Near Infrared-Activated Dye-Linked ZnO Nanoparticles Release Reactive Oxygen Species for Potential Use in Photodynamic Therapy
Abstract
1. Introduction
2. Results
2.1. Cell Viability
2.2. PEGylation
2.2.1. Dynamic Light Scattering
2.2.2. Scanning Electron Microscopy
2.2.3. Fourier Transform Infrared Spectroscopy
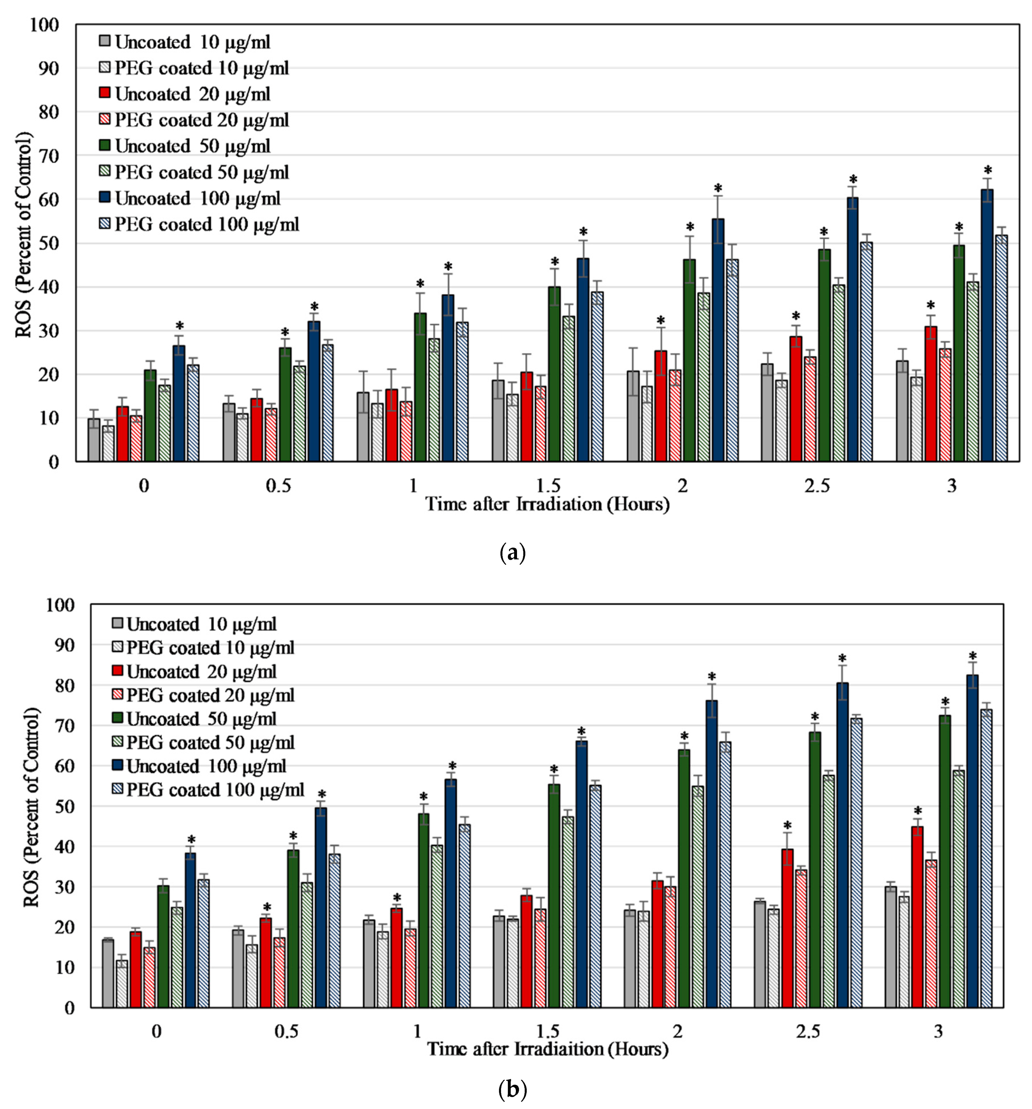
2.3. Production of ROS
2.4. Light Irradiation Time
2.5. Detection of ROS in Cells Exposed to Dye 847-ZnO Particles
2.6. In Vitro Toxicity on EXPOSURE to PHOTOSENSITIZER NPs and Light
3. Discussion
4. Materials and Methods
4.1. Cell Viability Assay
4.2. PEGylation
4.3. Particle Characterization
4.4. Production of ROS
4.4.1. Using NBT Oxidation Assay
4.4.2. DCFDA
4.5. Selection of Light Irradiation Time
4.6. Detection of ROS in HUVEC and MCF7 Cells Exposed to Dye 847-ZnO Particles
4.7. In Vitro Toxicity on Exposure to Photosensitizer NPs and Light
4.8. Statistical Analysis
5. Conclusions
Supplementary Materials
Author Contributions
Funding
Conflicts of Interest
References
- Gomes, A.; Fernandes, E.; Lima, J.L.F.C. Fluorescence probes used for detection of reactive oxygen species. J. Biochem. Biophys. Methods 2005, 65, 45–80. [Google Scholar] [CrossRef] [PubMed]
- Gupta, S.C.; Hevia, D.; Patchva, S.; Park, B.; Koh, W.; Aggarwal, B.B. Upsides and downsides of reactive oxygen species for cancer: The roles of reactive oxygen species in tumorigenesis, prevention, and therapy. Antioxid. Redox Signal. 2012, 16, 1295–1322. [Google Scholar] [CrossRef] [PubMed]
- Vatansever, F.; de Melo, W.C.M.A.; Avci, P.; Vecchio, D.; Sadasivam, M.; Gupta, A.; Chandran, R.; Karimi, M.; Parizotto, N.A.; Yin, R.; et al. Antimicrobial strategies centered around reactive oxygen species—Bactericidal antibiotics, photodynamic therapy, and beyond. FEMS Microbiol. Rev. 2013, 37, 955–989. [Google Scholar] [CrossRef] [PubMed]
- Chernyak, B.V.; Izyumov, D.S.; Lyamzaev, K.G.; Pashkovskaya, A.A.; Pletjushkina, O.Y.; Antonenko, Y.N.; Sakharov, D.V.; Wirtz, K.W.A.; Skulachev, V.P. Production of reactive oxygen species in mitochondria of HeLa cells under oxidative stress. Biochim. Biophys. Acta BBA Bioenerg. 2006, 1757, 525–534. [Google Scholar] [CrossRef] [PubMed]
- Sena, L.A.; Chandel, N.S. Physiological roles of mitochondrial reactive oxygen species. Mol. Cell 2012, 48, 158–167. [Google Scholar] [CrossRef]
- Held, P. An introduction to reactive oxygen species. Technol. Resour. Appl. Guid. 2012, 802, 5–9. [Google Scholar]
- Ito, H.; Matsui, H. Mitochondrial reactive oxygen species and photodynamic therapy. LASER Ther. 2016, 25, 193–199. [Google Scholar] [CrossRef]
- Kolarova, H.; Nevrelova, P.; Tomankova, K.; Kolar, P.; Bajgar, R.; Mosinger, J. Production of reactive oxygen species after photodynamic therapy by porphyrin sensitizers. Gen. Physiol. Biophys. 2008, 27, 101. [Google Scholar]
- Zhou, Z.; Song, J.; Nie, L.; Chen, X. Reactive oxygen species generating systems meeting challenges of photodynamic cancer therapy. Chem. Soc. Rev. 2016, 45, 6597–6626. [Google Scholar] [CrossRef]
- Ogawara, K.; Higaki, K. Nanoparticle-based photodynamic therapy: current status and future application to improve outcomes of cancer treatment. Chem. Pharm. Bull. 2017, 65, 637–641. [Google Scholar] [CrossRef]
- Kataoka, H.; Nishie, H.; Hayashi, N.; Tanaka, M.; Nomoto, A.; Yano, S.; Joh, T. New photodynamic therapy with next-generation photosensitizers. Ann. Transl. Med. 2017, 5, 183. [Google Scholar] [CrossRef] [PubMed]
- Agostinis, P.; Berg, K.; Cengel, K.A.; Foster, T.H.; Girotti, A.W.; Gollnick, S.O.; Hahn, S.M.; Hamblin, M.R.; Juzeniene, A.; Kessel, D.; et al. Photodynamic therapy of cancer: An update. CA Cancer J. Clin. 2011, 61, 250–281. [Google Scholar] [CrossRef] [PubMed]
- Agbavwe, C.; Somoza, M.M. Sequence-dependent fluorescence of cyanine dyes on microarrays. PLoS ONE 2011, 6, e22177. [Google Scholar] [CrossRef] [PubMed]
- Moserova, I.; Kralova, J. Role of ER stress response in photodynamic therapy: ROS generated in different subcellular compartments trigger diverse cell death pathways. PLoS ONE 2012, 7, e32972. [Google Scholar] [CrossRef] [PubMed]
- Abdal Dayem, A.; Hossain, M.; Lee, S.; Kim, K.; Saha, S.; Yang, G.-M.; Choi, H.; Cho, S.-G. The role of reactive oxygen species (ROS) in the biological activities of metallic nanoparticles. Int. J. Mol. Sci. 2017, 18, 120. [Google Scholar] [CrossRef]
- Xu, H.; Zhang, R.Q.; Zhang, X.; Rosa, A.L.; Frauenheim, T. Structural and electronic properties of ZnO nanotubes from density functional calculations. Nanotechnology 2007, 18, 485713. [Google Scholar] [CrossRef]
- Xi, Y.; Song, J.; Xu, S.; Yang, R.; Gao, Z.; Hu, C.; Wang, Z.L. Growth of ZnO nanotube arrays and nanotube based piezoelectric nanogenerators. J. Mater. Chem. 2009, 19, 9260. [Google Scholar] [CrossRef]
- Soomro, M.Y.; Hussain, I.; Bano, N.; Lu, J.; Hultman, L.; Nur, O.; Willander, M. Growth, structural and optical characterization of ZnO nanotubes on disposable-flexible paper substrates by low-temperature chemical method. J. Nanotechnol. 2012, 2012, 1–6. [Google Scholar] [CrossRef]
- Yi, G.-C.; Wang, C.; Park, W.I. ZnO nanorods: Synthesis, characterization and applications. Semicond. Sci. Technol. 2005, 20, S22–S34. [Google Scholar] [CrossRef]
- Liu, Y.; Liu, Z.; Wang, G. Synthesis and characterization of ZnO nanorods. J. Cryst. Growth 2003, 252, 213–218. [Google Scholar] [CrossRef]
- Cui, J. Zinc oxide nanowires. Mater. Charact. 2012, 64, 43–52. [Google Scholar] [CrossRef]
- Zhang, Y.; Ram, M.K.; Stefanakos, E.K.; Goswami, D.Y. Synthesis, characterization, and applications of ZnO nanowires. J. Nanomater. 2012, 2012, 1–22. [Google Scholar] [CrossRef]
- Wang, X.; Song, J.; Wang, Z.L. Nanowire and nanobelt arrays of zinc oxide from synthesis to properties and to novel devices. J. Mater. Chem. 2007, 17, 711. [Google Scholar] [CrossRef]
- Xi, Y.; Hu, C.G.; Han, X.Y.; Xiong, Y.F.; Gao, P.X.; Liu, G.B. Hydrothermal synthesis of ZnO nanobelts and gas sensitivity property. Solid State Commun. 2007, 141, 506–509. [Google Scholar] [CrossRef]
- Kumar, S.S.; Venkateswarlu, P.; Rao, V.R.; Rao, G.N. Synthesis, characterization and optical properties of zinc oxide nanoparticles. Int. Nano Lett. 2013, 3, 30. [Google Scholar] [CrossRef]
- Zhang, Y.; Nayak, T.R.; Hong, H.; Cai, W. Biomedical Applications of Zinc Oxide Nanomaterials. Curr. Mol. Med. 2013, 13, 1633–1645. [Google Scholar] [CrossRef]
- Yang, P.; Yan, R.; Fardy, M. Semiconductor nanowire: What’s next? Nano Lett. 2010, 10, 1529–1536. [Google Scholar] [CrossRef]
- Wang, Z.L. Splendid One-dimensional nanostructures of zinc oxide: A new nanomaterial family for nanotechnology. ACS Nano 2008, 2, 1987–1992. [Google Scholar] [CrossRef]
- Punnoose, A.; Dodge, K.; Rasmussen, J.W.; Chess, J.; Wingett, D.; Anders, C. Cytotoxicity of ZnO nanoparticles can be tailored by modifying their surface structure: A green chemistry approach for safer nanomaterials. ACS Sustain. Chem. Eng. 2014, 2, 1666–1673. [Google Scholar] [CrossRef]
- Christian, P.; von der Kammer, F.; Baalousha, M.; Hofmann, T. Nanoparticles: Structure, properties, preparation and behaviour in environmental media. Ecotoxicology 2008, 17, 326–343. [Google Scholar] [CrossRef]
- Xiong, H.-M. ZnO Nanoparticles applied to bioimaging and drug delivery. Adv. Mater. 2013, 25, 5329–5335. [Google Scholar] [CrossRef] [PubMed]
- Raliya, R.; Singh Chadha, T.; Haddad, K.; Biswas, P. Perspective on nanoparticle technology for biomedical use. Curr. Pharm. Des. 2016, 22, 2481–2490. [Google Scholar] [CrossRef] [PubMed]
- Bhunia, A.K. ZnO nanoparticles: Recent biomedical applications and interaction with proteins. Curr. Trends Biomed. Eng. Biosci. 2017, 6, 1. [Google Scholar] [CrossRef][Green Version]
- Rasmussen, J.W.; Martinez, E.; Louka, P.; Wingett, D.G. Zinc oxide nanoparticles for selective destruction of tumor cells and potential for drug delivery applications. Exp. Opin. Drug Deliv. 2010, 7, 1063–1077. [Google Scholar] [CrossRef] [PubMed]
- McNamara, K.; Tofail, S.A.M. Nanoparticles in biomedical applications. Adv. Phys. X 2017, 2, 54–88. [Google Scholar] [CrossRef]
- Skorenko, K.; Bernier, R.T.; Liu, J.; Galusha, B.; Goroleski, F.; Hughes, B.P.; Bernier, W.E.; Jones, W.E. Thermal stability of ZnO nanoparticle bound organic chromophores. Dyes Pigment. 2016, 131, 69–75. [Google Scholar] [CrossRef]
- Murakami, L.S.; Ferreira, L.P.; Santos, J.S.; da Silva, R.S.; Nomizo, A.; Kuz’min, V.A.; Borissevitch, I.E. Photocytotoxicity of a cyanine dye with two chromophores toward melanoma and normal cells. Biochim. Biophys. Acta BBA Gen. Subj. 2015, 1850, 1150–1157. [Google Scholar] [CrossRef] [PubMed]
- Huang, Z. A review of progress in clinical photodynamic therapy. Technol. Cancer Res. Treat. 2005, 4, 283–293. [Google Scholar] [CrossRef]
- Mallidi, S.; Anbil, S.; Bulin, A.-L.; Obaid, G.; Ichikawa, M.; Hasan, T. Beyond the barriers of light penetration: strategies, perspectives and possibilities for photodynamic therapy. Theranostics 2016, 6, 2458–2487. [Google Scholar] [CrossRef]
- Qiu, H.; Tan, M.; Ohulchanskyy, T.; Lovell, J.; Chen, G. Recent progress in upconversion photodynamic therapy. Nanomaterials 2018, 8, 344. [Google Scholar] [CrossRef] [PubMed]
- Kang, T.; Guan, R.; Song, Y.; Lyu, F.; Ye, X.; Jiang, H. Cytotoxicity of zinc oxide nanoparticles and silver nanoparticles in human epithelial colorectal adenocarcinoma cells. LWT 2015, 60, 1143–1148. [Google Scholar] [CrossRef]
- Khan, M.; Naqvi, A.H.; Ahmad, M. Comparative study of the cytotoxic and genotoxic potentials of zinc oxide and titanium dioxide nanoparticles. Toxicol. Rep. 2015, 2, 765–774. [Google Scholar] [CrossRef] [PubMed]
- Heng, B.C.; Zhao, X.; Xiong, S.; Ng, K.W.; Boey, F.Y.-C.; Loo, J.S.-C. Cytotoxicity of zinc oxide (ZnO) nanoparticles is influenced by cell density and culture format. Arch. Toxicol. 2011, 85, 695–704. [Google Scholar] [CrossRef] [PubMed]
- Baek, M.; Kim, M.K.; Cho, H.J.; Lee, J.A.; Yu, J.; Chung, H.E.; Choi, S.J. Factors influencing the cytotoxicity of zinc oxide nanoparticles: particle size and surface charge. J. Phys. Conf. Ser. 2011, 304, 012044. [Google Scholar] [CrossRef]
- Shen, C.; James, S.A.; de Jonge, M.D.; Turney, T.W.; Wright, P.F.A.; Feltis, B.N. Relating cytotoxicity, zinc ions, and reactive oxygen in ZnO nanoparticle–exposed human immune cells. Toxicol. Sci. 2013, 136, 120–130. [Google Scholar] [CrossRef]
- Han, Z.; Yan, Q.; Ge, W.; Liu, Z.-G.; Gurunathan, S.; De Felici, M.; Shen, W.; Zhang, X.-F. Cytotoxic effects of ZnO nanoparticles on mouse testicular cells. Int. J. Nanomed. 2016, 11, 5187–5203. [Google Scholar] [CrossRef]
- Girigoswami, K.; Viswanathan, M.; Murugesan, R.; Girigoswami, A. Studies on polymer-coated zinc oxide nanoparticles: UV-blocking efficacy and in vivo toxicity. Mater. Sci. Eng. C 2015, 56, 501–510. [Google Scholar] [CrossRef]
- Raisi Dehkourdi, B.; Fatahian, S.; Shahanipoor, K. Synthesis, characterization and renal toxicity of ZnO and polyethylene glycol coated ZnO nanoparticles. Nanomedicine J. 2017, 4, 55–60. [Google Scholar]
- Cu, Y.; Saltzman, W.M. Controlled surface modification with poly(ethylene)glycol enhances diffusion of PLGA nanoparticles in human cervical mucus. Mol. Pharm. 2009, 6, 173–181. [Google Scholar] [CrossRef]
- Pelaz, B.; del Pino, P.; Maffre, P.; Hartmann, R.; Gallego, M.; Rivera-Fernández, S.; de la Fuente, J.M.; Nienhaus, G.U.; Parak, W.J. Surface functionalization of nanoparticles with polyethylene glycol: Effects on protein adsorption and cellular uptake. ACS Nano 2015, 9, 6996–7008. [Google Scholar] [CrossRef]
- Rahim, S.; Sasani Ghamsari, M.; Radiman, S. Surface modification of titanium oxide nanocrystals with PEG. Sci. Iran. 2012, 19, 948–953. [Google Scholar] [CrossRef]
- Mano, S.S.; Kanehira, K.; Sonezaki, S.; Taniguchi, A. Effect of polyethylene glycol modification of TiO2 nanoparticles on cytotoxicity and gene expressions in human cell lines. Int. J. Mol. Sci. 2012, 13, 3703–3717. [Google Scholar] [CrossRef] [PubMed]
- Tedja, R.; Soeriyadi, A.H.; Whittaker, M.R.; Lim, M.; Marquis, C.; Boyer, C.; Davis, T.P.; Amal, R. Effect of TiO2 nanoparticle surface functionalization on protein adsorption, cellular uptake and cytotoxicity: The attachment of PEG comb polymers using catalytic chain transfer and thiol–ene chemistry. Polym. Chem. 2012, 3, 2743. [Google Scholar] [CrossRef]
- Nabiyouni, G.; Barati, A.; Saadat, M. Surface adsorption of polyethylene glycol and polyvinyl alcohol with variable molecular weights on zinc oxide nanoparticles. Iran. J. Chem. Eng. 2011, 8, 21. [Google Scholar]
- Moczko, E.; Guerreiro, A.; Piletska, E.; Piletsky, S. PEG-stabilized core–shell surface-imprinted nanoparticles. Langmuir 2013, 29, 9891–9896. [Google Scholar] [CrossRef] [PubMed]
- Yu, M.; Huang, S.; Yu, K.J.; Clyne, A.M. Dextran and polymer polyethylene glycol (PEG) coating reduce both 5 and 30 nm iron oxide nanoparticle cytotoxicity in 2D and 3D cell culture. Int. J. Mol. Sci. 2012, 13, 5554–5570. [Google Scholar] [CrossRef]
- Froehlich, E.; Mandeville, J.S.; Arnold, D.; Kreplak, L.; Tajmir-Riahi, H.A. Effect of PEG and mPEG-anthracene on tRNA aggregation and particle formation. Biomacromolecules 2012, 13, 282–287. [Google Scholar] [CrossRef]
- Jokerst, J.V.; Lobovkina, T.; Zare, R.N.; Gambhir, S.S. Nanoparticle PEGylation for imaging and therapy. Nanomedicine 2011, 6, 715–728. [Google Scholar] [CrossRef]
- Xu, Q.; Ensign, L.M.; Boylan, N.J.; Schön, A.; Gong, X.; Yang, J.-C.; Lamb, N.W.; Cai, S.; Yu, T.; Freire, E.; et al. Impact of surface polyethylene glycol (PEG) density on biodegradable nanoparticle transport in mucus ex vivo and distribution in vivo. ACS Nano 2015, 9, 9217–9227. [Google Scholar] [CrossRef]
- Perry, J.L.; Reuter, K.G.; Kai, M.P.; Herlihy, K.P.; Jones, S.W.; Luft, J.C.; Napier, M.; Bear, J.E.; DeSimone, J.M. PEGylated PRINT nanoparticles: The impact of PEG density on protein binding, macrophage association, biodistribution, and pharmacokinetics. Nano Lett. 2012, 12, 5304–5310. [Google Scholar] [CrossRef]
- Chithrani, D.B. Polyethylene glycol density and length affects nanoparticle uptake by cancer cells. J. Nanomed. Res. 2014, 1, 1. [Google Scholar] [CrossRef]
- Suk, J.S.; Xu, Q.; Kim, N.; Hanes, J.; Ensign, L.M. PEGylation as a strategy for improving nanoparticle-based drug and gene delivery. Adv. Drug Deliv. Rev. 2016, 99, 28–51. [Google Scholar] [CrossRef] [PubMed]
- Wu, D.; Yotnda, P. Production and Detection of Reactive Oxygen Species (ROS) in Cancers. J. Vis. Exp. 2011, 57, 3357. [Google Scholar] [CrossRef]
- Kolárova, H.; Bajgar, R.; Tománková, K.; Krestýn, E.; Doležal, L. In vitro Study of Reactive Oxygen Species Production during Photodynamic Therapy in Ultrasound-Pretreated Cancer Cells. Physiol. Res. 2007, 56, 6. [Google Scholar]
- Giannousi, K.; Hatzivassiliou, E.; Mourdikoudis, S.; Vourlias, G.; Pantazaki, A.; Dendrinou-Samara, C. Synthesis and biological evaluation of PEGylated CuO nanoparticles. J. Inorg. Biochem. 2016, 164, 82–90. [Google Scholar] [CrossRef] [PubMed]
- Tunc, O.; Thompson, J.; Tremellen, K. Development of the NBT assay as a marker of sperm oxidative stress: NBT assay of sperm oxidative stress. Int. J. Androl. 2010, 33, 13–21. [Google Scholar] [CrossRef]
- Zhong, G.; Yang, X.; Jiang, X.; Kumar, A.; Long, H.; Xie, J.; Zheng, L.; Zhao, J. Dopamine-melanin nanoparticles scavenge reactive oxygen and nitrogen species and activate autophagy for osteoarthritis therapy. Nanoscale 2019, 11, 11605–11616. [Google Scholar] [CrossRef] [PubMed]
- Dubey, A.; Goswami, M.; Yadav, K.; Chaudhary, D. Oxidative stress and nano-toxicity induced by TiO2 and ZnO on WAG cell line. PLoS ONE 2015, 10, e0127493. [Google Scholar] [CrossRef] [PubMed]
- He, P.; Bo, S.; Chung, P.-S.; Ahn, J.-C.; Zhou, L. Photosensitizer effect of 9-hydroxypheophorbide α on diode laser-irradiated laryngeal cancer cells: Oxidative stress-directed cell death and migration suppression. Oncol. Lett. 2016, 12, 1889–1895. [Google Scholar] [CrossRef]
- Chithrani, B.D.; Ghazani, A.A.; Chan, W.C.W. Determining the size and shape dependence of gold nanoparticle uptake into mammalian cells. Nano Lett. 2006, 6, 662–668. [Google Scholar] [CrossRef] [PubMed]
- Walkey, C.D.; Olsen, J.B.; Guo, H.; Emili, A.; Chan, W.C.W. Nanoparticle size and surface chemistry determine serum protein adsorption and macrophage uptake. J. Am. Chem. Soc. 2012, 134, 2139–2147. [Google Scholar] [CrossRef] [PubMed]
- Neamtu, M.; Nadejde, C.; Hodoroaba, V.-D.; Schneider, R.J.; Verestiuc, L.; Panne, U. Functionalized magnetic nanoparticles: Synthesis, characterization, catalytic application and assessment of toxicity. Sci. Rep. 2018, 8, 6278. [Google Scholar] [CrossRef] [PubMed]
- Patlolla, A.K.; Shinde, A.K.; Tchounwou, P.B. A comparison of poly-ethylene-glycol-coated and uncoated gold nanoparticle-mediated hepatotoxicity and oxidative stress in Sprague Dawley rats. Int. J. Nanomed. 2019, 14, 639–647. [Google Scholar] [CrossRef] [PubMed]
- Mohammadi, M.R.; Malkovskiy, A.V.; Jothimuthu, P.; Kim, K.-M.; Parekh, M.; Inayathullah, M.; Zhuge, Y.; Rajadas, J. PEG/dextran double layer influences Fe ion release and colloidal stability of iron oxide nanoparticles. Sci. Rep. 2018, 8, 4286. [Google Scholar] [CrossRef] [PubMed]
- Nguyen, H.T.; Shen, H. The effect of PEGylation on the stimulation of IL-1β by gold (Au) nanoshell/silica core nanoparticles. J. Mater. Chem. B 2016, 4, 1650–1659. [Google Scholar] [CrossRef] [PubMed]
- Popp, L.; Segatori, L. Differential autophagic responses to nano-sized materials. Curr. Opin. Biotechnol. 2015, 36, 129–136. [Google Scholar] [CrossRef] [PubMed]
- Peynshaert, K.; Manshian, B.B.; Joris, F.; Braeckmans, K.; De Smedt, S.C.; Demeester, J.; Soenen, S.J. Exploiting intrinsic nanoparticle toxicity: The pros and cons of nanoparticle-induced autophagy in biomedical research. Chem. Rev. 2014, 114, 7581–7609. [Google Scholar] [CrossRef] [PubMed]
- Moosavi, M.A.; Sharifi, M.; Ghafary, S.M.; Mohammadalipour, Z.; Khataee, A.; Rahmati, M.; Hajjaran, S.; Łos, M.J.; Klonisch, T.; Ghavami, S. Photodynamic N-TiO2 Nanoparticle Treatment Induces Controlled ROS-mediated Autophagy and Terminal Differentiation of Leukemia Cells. Sci. Rep. 2016, 6, 34413. [Google Scholar] [CrossRef]
- Ahamed, M.; Akhtar, J.; Kumar, M.; Khan, A.; Alrokayan, A. Zinc oxide nanoparticles selectively induce apoptosis in human cancer cells through reactive oxygen species. Int. J. Nanomed. 2012, 7, 845. [Google Scholar] [CrossRef]
- Paino, I.M.M.; Gonçalves, F.J.; Souza, F.L.; Zucolotto, V. Zinc oxide flower-like nanostructures that exhibit enhanced toxicology effects in cancer cells. ACS Appl. Mater. Interf. 2016, 8, 32699–32705. [Google Scholar] [CrossRef]
- Doiron, A.L.; Clark, B.; Rinker, K.D. Endothelial nanoparticle binding kinetics are matrix and size dependent. Biotechnol. Bioeng. 2011, 108, 2988–2998. [Google Scholar] [CrossRef] [PubMed]
- Tenzer, S.; Docter, D.; Rosfa, S.; Wlodarski, A.; Kuharev, J.; Rekik, A.; Knauer, S.K.; Bantz, C.; Nawroth, T.; Bier, C.; et al. Nanoparticle size is a critical physicochemical determinant of the human blood plasma corona: A comprehensive quantitative proteomic analysis. ACS Nano 2011, 5, 7155–7167. [Google Scholar] [CrossRef] [PubMed]
- Lin, J.; Wan, M.T. Current evidence and applications of photodynamic therapy in dermatology. Clin. Cosmet. Investig. Dermatol. 2014, 7, 145. [Google Scholar] [CrossRef] [PubMed]
- Brancaleon, L.; Moseley, H. Laser and non-laser light sources for photodynamic therapy. Lasers Med. Sci. 2002, 17, 173–186. [Google Scholar] [CrossRef] [PubMed]
- Cantisani, C.; Paolino, G.; Faina, V.; Frascani, F.; Cantoresi, F.; Bianchini, D.; Fazia, G.; Calvieri, S. Overview on topical 5-ALA photodynamic therapy use for non melanoma skin cancers. Int. J. Photoenergy 2014, 2014, 1–7. [Google Scholar] [CrossRef]
- Sorbellini, E.; Rucco, M.; Rinaldi, F. Photodynamic and photobiological effects of light-emitting diode (LED) therapy in dermatological disease: An update. Lasers Med. Sci. 2018, 33, 1431–1439. [Google Scholar] [CrossRef]
- Liu, W.; Cai, H. Photodynamic Therapy. In Photomedicine—Advances in Clinical Practice; Tanaka, Y., Ed.; InTech: London, UK, 2017. [Google Scholar]
- Clement, S.; Deng, W.; Camilleri, E.; Wilson, B.C.; Goldys, E.M. X-ray induced singlet oxygen generation by nanoparticle-photosensitizer conjugates for photodynamic therapy: Determination of singlet oxygen quantum yield. Sci. Rep. 2016, 6, 19954. [Google Scholar] [CrossRef]
- Montcel, B.; Mahieu-Williame, L.; Armoiry, X.; Meyronet, D.; Guyotat, J. Two-peaked 5-ALA-induced PpIX fluorescence emission spectrum distinguishes glioblastomas from low grade gliomas and infiltrative component of glioblastomas. Biomed. Opt. Express 2013, 4, 548. [Google Scholar] [CrossRef]
- Wang, P.; Qin, F.; Zhang, Z.; Cao, W. Quantitative monitoring of the level of singlet oxygen using luminescence spectra of phosphorescent photosensitizer. Opt. Express 2015, 23, 22991. [Google Scholar] [CrossRef]
- Antaris, A.L.; Chen, H.; Diao, S.; Ma, Z.; Zhang, Z.; Zhu, S.; Wang, J.; Lozano, A.X.; Fan, Q.; Chew, L.; et al. A high quantum yield molecule-protein complex fluorophore for near-infrared II imaging. Nat. Commun. 2017, 8, 15269. [Google Scholar] [CrossRef]
- Jiao, L.; Song, F.; Cui, J.; Peng, X. A near-infrared heptamethine aminocyanine dye with a long-lived excited triplet state for photodynamic therapy. Chem. Commun. 2018, 54, 9198–9201. [Google Scholar] [CrossRef] [PubMed]
- Rotermund, F.; Weigand, R.; Holzer Wittmann, M.; Penzkofer, A. Fluorescence spectroscopic analysis of indocyanine green J aggregates in water. J. Photochem. Photobiol. Chem. 1997, 110, 75–78. [Google Scholar] [CrossRef]
- Chen, Y.-C.; Chen, Q.; Fan, X. Lasing in blood. Optica 2016, 3, 809. [Google Scholar] [CrossRef]
- Russin, T.J.; Altinoğlu, E.I.; Adair, J.H.; Eklund, P.C. Measuring the fluorescent quantum efficiency of indocyanine green encapsulated in nanocomposite particulates. J. Phys. Condens. Matter 2010, 22, 334217. [Google Scholar] [CrossRef] [PubMed]
- Ng, C.T.; Yong, L.Q.; Hande, M.P.; Ong, C.N.; Yu, L.; Bay, B.H.; Baeg, G.H. Zinc oxide nanoparticles exhibit cytotoxicity and genotoxicity through oxidative stress responses in human lung fibroblasts and Drosophila melanogaster. Int. J. Nanomed. 2017, 12, 1621–1637. [Google Scholar] [CrossRef] [PubMed]
- Kang, T.; Guan, R.; Chen, X.; Song, Y.; Jiang, H.; Zhao, J. In vitro toxicity of different-sized ZnO nanoparticles in Caco-2 cells. Nanoscale Res. Lett. 2013, 8, 496. [Google Scholar] [CrossRef]
- Liu, Y.; Rogel, N.; Harada, K.; Jarett, L.; Maiorana, C.H.; German, G.K.; Mahler, G.J.; Doiron, A.L. Nanoparticle size-specific actin rearrangement and barrier dysfunction of endothelial cells. Nanotoxicology 2017, 11, 846–856. [Google Scholar] [CrossRef]
- Bjugstad, K.B.; Lampe, K.; Kern, D.S.; Mahoney, M. Biocompatibility of poly(ethylene glycol)-based hydrogels in the brain: An analysis of the glial response across space and time. J. Biomed. Mater. Res. A 2010, 95, 79–91. [Google Scholar] [CrossRef]
- Kubiak, T. Wykorzystanie pokryć z poli (glikolu etylenowego) i chitozanu do zapewnienia biokompatybilności nanocząstkom w aplikacjach biomedycznych. Polim. Med. 2014, 44, 119–127. [Google Scholar]
- Sun, C.; Du, K.; Fang, C.; Bhattarai, N.; Veiseh, O.; Kievit, F.; Stephen, Z.; Lee, D.; Ellenbogen, R.G.; Ratner, B.; et al. PEG-mediated synthesis of highly dispersive multifunctional superparamagnetic nanoparticles: Their physicochemical properties and function in vivo. ACS Nano 2010, 4, 2402–2410. [Google Scholar] [CrossRef]
- Xu, H.; Yan, F.; Monson, E.E.; Kopelman, R. Room-temperature preparation and characterization of poly (ethylene glycol)-coated silica nanoparticles for biomedical applications. J. Biomed. Mater. Res. A 2003, 66, 870–879. [Google Scholar] [CrossRef] [PubMed]
- Schipper, M.L.; Iyer, G.; Koh, A.L.; Cheng, Z.; Ebenstein, Y.; Aharoni, A.; Keren, S.; Bentolila, L.A.; Li, J.; Rao, J.; et al. Particle size, surface coating, and PEGylation influence the biodistribution of quantum dots in living mice. Small 2009, 5, 126–134. [Google Scholar] [CrossRef] [PubMed]
- Maisel, K.; Reddy, M.; Xu, Q.; Chattopadhyay, S.; Cone, R.; Ensign, L.M.; Hanes, J. Nanoparticles coated with high molecular weight PEG penetrate mucus and provide uniform vaginal and colorectal distribution in vivo. Nanomedicine 2016, 11, 1337–1343. [Google Scholar] [CrossRef] [PubMed]
- Ayala, V.; Herrera, A.P.; Latorre-Esteves, M.; Torres-Lugo, M.; Rinaldi, C. Effect of surface charge on the colloidal stability and in vitro uptake of carboxymethyl dextran-coated iron oxide nanoparticles. J. Nanoparticle Res. 2013, 15, 8. [Google Scholar] [CrossRef]
- Yoo, E.; Cheng, H.A.; Nardacci, L.E.; Beaman, D.J.; Drinnan, C.T.; Lee, C.; Fishbein, K.W.; Spencer, R.G.; Fisher, O.Z.; Doiron, A.L. Activatable interpolymer complex-superparamagnetic iron oxide nanoparticles as magnetic resonance contrast agents sensitive to oxidative stress. Colloids Surf. B Biointerf. 2017, 158, 578–588. [Google Scholar] [CrossRef]








| Sample | Diameter (nm) | PdI | Zeta Potential (mV) | |
|---|---|---|---|---|
| No PEG | 4 h sonication | 418.6 ± 192 | 0.44 | −47.8 ± 20 |
| 6 h sonication | 284.2 ± 128.6 | 0.41 | −50.7 ± 15.2 | |
| With PEG | 2 min vortex | 751.5 ± 238.1 | 0.53 | −41.1 ± 13.2 |
| 15 min sonication | 435.1 ± 169 | 0.47 | −39.3 ± 18.8 | |
| 30 min sonication | 346.5 ± 147.8 | 0.45 | −36.8 ± 19.8 | |
| With PEG, Centrifugation | 2 min vortex | 819.57 ± 54.6 | 0.57 | −50.5 ± 16.8 |
| 15 min sonication | 379.5 ± 142.7 | 0.38 | −53.7 ± 11.4 | |
| 30 min sonication | 292.9 ± 98.2 | 0.39 | 53.16 ± 11.5 | |
| With PEG, Dialysis | 2 min vortex | 675.2 ± 212.3 | 0.47 | 34.5 ± 7.9 |
| 15 min sonication | 365.2 ± 99.1 | 0.46 | 31.3 ± 6.9 | |
| 30 min sonication | 217.8 ± 82.9 | 0.29 | 33.9 ± 9.5 | |
© 2019 by the authors. Licensee MDPI, Basel, Switzerland. This article is an open access article distributed under the terms and conditions of the Creative Commons Attribution (CC BY) license (http://creativecommons.org/licenses/by/4.0/).
Share and Cite
Nagi, J.S.; Skorenko, K.; Bernier, W.; Jones, W.E.; Doiron, A.L. Near Infrared-Activated Dye-Linked ZnO Nanoparticles Release Reactive Oxygen Species for Potential Use in Photodynamic Therapy. Materials 2020, 13, 17. https://doi.org/10.3390/ma13010017
Nagi JS, Skorenko K, Bernier W, Jones WE, Doiron AL. Near Infrared-Activated Dye-Linked ZnO Nanoparticles Release Reactive Oxygen Species for Potential Use in Photodynamic Therapy. Materials. 2020; 13(1):17. https://doi.org/10.3390/ma13010017
Chicago/Turabian StyleNagi, Jaspreet Singh, Kenneth Skorenko, William Bernier, Wayne E. Jones, and Amber L. Doiron. 2020. "Near Infrared-Activated Dye-Linked ZnO Nanoparticles Release Reactive Oxygen Species for Potential Use in Photodynamic Therapy" Materials 13, no. 1: 17. https://doi.org/10.3390/ma13010017
APA StyleNagi, J. S., Skorenko, K., Bernier, W., Jones, W. E., & Doiron, A. L. (2020). Near Infrared-Activated Dye-Linked ZnO Nanoparticles Release Reactive Oxygen Species for Potential Use in Photodynamic Therapy. Materials, 13(1), 17. https://doi.org/10.3390/ma13010017

