Thermoelectric Properties of Ca3Co2−xMnxO6 (x = 0.05, 0.2, 0.5, 0.75, and 1)
Abstract
1. Introduction
2. Materials and Methods
2.1. Materials Synthesis
2.2. Characterization
3. Results and Discussion
3.1. Materials Characteristics
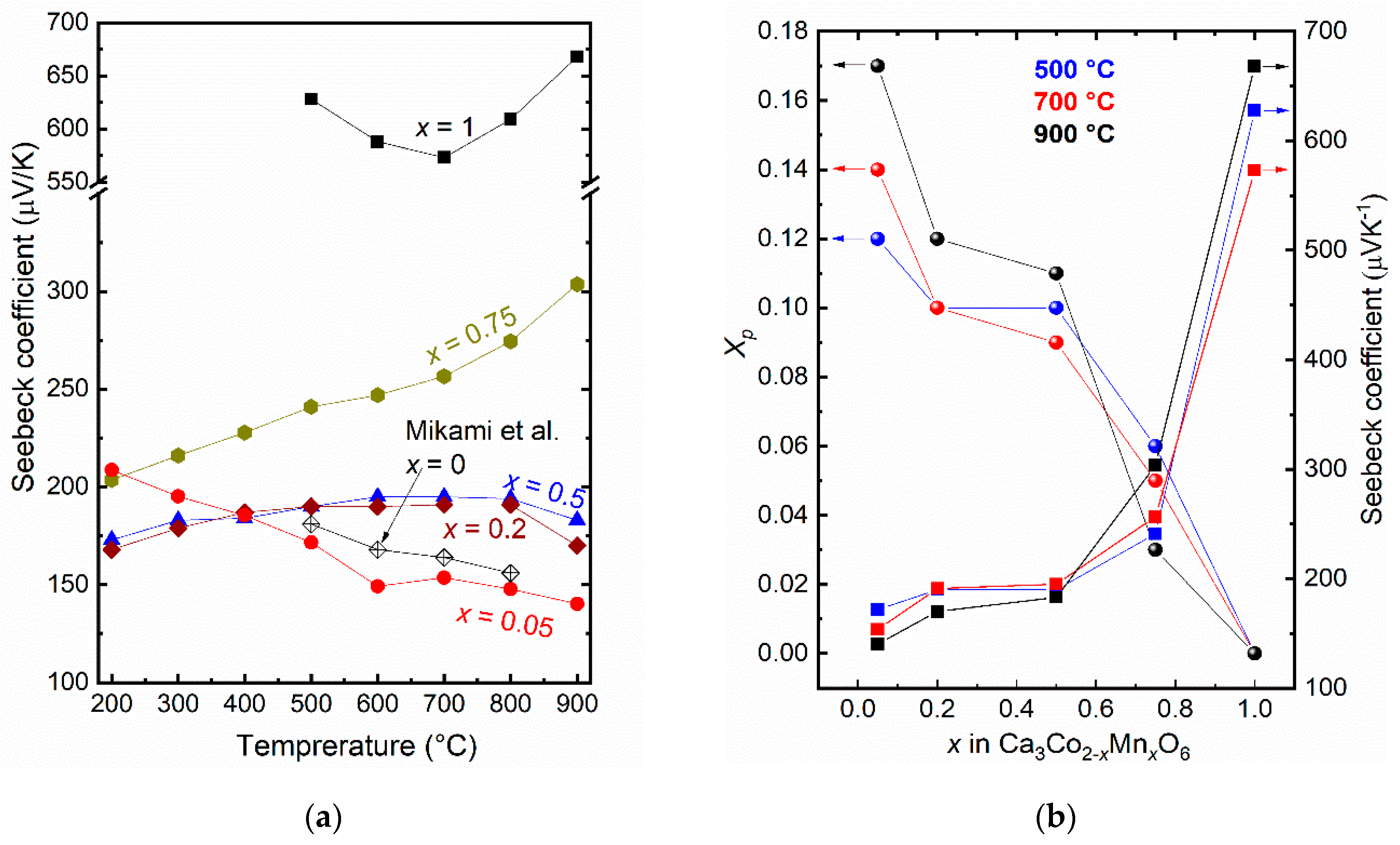
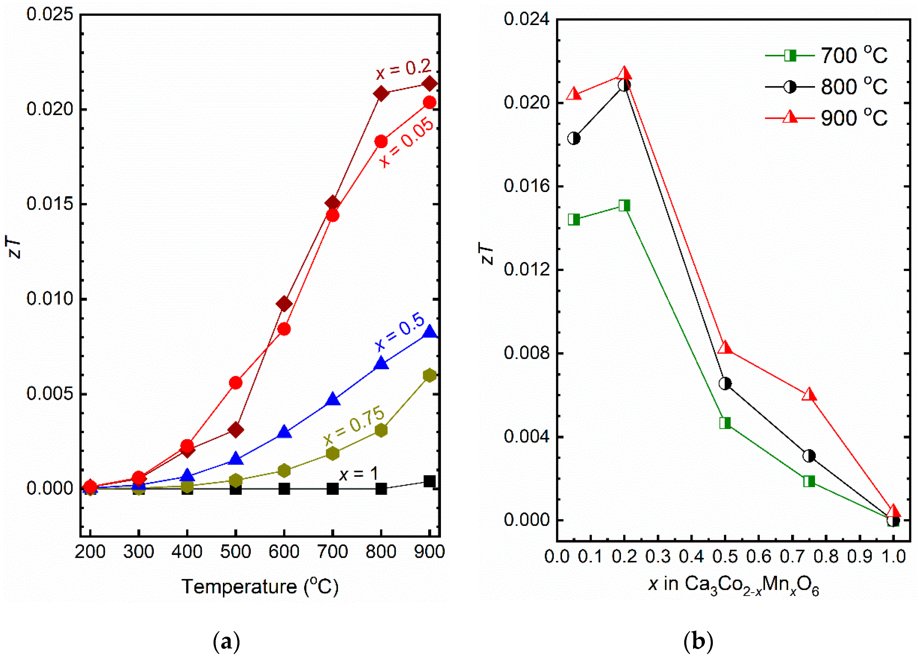
3.2. Thermoelectric Properties
4. Conclusions
Author Contributions
Funding
Conflicts of Interest
References
- Ang, R.; Sun, Y.P.; Luo, X.; Hao, C.Y.; Song, W.H. Studies of structural, magnetic, electrical and thermal properties in layered perovskite cobaltite SrLnCoO4 (Ln = La, Ce, Pr, Nd, Eu, Gd and Tb). J. Phys. D Appl. Phys. 2008, 41, 045404. [Google Scholar] [CrossRef]
- Shimoyama, J.S.; Horii, S.; Otzschi, K.; Sano, M.; Kishio, K. Oxygen nonstoichiometry in layered cobaltite Ca3Co4Oy. Jpn. J. Appl. Phys. 2003, 42, 194–197. [Google Scholar] [CrossRef]
- Nagasawa, K.; Daviero-Minaud, S.; Preux, M.; Rolle, A.; Roussel, P.; Nakatsugawa, H.; Mentre, O. Ca3Co4O9−δ: A thermoelectric material for SOFC cathode. Chem. Mater. 2009, 21, 4738–4745. [Google Scholar] [CrossRef]
- Golovkin, B.V.; Bazuev, G.V. Phase equilibria in the system CaO–CoO–Co2O3–MnO–MnO2. Russ. J. Gen. Chem. 2010, 80, 213–218. [Google Scholar] [CrossRef]
- Sedmidubsky, D.; Jakeš, V.; Jankovsky, O.; Leitner, J.; Sofer, Z.; Hejtmanek, J. Phase equilibria in Ca–Co–O system. J. Solid State Chem. 2012, 194, 199–205. [Google Scholar] [CrossRef]
- Zubkov, V.G.; Bazuev, A.; Tyutyunnik, P.; Berger, I.F. Synthesis, crystal structure, and magnetic properties of quasi-one-dimensional oxides Ca3CuMnO6 and Ca3Co1+xMn1−xO6. J. Solid State Chem. 2001, 160, 293–301. [Google Scholar] [CrossRef]
- Basu, T.; Iyer, K.K.; Paulose, P.L.; Sampathkumaran, E.V. Dielectric anomalies and magnetodielectric coupling behavior of single crystalline Ca3Co2O6, a geometrically frustrated magnetic spin-chain system. J. Alloys Compd. 2016, 675, 364–369. [Google Scholar] [CrossRef]
- Maignan, A.; Hébert, S.; Martin, C.; Flahaut, D. One dimensional compounds with large thermoelectric power: Ca3Co2O6 and Ca3CoMO6 with M=Ir4+ and Rh4+. Mater. Sci. Eng. B. 2003, 104, 121–125. [Google Scholar] [CrossRef]
- An, J.; Min, X.; Chen, S.; Nan, C. Thermoelectric properties and electronic structure of Ca3Co2O6. J. Wuhan Univ. Technol. Mater. Sci. Ed. 2004, 19, 46–48. [Google Scholar]
- Choi, Y.J.; Yi, H.T.; Lee, S.; Huang, Q.; Kiryukhin, V.; Cheong, S.-W. Ferroelectricity in an Ising chain magnet. Phys. Rev. Lett. 2008, 100, 047601. [Google Scholar] [CrossRef]
- Hervoches, C.H.; Okamoto, H.; Kjekshus, A.; Fjellvåg, H.; Hauback, B.C. Crystal structure and magnetic properties of the solid-solution phase Ca3Co2−vMnvO6. J. Solid State Chem. 2009, 182, 331–338. [Google Scholar] [CrossRef]
- Mikami, M.; Funahashi, R. The effect of element substitution on high-temperature thermoelectric properties of Ca3Co2O6 compound. J. Solid State Chem. 2005, 178, 1670–1674. [Google Scholar] [CrossRef]
- Iwasaki, K.; Yamane, H.; Kubota, S.; Takahashi, J.; Shimada, M. Power factor of Ca3Co2O6 and Ca3Co2O6-based solid solution. J. Alloys Compd. 2003, 358, 210–215. [Google Scholar] [CrossRef]
- Senthilkumar, M.; Vijayaraghavan, R. High-temperature resistivity and thermoelectric properties of coupled substituted Ca3Co2O6. Sci. Technol. Adv. Mater. 2009, 10, 015007. [Google Scholar] [CrossRef] [PubMed]
- Bazuev, G.V.; Zubkov, V.G.; Berger, I.F.; Krasil’nikov, V.N. Synthesis, crystal structure, and magnetic properties of quasi-one-dimensional oxides Ca3Co1+xMn1−xO6. Russ. J. Inorg. Chem. 2001, 46, 317–322. [Google Scholar]
- Chupakhina, T.I.; Zaitseva, N.A.; Melkozerova, M.A.; Bazuev, G.V. New representatives of the Ruddlesden–Popper homologous series: Anion-deficient oxides Sr3Co2−xZnxO6+d (x = 0.5, 0.75). Russ. J. Inorg. Chem. 2006, 51, 1241–1247. [Google Scholar]
- Kanas, N.; Bittner, M.; Singh, S.P.; Desissa, T.D.; Norby, T.; Feldhoff, A.; Grande, T.; Wiik, K.; Einarsrud, M.-A. All-oxide thermoelectric module with in-situ formed non-rectifying complex p-p-n junction and transverse thermoelectric effect. ACS Omega 2018, 3, 9899–9906. [Google Scholar] [CrossRef]
- Kanas, N.; Singh, S.P.; Rotan, M.; Saleemi, M.; Bittner, M.; Feldhoff, A.; Norby, T.; Wiik, K.; Grande, T.; Einarsrud, M.-A. Influence of processing on stability, microstructure and thermoelectric properties of Ca3Co4−xO9−δ. J. Eur. Ceram. Soc. 2018, 38, 1592–1599. [Google Scholar] [CrossRef]
- Wærnhus, I.; Wullum, P.E.; Holmestad, R.; Grande, T.; Wiik, K. Electronic properties of polycrystalline LaFeO3. Part 1: Experimental results and the quantitative role of Schottky defects. Solid State Ionics 2005, 176, 2783–2790. [Google Scholar] [CrossRef]
- Øygarden, V.; Grande, T. Crystal structure, electrical conductivity and thermal expansion of Ni and Nb co-doped LaCoO3. Dalton Trans. 2013, 42, 2704–2715. [Google Scholar] [CrossRef]
- Chaikin, P.M.; Beni, G. Thermopower in the correlated hopping regime. Phys. Rev. B. 1976, 13, 647–651. [Google Scholar] [CrossRef]
- Fisher, B.; Tannhauser, D.S. Electrical properties of Cobalt Monoxide. J. Chem. Phys. 1966, 44, 1663–1672. [Google Scholar] [CrossRef]
- Mahan, G.D. Introduction to thermoelectrics. Appl. Mater. 2016, 4, 104806. [Google Scholar] [CrossRef]
- Kim, H.-S.; Gibbs, Z.M.; Tang, Y.; Wang, H.; Snyder, G.J. Characterization of Lorenz number with Seebeck coefficient measurement. Appl. Mater. 2015, 3, 041506. [Google Scholar] [CrossRef]
- Zhang, Y.; Day, T.; Snedaker, M.L.; Wang, H.; Kramer, S.; Birkel, C.S.; Ji, X.; Liu, D.; Snyder, G.J.; Stucky, G.D. A mesoporous anisotropic n-type Bi2Te3 monolith with low thermal conductivity as an efficient thermoelectric material. Adv. Mater. 2012, 24, 5065–5070. [Google Scholar] [CrossRef] [PubMed]






| Ca3Co2−xMnxO6 | x = 1 | x = 0.75 | x = 0.5 | x = 0.2 | x = 0.05 | x = 0 |
|---|---|---|---|---|---|---|
| a parameter (Å) | 9.1312 | 9.1192 | 9.1058 | 9.0938 | 9.0797 | 9.0850 * |
| c parameter (Å) | 10.5793 | 10.5362 | 10.4845 | 10.4391 | 10.3893 | 10.3888 * |
| Cell volume (Å3) | 763.9 | 758.8 | 752.9 | 747.6 | 741.8 | 737.6 * |
| Bulk density (g/cm3) | 3.15 | 3.21 | 3.26 | 3.42 | 3.43 | - |
| Crystallographic density (g/cm3) | 4.31 * | 4.34 * | 4.40 * | 4.48 ** | 4.51 ** | 4.52 * |
| Relative density (%) | 73 | 73 | 74 | 76 | 76 | - |
| TEC 400–800 °C, (10−6 K−1) | 19.8 | 18 | 19.2 | 20 | 20 | - |
| TEC 800–400 °C, (10−6 K−1) | 19.7 | 18.2 | 19.2 | 19.7 | 20.7 | - |
| TEC 100–400 °C, (10−6 K−1) | 14.4 | 14.8 | 15.6 | 16.2 | 15.9 | - |
| TEC 400–100 °C, (10−6 K−1) | 15.0 | 14.5 | 15.6 | 15.9 | 15.8 | - |
| Activation energy Ea (kJ/mol) | - | 45.9 | 38.4 | 39.0 | 42.9 | 50.1 # |
| σ0 / 1000 (S·K/cm) | - | 33 | 73 | 220 | 490 | 1800 # |
| Figure of merit zT at 900 °C | 0.0004 | 0.006 | 0.008 | 0.021 | 0.020 | - |
© 2019 by the authors. Licensee MDPI, Basel, Switzerland. This article is an open access article distributed under the terms and conditions of the Creative Commons Attribution (CC BY) license (http://creativecommons.org/licenses/by/4.0/).
Share and Cite
Kanas, N.; Singh, S.P.; Rotan, M.; Desissa, T.D.; Grande, T.; Wiik, K.; Norby, T.; Einarsrud, M.-A. Thermoelectric Properties of Ca3Co2−xMnxO6 (x = 0.05, 0.2, 0.5, 0.75, and 1). Materials 2019, 12, 497. https://doi.org/10.3390/ma12030497
Kanas N, Singh SP, Rotan M, Desissa TD, Grande T, Wiik K, Norby T, Einarsrud M-A. Thermoelectric Properties of Ca3Co2−xMnxO6 (x = 0.05, 0.2, 0.5, 0.75, and 1). Materials. 2019; 12(3):497. https://doi.org/10.3390/ma12030497
Chicago/Turabian StyleKanas, Nikola, Sathya Prakash Singh, Magnus Rotan, Temesgen Debelo Desissa, Tor Grande, Kjell Wiik, Truls Norby, and Mari-Ann Einarsrud. 2019. "Thermoelectric Properties of Ca3Co2−xMnxO6 (x = 0.05, 0.2, 0.5, 0.75, and 1)" Materials 12, no. 3: 497. https://doi.org/10.3390/ma12030497
APA StyleKanas, N., Singh, S. P., Rotan, M., Desissa, T. D., Grande, T., Wiik, K., Norby, T., & Einarsrud, M.-A. (2019). Thermoelectric Properties of Ca3Co2−xMnxO6 (x = 0.05, 0.2, 0.5, 0.75, and 1). Materials, 12(3), 497. https://doi.org/10.3390/ma12030497

