self-assembly behaviour of hetero-nuclear Janus dumbbells. Soft Matter 2017, 13, 7141–7153. [Google Scholar] [CrossRef]










© 2019 by the authors. Licensee MDPI, Basel, Switzerland. This article is an open access article distributed under the terms and conditions of the Creative Commons Attribution (CC BY) license (http://creativecommons.org/licenses/by/4.0/).
Share and Cite
Munaò, G.; Saija, F. Evidence of Structural Inhomogeneities in Hard-Soft Dimeric Particles without Attractive Interactions. Materials 2020, 13, 84. https://doi.org/10.3390/ma13010084
Munaò G, Saija F. Evidence of Structural Inhomogeneities in Hard-Soft Dimeric Particles without Attractive Interactions. Materials. 2020; 13(1):84. https://doi.org/10.3390/ma13010084
Chicago/Turabian StyleMunaò, Gianmarco, and Franz Saija. 2020. "Evidence of Structural Inhomogeneities in Hard-Soft Dimeric Particles without Attractive Interactions" Materials 13, no. 1: 84. https://doi.org/10.3390/ma13010084
APA StyleMunaò, G., & Saija, F. (2020). Evidence of Structural Inhomogeneities in Hard-Soft Dimeric Particles without Attractive Interactions. Materials, 13(1), 84. https://doi.org/10.3390/ma13010084

