Solidification of Municipal Solid Waste Incineration Fly Ash through Co-Mechanical Treatment with Circulation Fluidized Bed Combustion Fly Ash
Abstract
1. Introduction
2. Materials and Methods
2.1. Materials
2.2. Sample Preparation
2.3. Analytical Methods
2.3.1. Mineralogical Characteristics
2.3.2. Porosity and Compressive Strength
2.3.3. Leaching
3. Results and Discussion
3.1. Mineral Characterization
3.1.1. X-Ray Diffraction Analysis
3.1.2. Fourier Transform Infrared Analysis
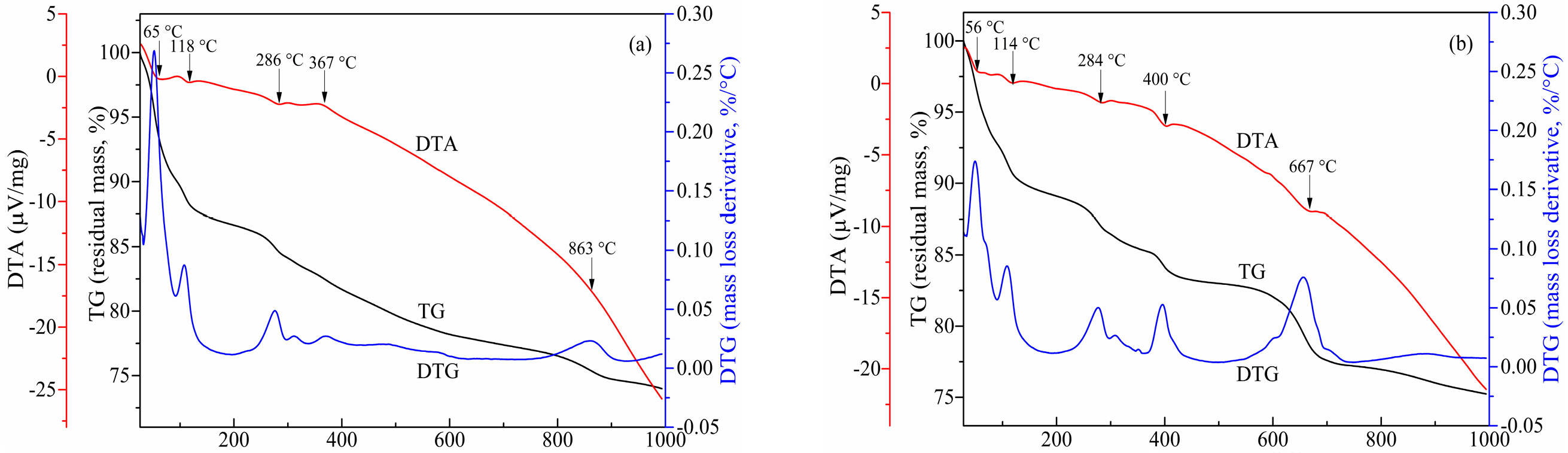
3.1.3. Thermogravimetry-Differential Thermal Analysis
3.2. Porosity and Compressive Strength
3.3. Leaching
4. Conclusions
- The CFBCFA based solidified bodies exhibit better compressive strength than cement based solidified bodies. The compressive strength of CFBCFA based solidified bodies measures up to 36.7 MPa after 28 d curing, while cement based solidified bodies could only reach 11.28 MPa, which is correlated to the lower porosity and more compact internal structure of CFBCFA based solidified bodies;
- XRD, FT-IR, and TG-DTA analyses indicate that the predominant hydrate products in CFBCFA and cement based solidified bodies are C–S–H, AFt, and FS. Moreover, large amounts of Ca(OH)2 originating from MSWIFA are conducive to promoting the hydration reaction extent and compressive strength of the CFBCFA based solidified bodies, while excessive Ca(OH)2 is harmful to the compressive strength development of the cement based solidified bodies;
- CFBCFA based solidified bodies possess excellent leaching resistance. The heavy metals (Zn, Cu, Cr, Cd, and Pb) concentrations in the extraction solution are far below the requirements of Chinese National Standard GB 5085.3-2007. The heavy metals in CFBCFA based solidified bodies are immobilized mainly depending on a combination of physical encapsulation and chemical absorption. In addition, partial heavy metal ions are locked in the form of precipitation due to the high alkalinity of the reaction system.
Author Contributions
Funding
Acknowledgments
Conflicts of Interest
References
- Bie, R.; Pei, C.; Song, X.; Ji, X. Characteristics of municipal solid waste incineration fly ash with cement solidification treatment. J. Energy Inst. 2016, 89, 704–712. [Google Scholar] [CrossRef]
- Quina, M.J.; Bontempi, E.; Bogush, A.; Schlumberger, S.; Weibel, G.; Braga, R.; Funari, V.; Hyks, J.; Rasmussen, E.; Lederer, J. Technologies for the management of MSW incineration ashes from gas cleaning: New perspectives on recovery of secondary raw materials and circular economy. Sci. Total Environ. 2018, 635, 526–542. [Google Scholar] [CrossRef] [PubMed]
- Benassi, L.; Dalipi, R.; Consigli, V.; Pasquali, M.; Borgese, L.; Depero, L.E.; Clegg, F.; Bingham, P.A.; Bontempi, E. Integrated management of ash from industrial and domestic combustion: A new sustainable approach for reducing greenhouse gas emissions from energy conversion. Environ. Sci. Pollut. Res. 2017, 24, 14834–14846. [Google Scholar] [CrossRef] [PubMed]
- Malviya, R.; Chaudhary, R. Factors affecting hazardous waste solidification/stabilization: A review. J. Hazard. Mater. 2006, 137, 267–276. [Google Scholar] [CrossRef] [PubMed]
- Qian, G.; Cao, Y.; Chui, P.; Tay, J. Utilization of MSWI fly ash for stabilization/solidification of industrial waste sludge. J. Hazard. Mater. 2006, 129, 274–281. [Google Scholar] [CrossRef] [PubMed]
- Guo, X.; Shi, H.; Chen, L.; Dick, W.A. Alkali-activated complex binders from class C fly ash and Ca-containing admixtures. J. Hazard. Mater. 2010, 173, 480–486. [Google Scholar] [CrossRef] [PubMed]
- Utilization of Municipal Solid Waste Incinerator Fly Ash in Cement Mortars. Available online: https://digitalcommons.njit.edu/cgi/viewcontent.cgi?article=1472&context=dissertations (accessed on 15 November 2019).
- Sheng, G.; Li, Q.; Zhai, J. Investigation on the hydration of CFBC fly ash. Fuel 2012, 98, 61–66. [Google Scholar] [CrossRef]
- Wenshi, L.; Haobo, H.; Chuhao, Z.; Dajie, Z. Feasibility study on solidification of municipal solid waste incinerator fly ash with circulating fluidized bed combustion coal fly ash. Waste Manag. Res. 2009, 27, 258–266. [Google Scholar] [CrossRef]
- Pourghahramani, P.; Forssberg, E. Microstructure characterization of mechanically activated hematite using XRD line broadening. Int. J. Miner. Process. 2006, 79, 106–119. [Google Scholar] [CrossRef]
- Wu, C.W.; Sun, C.J.; Gau, S.H.; Hong, C.L.; Chen, C.G. Mechanochemically induced synthesis of anorthite in MSWI fly ash with kaolin. J. Hazard. Mater. 2013, 244, 412–420. [Google Scholar] [CrossRef]
- Sekulic, Z.; Petrov, M.; Zivanovic, D. Mechanical activation of various cements. Int. J. Miner. Process. 2004, 74, S355–S363. [Google Scholar] [CrossRef]
- Sekulić, Ž.; Popov, S.; Đuričić, M.; Rosić, A. Mechanical activation of cement with addition of fly ash. Mater. Lett. 1999, 39, 115–121. [Google Scholar] [CrossRef]
- Brandstetr, J. Properties and use of solid residue from fluidized bed coal combustion. Fuel Energy Abstr. 1996, 38, 320. [Google Scholar] [CrossRef]
- Fu, X.; Qin, L.; Zhai, J.; Sheng, G.; Li, F. The physical–chemical characterization of mechanically-treated CFBC fly ash. Cem. Concr. Compos. 2008, 30, 220–226. [Google Scholar] [CrossRef]
- Zhong, S.; Ni, K.; Li, J. Properties of mortars made by uncalcined FGD gypsum-fly ash-ground granulated blast furnace slag composite binder. Waste Manag. 2012, 32, 1468–1472. [Google Scholar] [CrossRef]
- Hashemi, S.S.G.; Mahmud, H.B.; Ghuan, T.C.; Chin, A.B.; Kuenzel, C.; Ranjbar, N. Safe disposal of coal bottom ash by solidification and stabilization techniques. Constr. Build. Mater. 2019, 197, 705–715. [Google Scholar] [CrossRef]
- Liao, W.P.; Yang, R.; Kuo, W.T.; Huang, J.Y. The application of electrocoagulation for the conversion of MSWI fly ash into nonhazardous materials. J. Environ. Manag. 2014, 137, 157–162. [Google Scholar] [CrossRef]
- Frias, M.; Goñi, S.; García, R.; Vigil de La Villa, R. Seawater effect on durability of ternary cements. Synergy of chloride and sulphate ions. Compos. Part B Eng. 2013, 46, 173–178. [Google Scholar] [CrossRef]
- Li, X.G.; Chen, Q.B.; Ma, B.G.; Huang, J.; Jian, S.W.; Wu, B. Utilization of modified CFBC desulfurization ash as an admixture in blended cements: Physico-mechanical and hydration characteristics. Fuel 2012, 102, 674–680. [Google Scholar] [CrossRef]
- Li, F.; Qin, L.; Jianping Zhai, A.; Sheng, G. Effect of Zeolitization of CFBC Fly Ash on Immobilization of Cu2+, Pb2+, and Cr3+. Ind. Eng. Chem. Res. 2007, 46, 7087–7095. [Google Scholar] [CrossRef]
- Huang, X.; Huang, T.; Li, S.; Muhammad, F.; Xu, G.; Zhao, Z.; Yu, L.; Yan, Y.; Li, D.; Jiao, B. Immobilization of chromite ore processing residue with alkali-activated blast furnace slag-based geopolymer. Ceram. Int. 2016, 42, 9538–9549. [Google Scholar] [CrossRef]
- Zhen, G.; Lu, X.; Zhao, Y.; Niu, J.; Chai, X.; Su, L.; Li, Y.Y.; Liu, Y.; Du, J.; Hojo, T.; et al. Characterization of controlled low-strength material obtained from dewatered sludge and refuse incineration bottom ash: Mechanical and microstructural perspectives. J. Environ. Manag. 2013, 129, 183–189. [Google Scholar] [CrossRef] [PubMed]
- Eskander, S.B.; Saleh, H.M. Cement mortar-degraded spinney waste composite as a matrix for immobilizing some low and intermediate level radioactive wastes: Consistency under frost attack. J. Nucl. Mater. 2012, 420, 491–496. [Google Scholar] [CrossRef]
- Dung, N.T. Hydration Process and Compressive Strength of Slag-CFBC Fly Ash Materials without Portland Cement. J.Mater. Civ. Eng. 2014, 27. [Google Scholar] [CrossRef]
- Fermo, P.; Cariati, F.; Pozzi, A.; Tettamanti, M.; Collina, E.; Pitea, D. Analytical characterization of municipal solid waste incinerator fly ash. Fresenius’ J. Anal. Chem. 2000, 366, 267–272. [Google Scholar] [CrossRef]
- Mollah MY, A.; Lu, F.; Cocke, D.L. An X-ray diffraction (XRD) and Fourier transform infrared spectroscopic (FT-IR) characterization of the speciation of arsenic (V) in Portland cement type-V. Sci. Total Environ. 1998, 224, 57–68. [Google Scholar] [CrossRef]
- Vedalakshmi, R.; Sundara Raj, A.; Srinivasan, S.; Ganesh Babu, K. Quantification of hydrated cement products of blended cements in low and medium strength concrete using TG and DTA technique. Thermochim. Acta 2003, 407, 49–60. [Google Scholar] [CrossRef]
- Shi, Z.; Geiker, M.R.; Lothenbach, B.; De Weerdt, K.; Garzón, S.F.; Enemark-Rasmussen, K.; Skibsted, J. Friedel’s salt profiles from thermogravimetric analysis and thermodynamic modelling of Portland cement-based mortars exposed to sodium chloride solution. Cem. Concr. Compos. 2017, 78, 73–83. [Google Scholar] [CrossRef]
- UbbrìAco, P.; Calabrese, D. Solidification and stabilization of cement paste containing fly ash from municipal solid waste. Thermochim. Acta 1998, 321, 143–150. [Google Scholar] [CrossRef]
- Nabajyoti, S.; Shigeru, K.; Toshinori, K. Production of cement clinkers from municipal solid waste incineration (MSWI) fly ash. Waste Manag. 2007, 27, 1178–1189. [Google Scholar] [CrossRef]
- Lancellotti, I.; Ponzoni, C.; Bignozzi, M.C.; Barbieri, L.; Leonelli, C. Incinerator Bottom Ash and Ladle Slag for Geopolymers Preparation. Waste Biomass Valorization 2014, 5, 393–401. [Google Scholar] [CrossRef]
- Moropoulou, A.; Bakolas, A.; Aggelakopoulou, E. Evaluation of pozzolanic activity of natural and artificial pozzolans by thermal analysis. Thermochim. Acta 2004, 420, 135–140. [Google Scholar] [CrossRef]
- Veiga, K.K.; Gastaldini, A.L.G. Sulfate attack on a white Portland cement with activated slag. Constr. Build. Mater. 2012, 34, 494–503. [Google Scholar] [CrossRef]
- Cook, R.A.; Hover, K.C. Mercury porosimetry of hardened cement pastes. Cem. Concr. Res. 1999, 29, 933–943. [Google Scholar] [CrossRef]
- Hanisková, D.; Bartoníčková, E.; Koplík, J.; Opravil, T. The Ash from Fluidized Bed Combustion as a Donor of Sulfates to the Portland Clinker. Procedia Eng. 2016, 151, 394–401. [Google Scholar] [CrossRef][Green Version]
- Luna Galiano, Y.; Fernández Pereira, C.; Vale, J. Stabilization/solidification of a municipal solid waste incineration residue using fly ash-based geopolymers. J. Hazard. Mater. 2011, 185, 373–381. [Google Scholar] [CrossRef] [PubMed]
- Liu, X.; Zhao, X.; Yin, H.; Chen, J.; Zhang, N. Intermediate-calcium based cementitious materials prepared by MSWI fly ash and other solid wastes: Hydration characteristics and heavy metals solidification behavior. J. Hazard. Mater. 2018, 349, 262–271. [Google Scholar] [CrossRef]
- Zhang, D.; Liu, W.; Hou, F.; He, X. Strength, leachability and microstructure characterisation of Na2SiO 3-activated ground granulated blast-furnace slag solidified MSWI fly ash. Waste Manag. Res. 2007, 25, 402–407. [Google Scholar] [CrossRef]
- Sobiecka, E.; Obraniak, A.; Antizar-Ladislao, B. Influence of mixture ratio and pH to solidification/stabilization process of hospital solid waste incineration ash in Portland cement. Chemosphere 2014, 111, 18–23. [Google Scholar] [CrossRef]
- Zhao, S.; Chen, Z.; Shen, J.; Kang, J.; Zhang, J.; Shen, Y. Leaching mechanisms of constituents from fly ash under the influence of humic acid. J. Hazard. Mater. 2017, 321, 647–660. [Google Scholar] [CrossRef]
- Khale, D.; Chaudhary, R. Mechanism of geopolymerization and factors influencing its development: A review. J. Hazard. Mater. 2007, 42, 729–746. [Google Scholar] [CrossRef]
- Komarneni, S.; Breval, E.; Roy, D.M.; Roy, R. Reactions of some calcium silicates with metal cations. Cem. Concr. Res. 1988, 18, 204–220. [Google Scholar] [CrossRef]







| Component | CaO | Cl | Na2O | SO3 | K2O | SiO2 | Fe2O3 | Al2O3 | MgO | Others |
|---|---|---|---|---|---|---|---|---|---|---|
| MSWIFA | 48.22 | 19.70 | 9.87 | 7.02 | 5.16 | 3.24 | 1.44 | - | - | 5.17 |
| CFBCFA | 9.64 | - | 0.44 | 7.96 | - | 45.60 | 15.16 | 17.10 | 0.98 | 3.12 |
| Portland Cement | 49.82 | - | 0.59 | 2.78 | 1.28 | 29.89 | 4.04 | 8.15 | 2.20 | 1.25 |
| Material | Ground Mixture | Cement | MSWIFA | Water |
|---|---|---|---|---|
| CFBCFA based solidified bodies | 100 | - | - | 30 |
| Cement based solidified bodies | - | 30 | 70 | 30 |
| Material | Compressive Strength (MPa) | SD-c 1 (MPa) | Porosity (%) | SD-p 2 (%) |
|---|---|---|---|---|
| CFBCFA based solidified bodies | 36.70 | 1.09 | 18.00 | 0.45 |
| Cement based solidified bodies | 11.28 | 0.55 | 24.50 | 0.19 |
| Elements | GB 5085.3-2007 | MSWIFA | CFBCFA Based Solidified Bodies | Cement Based Solidified Bodies |
|---|---|---|---|---|
| Zn | 100.00 | 85.8300 | 0.5086 | 0.0358 |
| Pb | 5.00 | 2.9457 | 0.0519 | 0.0939 |
| Cu | 100.00 | 18.0450 | 0.6462 | 0.1097 |
| Cd | 1.00 | 5.1914 | 0.1222 | 0.0998 |
| Cr | 5.00 | 16.0800 | 0.6145 | 0.8734 |
© 2019 by the authors. Licensee MDPI, Basel, Switzerland. This article is an open access article distributed under the terms and conditions of the Creative Commons Attribution (CC BY) license (http://creativecommons.org/licenses/by/4.0/).
Share and Cite
Yao, Z.; Xu, Z.; Shuai, Q.; Chen, X.; Jiang, Z.; Peng, X.; Li, Y.; An, R.; Jiang, X.; Li, H. Solidification of Municipal Solid Waste Incineration Fly Ash through Co-Mechanical Treatment with Circulation Fluidized Bed Combustion Fly Ash. Materials 2020, 13, 141. https://doi.org/10.3390/ma13010141
Yao Z, Xu Z, Shuai Q, Chen X, Jiang Z, Peng X, Li Y, An R, Jiang X, Li H. Solidification of Municipal Solid Waste Incineration Fly Ash through Co-Mechanical Treatment with Circulation Fluidized Bed Combustion Fly Ash. Materials. 2020; 13(1):141. https://doi.org/10.3390/ma13010141
Chicago/Turabian StyleYao, Zhengzhen, Zhonghui Xu, Qin Shuai, Xiaoyue Chen, Zao Jiang, Xi Peng, Yu Li, Ran An, Xin Jiang, and Han Li. 2020. "Solidification of Municipal Solid Waste Incineration Fly Ash through Co-Mechanical Treatment with Circulation Fluidized Bed Combustion Fly Ash" Materials 13, no. 1: 141. https://doi.org/10.3390/ma13010141
APA StyleYao, Z., Xu, Z., Shuai, Q., Chen, X., Jiang, Z., Peng, X., Li, Y., An, R., Jiang, X., & Li, H. (2020). Solidification of Municipal Solid Waste Incineration Fly Ash through Co-Mechanical Treatment with Circulation Fluidized Bed Combustion Fly Ash. Materials, 13(1), 141. https://doi.org/10.3390/ma13010141

