Food Waste Materials as Low-Cost Adsorbents for the Removal of Volatile Organic Compounds from Wastewater
Abstract
1. Introduction
2. Materials and Methods
2.1. Preparation of the Biosorbents
2.2. Adsorption Experiments
2.3. GC Analysis
2.4. Calculation of Adsorption Efficiency and Adsorption Capacity
2.5. Adsorption Isotherms
3. Results and Discussion
3.1. Adsorption Efficiency from Multi-Component Solutions
3.2. Adsorption Capacity from Synthetic Mono-Component Solutions
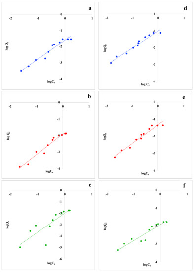
3.3. Adsorption Isotherms
4. Conclusions
Author Contributions
Funding
Acknowledgments
Conflicts of Interest
Appendix A

| Acquisition Method | Ion Trap Temperature (°C) | Transfer Line Temperature (°C) | Vacuum Manifold Temperature (°C) |
|---|---|---|---|
| SIM (Single Ion Monitoring) | 150 °C | 180 °C | 80 °C |
| VOCs | Retention Time (min) | Fragments (m/z) | Acquisition Range (m/z) |
|---|---|---|---|
| Aliphatic VOCs | |||
| Trans-1,2-Dichloroethene | 4.50–4.90 | 61–96–98 | 55–100 |
| Dichloromethane | 3.90–4.50 | 49–84–86 | 49–90 |
| 1,1-Dichloroethene | 3.20–3.90 | 61–96–98 | 60–100 |
| 1,1-Dichloroethane | 4.90–5.50 | 63–65–27 | 60–90 |
| Chloroform | 5.50–6.55 | 83–85–47 | 45–90 |
| Carbon tetrachloride | 6.70–6.90 | 117–121 | 75–125 |
| Trichloroethylene | 7.40–7.95 | 130–95–97 | 55–135 |
| 1,2-Dichloropropane | 7.95–8.25 | 63–62–27 | 60–80 |
| 1,1,2-Trichloroethane | 9.70–9.86 | 97–83–61 | 44–170 |
| Tetrachloroethylene | 9.86–10.10 | 166–164–129 | 160–175 |
| Dibromochloromethane | 10.10–10.75 | 129–127 | 80–132 |
| 1,1,2-Tetrachloroethane | 11.78–11.87 | 81–82.8–83.8 | 80–85 |
| Bromoform | 11.73–12.02 | 173–171 | 75–180 |
| Aromatic VOCs | |||
| Methyl tert-butyl ether | 1.11–2.10 | 44.8–45.8 | 40–48 |
| Benzene | 6.9–7.08 | 78–77 | 45–80 |
| Toluene | 9.15–9.45 | 91–92 | 60–100 |
| Chlorobenzene | 10.75–11.00 | 112–77–114 | 48–120 |
| Ethylbenzene | 11.00–11.13 | 91–106 | 85–110 |
| m-Xylene | 11.30–11.73 | 91–106 | 70–120 |
| p-Xylene | 11.30–11.73 | 91–106 | 70–120 |
| o-Xylene | 11.13–11.30 | 91–106 | 70–120 |
| 1,3-Dichlorobenzene | 12.75–13.71 | 146–148–111 | 70–150 |
| 1,4-Dichlorobenzene | 13.71–13.85 | 146–148–111 | 70–150 |
| 1,2-Dichlorobenzene | 13.85–15.00 | 146–148–111 | 70–150 |

| Food Waste Materials | Real Polluted Matrix | Synthetic Multi-Component Standard Solution |
|---|---|---|
| Without adsorbents | 6.5 | 7 |
| Banana peel | 5.5 | 5.8 |
| Potato peel | 6.4 | 7.5 |
| Apple peel | 5.9 | 4.7 |
| Lemon peel | 4.7 | 4.7 |
| Coffee waste | 6.2 | 5.9 |
| Grape waste | 6.1 | 7.1 |
| Carob peel | 5.9 | 5.3 |
| Decaf Coffee waste | 6.5 | 6.2 |
References
- Atkinson, R. Atmospheric chemistry of VOCs and NOx. Atmos. Environ. 2000, 34, 2063–2101. [Google Scholar] [CrossRef]
- Evuti, A.M. A synopsis on biogenic and anthropogenic volatile organic compounds emissions: Hazards and control. Int. J. Eng. 2013, 2, 145. [Google Scholar]
- Kim, J.; Lee, S.S.; Khim, J. Peat moss-derived biochars as effective sorbents for VOCs’ removal in groundwater. Environ. Geochem. Health 2010, 41, 1637–1646. [Google Scholar] [CrossRef] [PubMed]
- Masih, A.; Lall, A.S.; Taneja, A.; Singhvi, R. Inhalation exposure and related health risks of BTEX in ambient air at different microenvironments of a terai zone in north India. Atmos. Environ. 2016, 147, 55–66. [Google Scholar] [CrossRef]
- Yang, J.; Wang, K.; Zhao, Q.; Huang, L.; Yuan, C.S.; Chen, W.H.; Yang, W.B. Underestimated public health risks caused by overestimated VOC removal in wastewater treatment processes. Environ. Sci. Process. Impacts 2014, 16, 271–279. [Google Scholar] [CrossRef] [PubMed]
- Croute, F.; Poinsot, J.; Gaubin, Y.; Beau, B.; Simon, V.; Murat, J.C.; Soleilhavoup, J.P. Volatile organic compounds cytotoxicity and expression of HSP72, HSP90 and GRP78 stress proteins in cultured human cells. Biochim. et Biophys. Acta (BBA)-Mol. Cell Res. 2002, 1591, 147–155. [Google Scholar] [CrossRef]
- Jia, C.; Yu, X.; Masiak, W. Blood/air distribution of volatile organic compounds (VOCs) in a nationally representative sample. Sci. Total Environ. 2012, 419, 225–232. [Google Scholar] [CrossRef]
- Doherty, R.E. A history of the production and use of carbon tetrachloride, tetrachloroethylene, trichloroethylene and 1, 1, 1-trichloroethane in the United States: Part 1–historical background; carbon tetrachloride and tetrachloroethylene. Environ. Forensics 2000, 1, 69–81. [Google Scholar] [CrossRef]
- Huang, B.; Lei, C.; Wei, C.; Zeng, G. Chlorinated volatile organic compounds (Cl-VOCs) in environment—sources, potential human health impacts, and current remediation technologies. Environ. Int. 2014, 71, 118–138. [Google Scholar] [CrossRef]
- Beamer, P.I.; Luik, C.E.; Abrell, L.; Campos, S.; Martínez, M.E.; Sáez, A.E. Concentration of trichloroethylene in breast milk and household water from Nogales, Arizona. Environ. Sci. Technol. 2012, 46, 9055–9061. [Google Scholar] [CrossRef]
- IARC. Summaries & evaluations. Trichloroethylene 1995, 6, 75. [Google Scholar]
- U.S. EPA. Toxicity and exposure assessment for children’s health. Trichloroethylene—TEACH chemical summary. Available online: http://www.epa.gov/teach/chem_summ/TCE_summary.pdf (accessed on 17 December 2019).
- Farhadian, M.; Vachelard, C.; Duchez, D.; Larroche, C. In situ bioremediation of monoaromatic pollutants in groundwater: A review. Bioresour. Technol. 2008, 99, 5296–5308. [Google Scholar] [CrossRef] [PubMed]
- Kao, C.M.; Huang, W.Y.; Chang, L.J.; Chen, T.Y.; Chien, H.Y.; Hou, F. Application of monitored natural attenuation to remediate a petroleum-hydrocarbon spill site. Water Sci. Technol. 2006, 53, 321–328. [Google Scholar] [CrossRef] [PubMed]
- ACGIH, T. BEIs based on the documentation of the threshold limit values for chemical substances and physical agents and biological exposure indices 2009 Cincinnati. In American Conference of Governmental Industrial Hygienists; ACGIH: Cincinnati, OH, USA, 2006. [Google Scholar]
- Tunsaringkarn, T.; Siriwong, W.; Rungsiyothin, A.; Nopparatbundit, S. Occupational exposure of gasoline station workers to BTEX compounds in Bangkok, Thailand. Int. J. Occup. Environ. Med. 2012, 3, 117–125. [Google Scholar] [PubMed]
- Costa, A.S.; Romão, L.P.C.; Araújo, B.R.; Lucas, S.C.O.; Maciel, S.T.A.; Wisniewski Jr, A.; Alexandre, M.D.R. Environmental strategies to remove volatile aromatic fractions (BTEX) from petroleum industry wastewater using biomass. Bioresour. Technol. 2012, 105, 31–39. [Google Scholar] [CrossRef] [PubMed]
- Anjum, H.; Johari, K.; Gnanasundaram, N.; Ganesapillai, M.; Arunagiri, A.; Regupathi, I.; Thanabalan, M. A review on adsorptive removal of oil pollutants (BTEX) from wastewater using carbon nanotubes. J. Mol. Liq. 2018, 277, 1005–1025. [Google Scholar] [CrossRef]
- Ali, I.; Asim, M.; Khan, T.A. Low cost adsorbents for the removal of organic pollutants from wastewater. J. Environ. Manag. 2012, 113, 170–183. [Google Scholar] [CrossRef]
- Coin, R.J.; Niksa, M.J.; Elyanow, D.I. Wastewater treatment enhanced by electrochemistry. Environ. Prog. Sustain. Energy 1996, 15, 122–127. [Google Scholar] [CrossRef]
- Crisafully, R.; Milhome, M.A.L.; Cavalcante, R.M.; Silveira, E.R.; De Keukeleire, D.; Nascimento, R.F. Removal of some polycyclic aromatic hydrocarbons from petrochemical wastewater using low-cost adsorbents of natural origin. Bioresour. Technol. 2008, 99, 4515–4519. [Google Scholar] [CrossRef]
- Zinkus, G.A.; Byers, W.D.; Doerr, W.W. Identify appropriate water reclamat’technologies. Chem. Eng. Prog. 1998, 19. [Google Scholar]
- Fierro, V.; Torné-Fernández, V.; Montané, D.; Celzard, A. Adsorption of phenol onto activated carbons having different textural and surface properties. Microporous Mesoporous Mater. 2008, 111, 276–284. [Google Scholar] [CrossRef]
- Mohammed, M.A.; Shitu, A.; Tadda, M.A.; Ngabura, M. Utilization of various Agricultural waste materials in the treatment of Industrial wastewater containing Heavy metals: A Review. Int. Res. J. Environ. Sci. 2014, 3, 62–71. [Google Scholar]
- Park, K.H.; Balathanigaimani, M.S.; Shim, W.G.; Lee, J.W.; Moon, H. Adsorption characteristics of phenol on novel corn grain-based activated carbons. Microporous Mesoporous Mater. 2010, 127, 1–8. [Google Scholar] [CrossRef]
- Yu, L.; Wang, L.; Xu, W.; Chen, L.; Fu, M.; Wu, J.; Ye, D. Adsorption of VOCs on reduced graphene oxide. J. Environ. Sci. 2018, 67, 171–178. [Google Scholar] [CrossRef]
- Bansal, R.C.; Goyal, M. Activated Carbon Adsorption; CRC press: Boca Raton, FL, USA, 2015. [Google Scholar]
- Derbyshire, F.; Jagtoyen, M.; Andrews, R.; Rao, A.; Martin-Gullon, I.; Grulke, E.A. Carbon Materials in Environmental Applications. In Chemistry and physics of carbon; Marcel Dekker Inc.: New York, NY, USA, 2001; pp. 1–66. [Google Scholar]
- Zhang, X.; Gao, B.; Creamer, A.E.; Cao, C.; Li, Y. Adsorption of VOCs onto engineered carbon materials: A review. J. Hazard. Mater. 2017, 338, 102–123. [Google Scholar] [CrossRef]
- Ahmaruzzaman, M. Adsorption of phenolic compounds on low-cost adsorbents: A review. Adv. Colloid Interface Sci. 2008, 143, 48–67. [Google Scholar] [CrossRef]
- Baek, M.H.; Ijagbemi, C.O.; Se-Jin, O.; Kim, D.S. Removal of Malachite Green from aqueous solution using degreased coffee bean. J. Hazard. Mater. 2010, 176, 820–828. [Google Scholar] [CrossRef]
- Crini, G. Non-conventional low-cost adsorbents for dye removal: A review. Bioresour. Technol. 2006, 97, 1061–1085. [Google Scholar] [CrossRef]
- García-Sabido, D.; López-Mesas, M.; Carrillo-Navarrete, F. Chicken feather fibres waste as a low-cost biosorbent of acid Blue 80 dye. Desalin. Water Treat. 2016, 57, 3732–3740. [Google Scholar] [CrossRef]
- Tan, X.; Liu, Y.; Zeng, G.; Wang, X.; Hu, X.; Gu, Y.; Yang, Z. Application of biochar for the removal of pollutants from aqueous solutions. Chemosphere 2015, 125, 70–85. [Google Scholar] [CrossRef]
- Acharya, J.; Kumar, U.; Rafi, P.M. Removal of heavy metal ions from wastewater by chemically modified agricultural waste material as potential adsorbent-a review. Int. J. Curr. Eng. Technol. 2018, 8, 526–530. [Google Scholar] [CrossRef]
- Agwaramgbo, L.; Lathan, N.; Edwards, S.; Nunez, S. Assessing lead removal from contaminated water using solid biomaterials: Charcoal, coffee, tea, fishbone, and caffeine. J. Environ. Prot. 2013, 4, 741. [Google Scholar] [CrossRef][Green Version]
- Aman, T.; Kazi, A.A.; Sabri, M.U.; Bano, Q. Potato peels as solid waste for the removal of heavy metal copper (II) from waste water/industrial effluent. Colloids Surf. B Biointerfaces 2008, 63, 116–121. [Google Scholar] [CrossRef]
- Fu, F.; Wang, Q. Removal of heavy metal ions from wastewaters: A review. J. Environ. Manag. 2011, 92, 407–418. [Google Scholar] [CrossRef]
- Lakshmipathy, R.; Sarada, N.C. Application of watermelon rind as sorbent for removal of nickel and cobalt from aqueous solution. Int. J. Miner. Process. 2013, 122, 63–65. [Google Scholar] [CrossRef]
- Mallampati, R.; Valiyaveettil, S. Application of tomato peel as an efficient adsorbent for water purification—alternative biotechnology? Rsc. Adv. 2012, 2, 9914–9920. [Google Scholar] [CrossRef]
- Frezzini, M.A.; Giuliano, A.; Treacy, J.; Canepari, S.; Massimi, L. Food Waste Materials Appear Efficient and Low-cost Adsorbents for the Removal of Organic and Inorganic Pollutants from Wastewater. Interface Sci. 2018, 316, 298–309. [Google Scholar] [CrossRef]
- Massimi, L.; Giuliano, A.; Astolfi, M.L.; Congedo, R.; Masotti, A.; Canepari, S. Efficiency evaluation of food waste materials for the removal of metals and metalloids from complex multi-element solutions. Materials 2018, 11, 334. [Google Scholar] [CrossRef]
- Vieira, R.H.; Volesky, B. Biosorption: A solution to pollution? Int. Microbiol. 2000, 3, 17–24. [Google Scholar]
- Kargi, F.; Cikla, S. Biosorption of zinc (II) ions onto powdered waste sludge (PWS): Kinetics and isotherms. Enzym. Microb. Technol. 2006, 38, 705–710. [Google Scholar] [CrossRef]
- Mirabella, N.; Castellani, V.; Sala, S. Current options for the valorization of food manufacturing waste: A review. J. Clean. Prod. 2014, 65, 28–41. [Google Scholar] [CrossRef]
- Scheufele, F.B.; Módenes, A.N.; Borba, C.E.; Ribeiro, C.; Espinoza-Quiñones, F.R.; Bergamasco, R.; Pereira, N.C. Monolayer–multilayer adsorption phenomenological model: Kinetics, equilibrium and thermodynamics. Chem. Eng. J. 2016, 284, 1328–1341. [Google Scholar] [CrossRef]
- Wang, X.S.; Qin, Y. Equilibrium sorption isotherms for of Cu2+ on rice bran. Process. Biochem. 2005, 40, 677–680. [Google Scholar] [CrossRef]
- Aly, Z.; Graulet, A.; Scales, N.; Hanley, T. Removal of aluminium from aqueous solutions using PAN-based adsorbents: Characterisation, kinetics, equilibrium and thermodynamic studies. Environ. Sci. Pollut. Res. 2014, 21, 3972–3986. [Google Scholar] [CrossRef]
- Hamzaoui, M.; Bestani, B.; Benderdouche, N. The use of linear and nonlinear methods for adsorption isotherm optimization of basic green 4-dye onto sawdust-based activated carbon. J. Mater. Env. Sci. 2018, 9, 1110–1118. [Google Scholar] [CrossRef]
- Ho, Y.S. Isotherms for the sorption of lead onto peat: Comparison of linear and non-linear methods. Pol. J. Environ. Stud. 2006, 15, 81–86. [Google Scholar]
- Chen, X. Modeling of experimental adsorption isotherm data. Information 2015, 6, 14–22. [Google Scholar] [CrossRef]
- Aly, Z.; Luca, V. Uranium extraction from aqueous solution using dried and pyrolyzed tea and coffee wastes. J. Radioanal. Nucl. Chem. 2013, 295, 889–900. [Google Scholar] [CrossRef]
- Iqbal, M.; Saeed, A.; Zafar, S.I. FTIR spectrophotometry, kinetics and adsorption isotherms modeling, ion exchange, and EDX analysis for understanding the mechanism of Cd2+ and Pb2+ removal by mango peel waste. J. Hazard. Mater. 2009, 164, 161–171. [Google Scholar] [CrossRef]
- Guechi, E.K.; Hamdaoui, O. Sorption of malachite green from aqueous solution by potato peel: Kinetics and equilibrium modeling using non-linear analysis method. Arab. J. Chem. 2016, 9, S416–S424. [Google Scholar] [CrossRef]
- Pujol, D.; Liu, C.; Gominho, J.; Olivella, M.À.; Fiol, N.; Villaescusa, I.; Pereira, H. The chemical composition of exhausted coffee waste. Ind. Crop. Prod. 2013, 50, 423–429. [Google Scholar] [CrossRef]
- Kaneko, T.; Wang, P.Y.; Sato, A. Relationship between blood/air partition coefficients of lipophilic organic solvents and blood triglyceride levels. Toxicology 2000, 143, 203–208. [Google Scholar] [CrossRef]
- Sikkema, J.; Weber, F.J.; Heipieper, H.J.; Bont, J.A.D. Cellular toxicity of lipophilic compounds: Mechanisms, implications, and adaptations. Biocatalysis 1994, 10, 113–122. [Google Scholar] [CrossRef]
- Largitte, L.; Pasquier, R. A review of the kinetics adsorption models and their application to the adsorption of lead by an activated carbon. Chem. Eng. Res. Des. 2016, 109, 495–504. [Google Scholar] [CrossRef]
- Tan, K.L.; Hameed, B.H. Insight into the adsorption kinetics models for the removal of contaminants from aqueous solutions. J. Taiwan Inst. Chem. Eng. 2017, 74, 25–48. [Google Scholar] [CrossRef]
- El-Khaiary, M.I.; Malash, G.F. Common data analysis errors in batch adsorption studies. Hydrometallurgy 2011, 105, 314–320. [Google Scholar] [CrossRef]
- Dada, A.O.; Olalekan, A.P.; Olatunya, A.M.; Dada, O. Langmuir, Freundlich, Temkin and Dubinin–Radushkevich isotherms studies of equilibrium sorption of Zn2+ unto phosphoric acid modified rice husk. Iosr J. Appl. Chem. 2012, 3, 38–45. [Google Scholar]
- Febrianto, J.; Kosasih, A.N.; Sunarso, J.; Ju, Y.H.; Indraswati, N.; Ismadji, S. Equilibrium and kinetic studies in adsorption of heavy metals using biosorbent: A summary of recent studies. J. Hazard. Mater. 2009, 162, 616–645. [Google Scholar] [CrossRef]


| Isotherm Models | Linear |
|---|---|
| Langmuir | |
| Freundlich |
| Adsorption Efficiency (E%) ± SD | ||||||||
|---|---|---|---|---|---|---|---|---|
| Aliphatic VOCs | Banana Peel | Potato Peel | Apple Peel | Lemon Peel | Coffee Waste | Decaf C. Waste | Grape Waste | Carob Peel |
| Trans-1,2-Dichloroethene | 2.7 ± 0.4 | 0.6 ± 0.2 | 0.7 ± 0.4 | 1.6 ± 0.8 | 93 ± 18 | 7.6 ± 1.4 | 4.7 ± 1.6 | 2.3 ± 1.6 |
| Dichloromethane | 3.9 ± 0.2 | 5.7 ± 4.3 | 8.2 ± 3.2 | 7.1 ± 1.8 | 9.8 ± 0.7 | 13 ± 1 | 6.2 ± 1.9 | 3.7 ± 1.1 |
| 1,1-Dichloroethene | 1.8 ± 0.3 | 1.1 ± 0.7 | 3.3 ± 0.8 | 3.1 ± 1.8 | 3.9 ± 0.5 | 12 ± 5 | 6.7 ± 1.2 | 1.7 ± 1.3 |
| 1,1-Dichloroethane | 1.3 ± 0.8 | 5.6 ± 1.9 | 2.6 ± 0.2 | 13 ± 6 | 12 ± 2 | 16 ± 1 | 6.7 ± 1.7 | 3.1 ± 1.3 |
| Chloroform | 5.9 ± 5.4 | 7.2 ± 2.4 | 1.5 ± 0.5 | 5.1 ± 2.6 | 6.2 ± 2.3 | 13 ± 1 | 6.3 ± 1.1 | 7.7 ± 3.1 |
| Carbon tetrachloride | 39 ± 2 | 4.3 ± 1.9 | 11 ± 2 | 6.3 ± 0.3 | 17 ± 2 | 16 ± 5 | 37 ± 12 | 4.3 ± 1.7 |
| Trichloroethylene | 35 ± 1 | 16 ± 13 | 36 ± 1 | 44 ± 1 | 43 ± 2 | 51 ± 1 | 34 ± 2 | 36 ± 1 |
| 1,2-Dichloropropane | 1.1 ± 0.2 | 0.9 ± 0.5 | 8.3 ± 6.4 | 4.7 ± 2.1 | 1.1 ± 0.2 | 16 ± 1 | 5.5 ± 3.2 | 3.8 ± 3.4 |
| 1,1,2-Trichloroethane | 7.5 ± 6.5 | 5.4 ± 4.3 | 13 ± 5 | 14 ± 4 | 18 ± 4 | 25 ± 9 | 11 ± 1 | 2.5 ± 0.9 |
| Tetrachloroethylene | 17 ± 12 | 12 ± 4 | 11 ± 4 | 1.8 ± 0.9 | 35 ± 9 | 47 ± 10 | 42 ± 7 | 11 ± 2 |
| Dibromochloromethane | 43 ± 5 | 1.1 ± 0.8 | 2.5 ± 1.8 | 1.4 ± 0.8 | 13 ± 1 | 27 ± 3 | 11 ± 2 | 0.8 ± 0.3 |
| 1,1,2-Tetrachloroethane | 39 ± 1 | 23 ± 2 | 57 ± 7 | 38 ± 1 | 73 ± 13 | 77 ± 1 | 51 ± 1 | 8.5 ± 1.8 |
| Bromoform | 57 ± 2 | 1.6 ± 0.9 | 17 ± 4 | 1.3 ± 0.6 | 19 ± 2 | 25 ± 2 | 25 ± 2 | 2.3 ± 0.7 |
| Aromatic VOCs | ||||||||
| Methyl tert-butyl ether | 1.8 ± 0.2 | 9.5 ± 1.9 | 1.8 ± 0.8 | 3.1 ± 2.3 | 10 ± 5 | 1.5 ± 1.4 | 1.5 ± 1.1 | 1.5 ± 1.1 |
| Benzene | 1.8 ± 0.8 | 2.8 ± 0.3 | 1.8 ± 0.2 | 1.3 ± 1.2 | 17 ± 1 | 19 ± 1 | 7.1 ± 0.5 | 5.9 ± 0.3 |
| Toluene | 12 ± 1 | 1.5 ± 1.1 | 8.5 ± 0.5 | 3.9 ± 0.3 | 31 ± 2 | 33 ± 2 | 19 ± 2 | 1.3 ± 0.8 |
| Chlorobenzene | 17 ± 1 | 5.5 ± 0.5 | 15 ± 1 | 10 ± 1 | 37 ± 1 | 42 ± 1 | 30 ± 1 | 2.5 ± 2.1 |
| Ethylbenzene | 7.1 ± 1.4 | 4.8 ± 1.8 | 9.5 ± 5.5 | 1.5 ± 0.7 | 28 ± 1 | 37 ± 3 | 24 ± 17 | 1.6 ± 0.4 |
| m, p-Xylene | 35 ± 1 | 12 ± 1 | 21 ± 1 | 15 ± 1 | 54 ± 1 | 56 ± 1 | 34 ± 3 | 3.3 ± 1.8 |
| o-Xylene | 28 ± 1 | 14 ± 3 | 24 ± 1 | 18 ± 4 | 57 ± 1 | 58 ± 1 | 33 ± 5 | 13 ± 2 |
| 1,3-Dichlorobenzene | 35 ± 2 | 12 ± 1 | 34 ± 1 | 19 ± 2 | 67 ± 1 | 73 ± 2 | 48 ± 4 | 12 ± 1 |
| 1,4-Dichlorobenzene | 43 ± 2 | 14 ± 1 | 36 ± 2 | 20 ± 1 | 68 ± 1 | 71 ± 1 | 47 ± 1 | 24 ± 1 |
| 1,2-Dichlorobenzene | 36 ± 1 | 10 ± 2 | 37 ± 1 | 20 ± 2 | 67 ± 1 | 73 ± 2 | 47 ± 2 | 13 ± 2 |
| Adsorption Efficiency (E%) ± SD | ||||||||
|---|---|---|---|---|---|---|---|---|
| Aliphatic VOCs | Banana Peel | Potato Peel | Apple Peel | Lemon Peel | Coffee Waste | Decaf C. Waste | Grape Waste | Carob Peel |
| 1,1-Dichloroethene | 20 ± 5 | 38 ± 9 | 60 ± 10 | 79 ± 18 | 91 ± 16 | 89 ± 5 | 87 ± 6 | 71 ± 11 |
| Dichloromethane | 85 ± 11 | 85 ± 15 | 90 ± 18 | 96 ± 15 | 97 ± 9 | 97 ± 5 | 97 ± 10 | 93 ± 7 |
| Chloroform | 24 ± 9 | 13 ± 6 | 54 ± 12 | 83 ± 14 | 92 ± 10 | 93 ± 5 | 90 ± 9 | 69 ± 16 |
| Trichloroethylene | 44 ± 8 | 39 ± 6 | 56 ± 13 | 98 ± 16 | 99 ± 12 | 96 ± 6 | 97 ± 10 | 86 ± 9 |
| Dibromochloromethane | 8.6 ± 2.3 | 3.2 ± 1.4 | 47 ± 14 | 84 ± 10 | 95 ± 11 | 93 ± 2 | 89 ± 8 | 67 ± 6 |
| Aromatic VOCs | ||||||||
| Toluene | 31 ± 9 | 14 ± 7 | 59 ± 10 | 79 ± 18 | 93 ± 9 | 91 ± 9 | 89 ± 15 | 62 ± 8 |
| Chlorobenzene | 45 ± 8 | 15 ± 6 | 67 ± 18 | 86 ± 12 | 97 ± 9 | 93 ± 5 | 93 ± 7 | 71 ± 7 |
| m, p-Xylene | 64 ± 9 | 27 ± 11 | 78 ± 10 | 91 ± 14 | 99 ± 10 | 98 ± 2 | 96 ± 5 | 77 ± 10 |
| o-Xylene | 72 ± 11 | 26 ± 13 | 78 ± 12 | 92 ± 17 | 93 ± 9 | 95 ± 8 | 97 ± 9 | 78 ± 9 |
| 1,3-Dichlorobenzene | 77 ± 13 | 37 ± 15 | 93 ± 18 | 98 ± 10 | 98 ± 7 | 98 ± 2 | 97 ± 11 | 87 ± 7 |
| KF (mg/L) | n | R2 | APE (%) | χ2 | |
|---|---|---|---|---|---|
| Trichloroethylene | |||||
| Coffee waste | 0.026 | 0.83 | 0.99 | 2.9 | 3.1 × 10-5 |
| Grape waste | 0.012 | 0.79 | 0.99 | 5 | 1.8 × 10-5 |
| Lemon peel | 0.009 | 0.61 | 0.97 | 22 | 1.3 × 10-5 |
| p-Xylene | |||||
| Coffee waste | 0.11 | 0.98 | 0.99 | 0.91 | 1.2 × 10-5 |
| Grape waste | 0.051 | 0.89 | 0.98 | 0.86 | 3.4 × 10-6 |
| Lemon peel | 0.012 | 1.1 | 0.97 | 8 | 1.1 × 10-3 |
© 2019 by the authors. Licensee MDPI, Basel, Switzerland. This article is an open access article distributed under the terms and conditions of the Creative Commons Attribution (CC BY) license (http://creativecommons.org/licenses/by/4.0/).
Share and Cite
Frezzini, M.A.; Massimi, L.; Astolfi, M.L.; Canepari, S.; Giuliano, A. Food Waste Materials as Low-Cost Adsorbents for the Removal of Volatile Organic Compounds from Wastewater. Materials 2019, 12, 4242. https://doi.org/10.3390/ma12244242
Frezzini MA, Massimi L, Astolfi ML, Canepari S, Giuliano A. Food Waste Materials as Low-Cost Adsorbents for the Removal of Volatile Organic Compounds from Wastewater. Materials. 2019; 12(24):4242. https://doi.org/10.3390/ma12244242
Chicago/Turabian StyleFrezzini, Maria Agostina, Lorenzo Massimi, Maria Luisa Astolfi, Silvia Canepari, and Antonella Giuliano. 2019. "Food Waste Materials as Low-Cost Adsorbents for the Removal of Volatile Organic Compounds from Wastewater" Materials 12, no. 24: 4242. https://doi.org/10.3390/ma12244242
APA StyleFrezzini, M. A., Massimi, L., Astolfi, M. L., Canepari, S., & Giuliano, A. (2019). Food Waste Materials as Low-Cost Adsorbents for the Removal of Volatile Organic Compounds from Wastewater. Materials, 12(24), 4242. https://doi.org/10.3390/ma12244242

