PffBT4T-2OD Based Solar Cells with Aryl-Substituted N-Methyl-Fulleropyrrolidine Acceptors
Abstract
1. Introduction
2. Materials and Methods
2.1. Materials
2.2. NMR Spectroscopy
2.3. Preparation of Compounds 60a, 60b, 60c, 70a, 70b and 70c
2.4. Preparation of Compounds 60d and 70d
2.5. Cyclic Voltammetry
2.6. Ab Initio DFT Calculations
2.7. Absorption Spectroscopy
2.8. Device Fabrication
2.9. Device Performance Characterization
2.10. Morphological Characterization Using Atomic Force Microscopy (AFM)
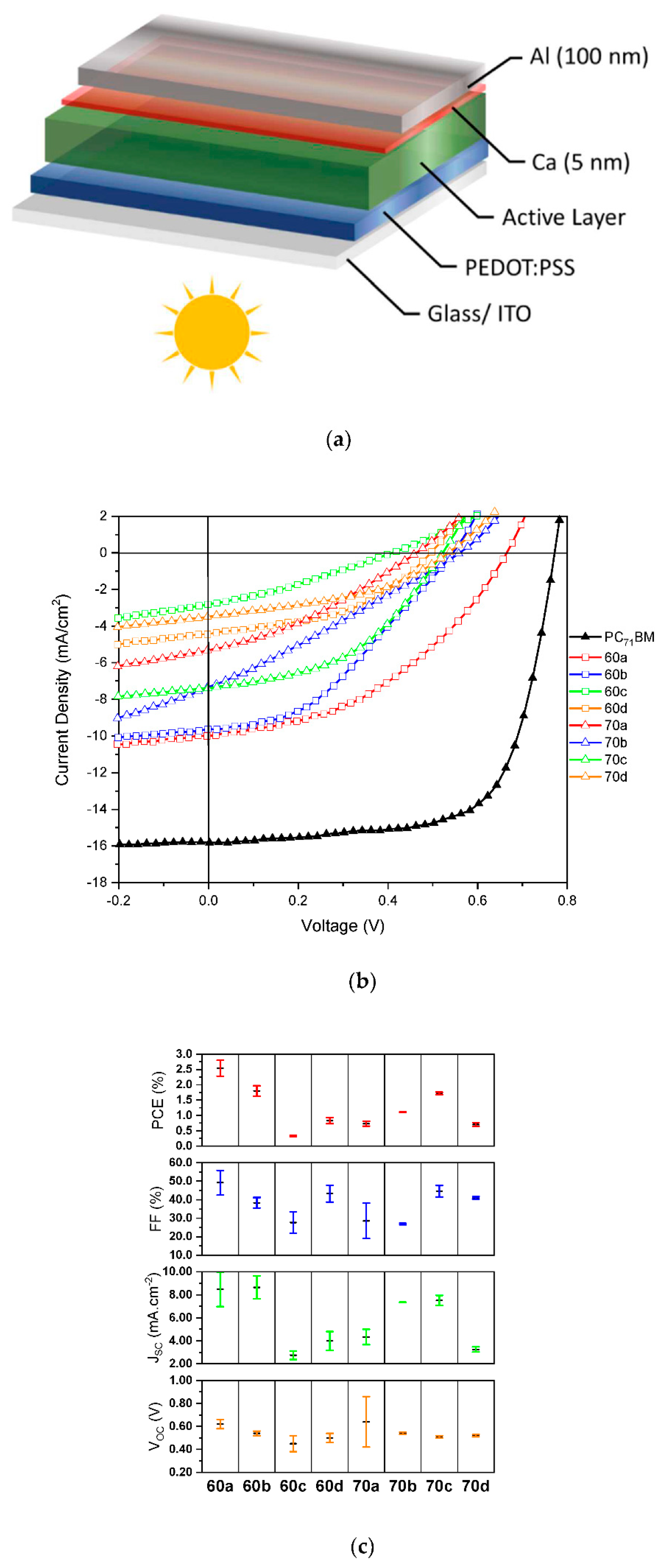
3. Results and Discussion
4. Conclusions
Supplementary Materials
Author Contributions
Funding
Acknowledgments
Conflicts of Interest
References
- Gaspar, H.; Figueira, F.; Pereira, L.; Mendes, A.; Viana, C.J.; Bernardo, G. Recent Developments in the Optimization of the Bulk Heterojunction Morphology of Polymer: Fullerene Solar Cells. Materials 2018, 11, 2560. [Google Scholar] [CrossRef]
- Zhang, J.Q.; Tan, H.S.; Guo, X.G.; Facchetti, A.; Yan, H. Material insights and challenges for non-fullerene organic solar cells based on small molecular acceptors. Nat. Energy 2018, 3, 720–731. [Google Scholar] [CrossRef]
- Cheng, P.; Li, G.; Zhan, X.W.; Yang, Y. Next-generation organic photovoltaics based on non-fullerene acceptors. Nat. Photonics 2018, 12, 131–142. [Google Scholar] [CrossRef]
- Hou, J.H.; Inganas, O.; Friend, R.H.; Gao, F. Organic solar cells based on non-fullerene acceptors. Nat. Mater. 2018, 17, 119–128. [Google Scholar] [CrossRef] [PubMed]
- Ganesamoorthy, R.; Sathiyan, G.; Sakthivel, P. Review: Fullerene based acceptors for efficient bulk heterojunction organic solar cell applications. Sol. Energy Mater. Sol. Cells 2017, 161, 102–148. [Google Scholar] [CrossRef]
- Sondergaard, R.; Hosel, M.; Angmo, D.; Larsen-Olsen, T.T.; Krebs, F.C. Roll-to-roll fabrication of polymer solar cells. Mater. Today 2012, 15, 36–49. [Google Scholar] [CrossRef]
- Xiao, Z.; Jia, X.; Ding, L.M. Ternary organic solar cells offer 14% power conversion efficiency. Sci. Bull. 2017, 62, 1562–1564. [Google Scholar] [CrossRef]
- Li, S.S.; Ye, L.; Zhao, W.C.; Yan, H.P.; Yang, B.; Liu, D.L.; Li, W.N.; Ade, H.; Hou, J.H. A Wide Band Gap Polymer with a Deep Highest Occupied Molecular Orbital Level Enables 14.2% Efficiency in Polymer Solar Cells. J. Am. Chem. Soc. 2018, 140, 7159–7167. [Google Scholar] [CrossRef]
- Cui, Y.; Yao, H.F.; Zhang, J.Q.; Zhang, T.; Wang, Y.M.; Hong, L.; Xian, K.H.; Xu, B.W.; Zhang, S.Q.; Peng, J.; et al. Over 16% efficiency organic photovoltaic cells enabled by a chlorinated acceptor with increased open-circuit voltages. Nat. Commun. 2019, 10, 8. [Google Scholar] [CrossRef]
- Meng, L.X.; Zhang, Y.M.; Wan, X.J.; Li, C.X.; Zhang, X.; Wang, Y.B.; Ke, X.; Xiao, Z.; Ding, L.M.; Xia, R.X.; et al. Organic and solution-processed tandem solar cells with 17.3% efficiency. Science 2018, 361, 1094–1098. [Google Scholar] [CrossRef]
- Zhang, S.Q.; Ye, L.; Zhao, W.C.; Liu, D.L.; Yao, H.F.; Hou, J.H. Side Chain Selection for Designing Highly Efficient Photovoltaic Polymers with 2D-Conjugated Structure. Macromolecules 2014, 47, 4653–4659. [Google Scholar] [CrossRef]
- Ma, W.; Yang, G.F.; Jiang, K.; Carpenter, J.H.; Wu, Y.; Meng, X.Y.; McAfee, T.; Zhao, J.B.; Zhu, C.H.; Wang, C.; et al. Influence of Processing Parameters and Molecular Weight on the Morphology and Properties of High-Performance PffBT4T-2OD:PC71BM Organic Solar Cells. Adv. Energy Mater. 2015, 5, 9. [Google Scholar] [CrossRef]
- Liu, Y.; Zhao, J.; Li, Z.; Mu, C.; Ma, W.; Hu, H.; Jiang, K.; Lin, H.; Ade, H.; Yan, H. Aggregation and morphology control enables multiple cases of high-efficiency polymer solar cells. Nat. Commun. 2014, 5, 5293. [Google Scholar] [CrossRef] [PubMed]
- Zhang, Y.; Parnell, A.J.; Pontecchiani, F.; Cooper, J.F.K.; Thompson, R.L.; Jones, R.A.L.; King, S.M.; Lidzey, D.G.; Bernardo, G. Understanding and controlling morphology evolution via DIO plasticization in PffBT4T-2OD/PC71BM devices. Sci. Rep. 2017, 7, 44269. [Google Scholar] [CrossRef]
- Zhang, Y.W.; Parnell, A.J.; Blaszczyk, O.; Musser, A.J.; Samuel, I.D.W.; Lidzey, D.G.; Bernardo, G. Effect of fullerene acceptor on the performance of solar cells based on PffBT4T-2OD. Phys. Chem. Chem. Phys. 2018, 20, 19023–19029. [Google Scholar] [CrossRef]
- Umeyama, T.; Igarashi, K.; Sakamaki, D.; Seki, S.; Imahori, H. Unique cohesive nature of the β1-isomer of [70]PCBM fullerene on structures and photovoltaic performances of bulk heterojunction films with PffBT4T-2OD polymers. Chem. Commun. 2018, 54, 405–408. [Google Scholar] [CrossRef]
- Kang, H.; Kim, G.; Kim, J.; Kwon, S.; Kim, H.; Lee, K. Bulk-Heterojunction Organic Solar Cells: Five Core Technologies for Their Commercialization. Adv. Mater. 2016, 28, 7821–7861. [Google Scholar] [CrossRef]
- Brabec, C.J.; Heeney, M.; McCulloch, I.; Nelson, J. Influence of blend microstructure on bulk heterojunction organic photovoltaic performance. Chem. Soc. Rev. 2011, 40, 1185–1199. [Google Scholar] [CrossRef]
- Hoppe, H.; Sariciftci, N.S. Morphology of polymer/fullerene bulk heterojunction solar cells. J. Mater. Chem. 2006, 16, 45–61. [Google Scholar] [CrossRef]
- Hummelen, J.C.; Knight, B.W.; Lepeq, F.; Wudl, F.; Yao, J.; Wilkins, C.L. Preparation and characterization of fulleroid and methanofullerene derivatives. J. Org. Chem. 1995, 60, 532–538. [Google Scholar] [CrossRef]
- Yu, G.; Gao, J.; Hummelen, J.C.; Wudl, F.; Heeger, A.J. Polymer photovoltaic cells-Enhanced efficiencies via a network of internal donor-acceptor heterojunctions. Science 1995, 270, 1789–1791. [Google Scholar] [CrossRef]
- Wienk, M.M.; Kroon, J.M.; Verhees, W.J.H.; Knol, J.; Hummelen, J.C.; van Hal, P.A.; Janssen, R.A.J. Efficient methano 70 fullerene/MDMO-PPV bulk heterojunction photovoltaic cells. Angew. Chem. Int. Ed. 2003, 42, 3371–3375. [Google Scholar] [CrossRef] [PubMed]
- Williams, M.; Tummala, N.R.; Aziz, S.G.; Risko, C.; Bredas, J.L. Influence of Molecular Shape on Solid-State Packing in Disordered PC61BM and PC71BM Fullerenes. J. Phys. Chem. Lett. 2014, 5, 3427–3433. [Google Scholar] [CrossRef]
- Zhang, F.J.; Zhuo, Z.L.; Zhang, J.; Wang, X.; Xu, X.W.; Wang, Z.X.; Xin, Y.S.; Wang, J.; Tang, W.H.; Xu, Z.; et al. Influence of PC60BM or PC70BM as electron acceptor on the performance of polymer solar cells. Sol. Energy Mater. Sol. Cells 2012, 97, 71–77. [Google Scholar] [CrossRef]
- Zhao, J.; Zhao, S.L.; Xu, Z.; Qiao, B.; Huang, D.; Zhao, L.; Li, Y.; Zhu, Y.Q.; Wang, P. Revealing the Effect of Additives with Different Solubility on the Morphology and the Donor Crystalline Structures of Organic Solar Cells. ACS Appl. Mater. Interfaces 2016, 8, 18231–18237. [Google Scholar] [CrossRef]
- Vidal, S.; Izquierdo, M.; Law, W.K.; Jiang, K.; Filippone, S.; Perles, J.; Yan, H.; Martín, N. Photochemical site-selective synthesis of [70]methanofullerenes. Chem. Commun. 2016, 52, 12733–12736. [Google Scholar] [CrossRef]
- Liu, Z.Q. Modification on Fullerene. Curr. Org. Synth. 2017, 14, 999–1021. [Google Scholar] [CrossRef]
- Kausar, A. Advances in Polymer/Fullerene Nanocomposite: A Review on Essential Features and Applications. Polym. Plast. Technol. Eng. 2017, 56, 594–605. [Google Scholar] [CrossRef]
- Chen, M.; Guan, R.; Yang, S. Hybrids of Fullerenes and 2D Nanomaterials. Adv. Sci. 2019, 6, 1800941. [Google Scholar] [CrossRef]
- Li, C.-Z.; Yip, H.-L.; Jen, A.K.Y. Functional fullerenes for organic photovoltaics. J. Mater. Chem. 2012, 22, 4161–4177. [Google Scholar] [CrossRef]
- Grimme, S.; Brandenburg, J.G.; Bannwarth, C.; Hansen, A. Consistent structures and interactions by density functional theory with small atomic orbital basis sets. J. Chem. Phys. 2015, 143, 054107. [Google Scholar] [CrossRef] [PubMed]
- Karton, A.; Waite, S.L.; Page, A.J. Performance of DFT for C60 Isomerization Energies: A Noticeable Exception to Jacob’s Ladder. J. Phys. Chem. A 2019, 123, 257–266. [Google Scholar] [CrossRef] [PubMed]
- Wang, H.; He, Y.; Li, Y.; Su, H. Photophysical and Electronic Properties of Five PCBM-like C60 Derivatives: Spectral and Quantum Chemical View. J. Phys. Chem. A 2012, 116, 255–262. [Google Scholar] [CrossRef] [PubMed]
- Beu, T.A.; Onoe, J.; Hida, A. First-principles calculations of the electronic structure of one-dimensional C-60 polymers. Phys. Rev. B 2005, 72, 155416. [Google Scholar] [CrossRef]
- Neese, F. The ORCA program system. Wiley Interdiscip. Rev. Comput. Mol. Sci. 2012, 2, 73–78. [Google Scholar] [CrossRef]
- Prato, M.; Maggini, M.; Giacometti, C.; Scorrano, G.; Sandona, G.; Farnia, G. Synthesis and electrochemical properties of substituted fulleropyrrolidines. Tetrahedron 1996, 52, 5221–5234. [Google Scholar] [CrossRef]
- Urbani, M.; Pelado, B.; de la Cruz, P.; Yamanaka, K.-I.; Ito, O.; Langa, F. Synthesis and Photoinduced Energy- and Electron-Transfer Processes of C60–Oligothienylenevinylene–C70 Dumbbell Compounds. Chem. A Eur. J. 2011, 17, 5432–5444. [Google Scholar] [CrossRef]
- Lu, L.Y.; Chen, W.; Xu, T.; Yu, L.P. High-performance ternary blend polymer solar cells involving both energy transfer and hole relay processes. Nat. Commun. 2015, 6, 7327. [Google Scholar] [CrossRef]
- Pan, M.-A.; Lau, T.-K.; Tang, Y.; Wu, Y.-C.; Liu, T.; Li, K.; Chen, M.-C.; Lu, X.; Ma, W.; Zhan, C. 16.7%-efficiency ternary blended organic photovoltaic cells with PCBM as the acceptor additive to increase the open-circuit voltage and phase purity. J. Mater. Chem. A 2019, 7, 20713–20722. [Google Scholar] [CrossRef]
- Langa, F.; de la Cruz, P.; de la Hoz, A.; Espíldora, E.; Cossío, F.P.; Lecea, B. Modification of Regioselectivity in Cycloadditions to C70 under Microwave Irradiation. J. Org. Chem. 2000, 65, 2499–2507. [Google Scholar] [CrossRef]
- Umeyama, T.; Imahori, H. Isomer Effects of Fullerene Derivatives on Organic Photovoltaics and Perovskite Solar Cells. Acc. Chem. Res. 2019, 52, 2046–2055. [Google Scholar] [CrossRef]
- Umeyama, T.; Takahara, S.; Shibata, S.; Igarashi, K.; Higashino, T.; Mishima, K.; Yamashita, K.; Imahori, H. cis-1 Isomers of tethered bismethano 70 fullerene as electron acceptors in organic photovoltaics. Rsc Adv. 2018, 8, 18316–18326. [Google Scholar] [CrossRef]
- Umeyama, T.; Shibata, S.; Igarashi, K.; Takahara, S.; Higashino, T.; Seki, S.; Imahori, H. Enantiomerically Separated α-[70]PCBM for Organic Photovoltaics. Chem. Lett. 2017, 46, 1001–1003. [Google Scholar] [CrossRef]
- Umeyama, T.; Miyata, T.; Jakowetz, A.C.; Shibata, S.; Kurotobi, K.; Higashino, T.; Koganezawa, T.; Tsujimoto, M.; Gélinas, S.; Matsuda, W.; et al. Regioisomer effects of [70]fullerene mono-adduct acceptors in bulk heterojunction polymer solar cells. Chem. Sci. 2017, 8, 181–188. [Google Scholar] [CrossRef] [PubMed]
- Mihailetchi, V.D.; Wildeman, J.; Blom, P.W.M. Space-Charge Limited Photocurrent. Phys. Rev. Lett. 2005, 94, 126602. [Google Scholar] [CrossRef] [PubMed]
- He, Y.J.; Chen, H.Y.; Zhao, G.J.; Hou, J.H.; Li, Y.F. Biindene-C-60 adducts for the application as acceptor in polymer solar cells with higher open-circuit-voltage. Sol. Energy Mater. Sol. Cells 2011, 95, 899–903. [Google Scholar] [CrossRef]
- Kim, H.U.; Mi, D.; Kim, J.H.; Park, J.B.; Yoon, S.C.; Yoon, U.C.; Hwang, D.H. Carbazole-containing fullerene derivatives for P3HT-based bulk-heterojunction solar cells. Sol. Energy Mater. Sol. Cells 2012, 105, 6–14. [Google Scholar] [CrossRef]
- Tseng, N.-W.; Yu, Y.; Li, Y.; Zhao, J.; So, S.K.; Yan, H.; Ng, K.M. Isobenzofulvene-fullerene mono-adducts for organic photovoltaic applications. J. Mater. Chem. C 2015, 3, 977–980. [Google Scholar] [CrossRef]
- Liu, G.X.; Cao, T.T.; Xia, Y.J.; Song, B.; Zhou, Y.; Chen, N.; Li, Y.F. Dihydrobenzofuran-C-60 bisadducts as electron acceptors in polymer solar cells: Effect of alkyl substituents. Synth. Met. 2016, 215, 176–183. [Google Scholar] [CrossRef]
- Kitaura, S.; Kurotobi, K.; Sato, M.; Takano, Y.; Umeyama, T.; Imahori, H. Effects of dihydronaphthyl-based 60 fullerene bisadduct regioisomers on polymer solar cell performance. Chem. Commun. 2012, 48, 8550–8552. [Google Scholar] [CrossRef]
- Nisic, F.; Colombo, A.; Dragonetti, C.; Cominetti, A.; Pellegrino, A.; Perin, N.; Po, R.; Tacca, A. Novel Terthiophene-Substituted Fullerene Derivatives as Easily Accessible Acceptor Molecules for Bulk-Heterojunction Polymer Solar Cells. Int. J. Photoenergy 2014. [Google Scholar] [CrossRef]
- Choi, J.H.; Son, K.I.; Kim, T.; Kim, K.; Ohkubo, K.; Fukuzumi, S. Thienyl-substituted methanofullerene derivatives for organic photovoltaic cells. J. Mater. Chem. 2010, 20, 475–482. [Google Scholar] [CrossRef]
- Tao, R.; Umeyama, T.; Kurotobi, K.; Imahori, H. Effects of Alkyl Chain Length and Substituent Pattern of Fullerene Bis-Adducts on Film Structures and Photovoltaic Properties of Bulk Heterojunction Solar Cells. ACS Appl. Mater. Interfaces 2014, 6, 17313–17322. [Google Scholar] [CrossRef]
- Liang, Y.L.; Hao, Y.J.; Liu, X.D.; Feng, L.; Chen, M.Z.; Tang, Q.Q.; Chen, N.; Tang, M.L.; Sun, B.B.; Zhou, Y.; et al. Efficiency enhancement from 60 fulleropyrrolidine-based polymer solar cells through N-substitution manipulation. Carbon 2015, 92, 185–192. [Google Scholar] [CrossRef]
- Yamane, S.; Mizukado, J.; Takahashi, T.; Suzuki, Y.; Sakurai, M.; Hagihara, H.; Suda, H. Fulleropyrrolidine Derivatives with Benzophenone Moiety as Electron Acceptors in Thermally Stable Organic Photovoltaic Devices. Chem. Lett. 2015, 44, 527–529. [Google Scholar] [CrossRef]
- Costa, J.C.S.; Taveira, R.J.S.; Lima, C.F.R.A.C.; Mendes, A.; Santos, L.M.N.B.F. Optical band gaps of organic semiconductor materials. Opt. Mater. 2016, 58, 51–60. [Google Scholar] [CrossRef]
- Trindade, A.J.; Pereira, L. Bulk Heterojunction Organic Solar Cell Area-Dependent Parameter Fluctuation. Int. J. Photoenergy 2017, 2017, 10. [Google Scholar] [CrossRef]
- Brabec, C.J.; Cravino, A.; Meissner, D.; Sariciftci, N.S.; Fromherz, T.; Rispens, M.T.; Sanchez, L.; Hummelen, J.C. Origin of the open circuit voltage of plastic solar cells. Adv. Funct. Mater. 2001, 11, 374–380. [Google Scholar] [CrossRef]
- Cowan, S.R.; Roy, A.; Heeger, A.J. Recombination in polymer-fullerene bulk heterojunction solar cells. Phys. Rev. B 2010, 82, 245207. [Google Scholar] [CrossRef]
- Wu, Y.; Wang, Z.Y.; Meng, X.Y.; Ma, W. Morphology Analysis of Organic Solar Cells with Synchrotron Radiation Based Resonant Soft X-Ray Scattering. Prog. Chem. 2017, 29, 93–101. [Google Scholar] [CrossRef]
- Hollamby, M.J. Practical applications of small-angle neutron scattering. Phys. Chem. Chem. Phys. 2013, 15, 10566–10579. [Google Scholar] [CrossRef]
- Muller-Buschbaum, P. The Active Layer Morphology of Organic Solar Cells Probed with Grazing Incidence Scattering Techniques. Adv. Mater. 2014, 26, 7692–7709. [Google Scholar] [CrossRef]
- Yan, Y.; Liu, X.; Wang, T. Conjugated-Polymer Blends for Organic Photovoltaics: Rational Control of Vertical Stratification for High Performance. Adv. Mater. 2017, 29, 1601674. [Google Scholar] [CrossRef]
- Bernardo, G.; Deb, N.; King, S.M.; Bucknall, D.G. Phase behavior of blends of PCBM with amorphous polymers with different aromaticity. J. Polym. Sci. Part B Polym. Phys. 2016, 54, 994–1001. [Google Scholar] [CrossRef]
- Bernardo, G.; Bucknal, D.G. Recent Progress in the Understanding and Manipulation of Morphology in Polymer: Fullerene Photovoltaic Cells. In Optoelectronics-Advanced Materials and Devices; Pyshkin, S.L., John, M.B., Eds.; IntechOpen: Rijeka, Croatia, 2013; pp. 207–227. [Google Scholar]
- Treat, N.D.; Varotto, A.; Takacs, C.J.; Batara, N.; Al-Hashimi, M.; Heeney, M.J.; Heeger, A.J.; Wudl, F.; Hawker, C.J.; Chabinyc, M.L. Polymer-Fullerene Miscibility: A Metric for Screening New Materials for High-Performance Organic Solar Cells. J. Am. Chem. Soc. 2012, 134, 15869–15879. [Google Scholar] [CrossRef]
- Zhang, C.; Langner, S.; Mumyatov, A.V.; Anokhin, D.V.; Min, J.; Perea, J.D.; Gerasimov, K.L.; Osvet, A.; Ivanov, D.A.; Troshin, P.; et al. Understanding the correlation and balance between the miscibility and optoelectronic properties of polymer–fullerene solar cells. J. Mater. Chem. A 2017, 5, 17570–17579. [Google Scholar] [CrossRef]
- Long, G.K.; Shi, R.; Zhou, Y.C.; Li, A.L.; Kan, B.; Wu, W.R.; Jeng, U.S.; Xu, T.; Yan, T.Y.; Zhang, M.T.; et al. Molecular Origin of Donor- and Acceptor-Rich Domain Formation in Bulk-Heterojunction Solar Cells with an Enhanced Charge Transport Efficiency. J. Phys. Chem. C 2017, 121, 5864–5870. [Google Scholar] [CrossRef]
- Jamieson, F.C.; Domingo, E.B.; McCarthy-Ward, T.; Heeney, M.; Stingelin, N.; Durrant, J.R. Fullerene crystallisation as a key driver of charge separation in polymer/fullerene bulk heterojunction solar cells. Chem. Sci. 2012, 3, 485–492. [Google Scholar] [CrossRef]
- Credgington, D.; Durrant, J.R. Insights from Transient Optoelectronic Analyses on the Open-Circuit Voltage of Organic Solar Cells. J. Phys. Chem. Lett. 2012, 3, 1465–1478. [Google Scholar] [CrossRef]
- Lange, I.; Kniepert, J.; Pingel, P.; Dumsch, I.; Allard, S.; Janietz, S.; Scherf, U.; Neher, D. Correlation between the Open Circuit Voltage and the Energetics of Organic Bulk Heterojunction Solar Cells. J. Phys. Chem. Lett. 2013, 4, 3865–3871. [Google Scholar] [CrossRef]
- Piersimoni, F.; Chambon, S.; Vandewal, K.; Mens, R.; Boonen, T.; Gadisa, A.; Izquierdo, M.; Filippone, S.; Ruttens, B.; D’Haen, J.; et al. Influence of Fullerene Ordering on the Energy of the Charge-Transfer State and Open-Circuit Voltage in Polymer:Fullerene Solar Cells. J. Phys. Chem. C 2011, 115, 10873–10880. [Google Scholar] [CrossRef]
- Garcia-Belmonte, G. Carrier recombination flux in bulk heterojunction polymer:fullerene solar cells: Effect of energy disorder on ideality factor. Solid State Electron. 2013, 79, 201–205. [Google Scholar] [CrossRef][Green Version]
- Blakesley, J.C.; Neher, D. Relationship between energetic disorder and open-circuit voltage in bulk heterojunction organic solar cells. Phys. Rev. B 2011, 84, 075210. [Google Scholar] [CrossRef]
- Troshin, P.A.; Hoppe, H.; Renz, J.; Egginger, M.; Mayorova, J.Y.; Goryochev, A.E.; Peregudov, A.S.; Lyubovskaya, R.N.; Gobsch, G.; Sariciftci, N.S.; et al. Material Solubility-Photovoltaic Performance Relationship in the Design of Novel Fullerene Derivatives for Bulk Heterojunction Solar Cells. Adv. Funct. Mater. 2009, 19, 779–788. [Google Scholar] [CrossRef]
- Ide, J.; Fazzi, D.; Casalegno, M.; Meille, S.V.; Raos, G. Electron transport in crystalline PCBM-like fullerene derivatives: A comparative computational study. J. Mater. Chem. C 2014, 2, 7313–7325. [Google Scholar] [CrossRef]
- Steiner, F.; Foster, S.; Losquin, A.; Labram, J.; Anthopoulos, T.D.; Frost, J.M.; Nelson, J. Distinguishing the influence of structural and energetic disorder on electron transport in fullerene multi-adducts. Mater. Horiz. 2015, 2, 113–119. [Google Scholar] [CrossRef]
- Lenes, M.; Shelton, S.W.; Sieval, A.B.; Kronholm, D.F.; Hummelen, J.C.; Blom, P.W.M. Electron Trapping in Higher Adduct Fullerene-Based Solar Cells. Adv. Funct. Mater. 2009, 19, 3002–3007. [Google Scholar] [CrossRef]
- Zhang, B.L.; White, J.M.; Jones, D.J.; Wong, W.W.H. Regioselective synthesis of fullerene multiadducts via tether-directed 1,3-dipolar cycloaddition. Org. Biomol. Chem. 2015, 13, 10505–10510. [Google Scholar] [CrossRef]
- Ceron, M.R.; Echegoyen, L. Recent progress in the synthesis of regio-isomerically pure bis-adducts of empty and endohedral fullerenes. J. Phys. Org. Chem. 2016, 29, 613–619. [Google Scholar] [CrossRef]
- Zhang, B.L.; Subbiah, J.; Lai, Y.Y.; White, J.M.; Jones, D.J.; Wong, W.W.H. One-pot selective synthesis of a fullerene bisadduct for organic solar cell applications. Chem. Commun. 2015, 51, 9837–9840. [Google Scholar] [CrossRef]
- Karakawa, M.; Nagai, T. Interfacial Reaction of Fulleropyrrolidines Affecting Organic Photovoltaic Performance. ACS Appl. Mater. Interfaces 2017, 9, 21338–21345. [Google Scholar] [CrossRef]
- Karakawa, M.; Nagai, T.; Adachi, K.; Ie, Y.; Aso, Y. N-phenyl 60 fulleropyrrolidines: Alternative acceptor materials to PC61BM for high performance organic photovoltaic cells. J. Mater. Chem. A 2014, 2, 20889–20895. [Google Scholar] [CrossRef]
- Pitliya, P.; Sun, Y.; Garza, J.C.; Liu, C.; Gong, X.; Karim, A.; Raghavan, D. Synthesis and characterization of novel fulleropyrrolidine in P3HT blended bulk heterojunction solar cells. Polymer 2014, 55, 1769–1781. [Google Scholar] [CrossRef]







| α1 (%) | α2 (%) | β1 (%) | β2 (%) | α:β (%) | |
|---|---|---|---|---|---|
| 70a | 30 | 17 | 27 | 26 | 47:53 |
| 70b | 28 | 21 | 29 | 22 | 49:51 |
| 70c | 36 | 19 | 26 | 19 | 55:45 |
| 70d | 39 | 18 | 24 | 18 | 57:43 |
| HOMO | LUMO | |||||
|---|---|---|---|---|---|---|
| Experimental | Computed | Experimental | Computed | |||
| PC61BM | −5.97 | −5.47 | −3.89 | −3.94 | ||
| 60a | −5.74 | −5.42 | −3.87 | −3.90 | ||
| 60b | −5.72 | −5.38 | −3.86 | −3.87 | ||
| 60c | −5.54 | −5.46 | −3.87 | −3.94 | ||
| 60d | −5.83 | −5.53 | −3.97 | −4.00 | ||
| α | β | α | β | |||
| PC71BM | −5.87 | −5.52 | −5.44 | −3.89 | −3.85 | −3.87 |
| 70a | −5.68 | −5.47 | −5.40 | −3.99 | −3.80 | −3.85 |
| 70b | −5.64 | −5.38 | −5.34 | −4.05 | −3.76 | −3.81 |
| 70c | −5.51 | −5.52 | −5.45 | −3.87 | −3.85 | −3.90 |
| 70d | −5.77 | −5.56 | −5.48 | −3.91 | −3.88 | −3.92 |
| PCE (%) | VOC (V) | FF (%) | Jsc (mA/cm2) | |
|---|---|---|---|---|
| PC71BM | 8.41 (8.19 ± 0.24) | 0.77 (0.74 ± 0.02) | 71.2 (69.8 ± 1.7) | 16.42 (15.87 ± 0.40) |
| 60a | 2.84 (2.54 ± 0.26) | 0.66 (0.62 ± 0.04) | 42.9 (49.2 ± 6.7) | 9.96 (8.47 ± 1.51) |
| 60b | 2.04 (1.80 ± 0.17) | 0.54 (0.54 ± 0.02) | 38.8 (38.4 ± 2.8) | 9.65 (8.65 ± 1.00) |
| 60c | 0.36 (0.33 ± 0.02) | 0.56 (0.45 ± 0.07) | 20.5 (27.7 ± 5.9) | 2.80 (2.74 ± 0.38) |
| 60d | 0.98 (0.83 ± 0.10) | 0.50 (0.50 ± 0.04) | 44.8 (43.3 ± 4.5) | 4.41 (3.98 ± 0.82) |
| 70a | 0.82 (0.73 ± 0.08) | 0.54 (0.64 ± 0.22) | 28.6 (28.6 ± 9.6) | 5.30 (4.32 ± 0.67) |
| 70b | 1.12 (1.11 ± 0.01) | 0.56 (0.54 ± 0.01) | 27.2 (26.9 ± 0.4) | 7.33 (7.34 ± 0.02) |
| 70c | 1.76 (1.72 ± 0.04) | 0.52 (0.51 ± 0.01) | 45.9 (44.6 ± 3.1) | 7.36 (7.50 ± 0.44) |
| 70d | 0.77 (0.70 ± 0.06) | 0.54 (0.52 ± 0.01) | 41.1 (41.1 ± 0.6) | 3.48 (3.24 ± 0.23) |
| Jph (mA/cm2) | Rs (Ω) | Rp (Ω) | |
|---|---|---|---|
| PC71BM | 15.66 | 159 | 9.72 × 104 |
| 60a | 10.20 | 579 | 2.00 × 104 |
| 60b | 9.64 | 475 | 1.69 × 104 |
| 60c | 3.67 | 3724 | 1.00 × 104 |
| 60d | 4.76 | 866 | 1.49 × 104 |
| 70a | 5.98 | 1771 | 0.84 × 104 |
| 70b | 7.93 | 1028 | 0.56 × 104 |
| 70c | 7.69 | 587 | 2.04 × 104 |
| 70d | 3.67 | 1139 | 1.55 × 104 |
© 2019 by the authors. Licensee MDPI, Basel, Switzerland. This article is an open access article distributed under the terms and conditions of the Creative Commons Attribution (CC BY) license (http://creativecommons.org/licenses/by/4.0/).
Share and Cite
Gaspar, H.; Figueira, F.; Strutyński, K.; Melle-Franco, M.; Ivanou, D.; Tomé, J.P.C.; Pereira, C.M.; Pereira, L.; Mendes, A.; Viana, J.C.; et al. PffBT4T-2OD Based Solar Cells with Aryl-Substituted N-Methyl-Fulleropyrrolidine Acceptors. Materials 2019, 12, 4100. https://doi.org/10.3390/ma12244100
Gaspar H, Figueira F, Strutyński K, Melle-Franco M, Ivanou D, Tomé JPC, Pereira CM, Pereira L, Mendes A, Viana JC, et al. PffBT4T-2OD Based Solar Cells with Aryl-Substituted N-Methyl-Fulleropyrrolidine Acceptors. Materials. 2019; 12(24):4100. https://doi.org/10.3390/ma12244100
Chicago/Turabian StyleGaspar, Hugo, Flávio Figueira, Karol Strutyński, Manuel Melle-Franco, Dzmitry Ivanou, João P. C. Tomé, Carlos M. Pereira, Luiz Pereira, Adélio Mendes, Júlio C. Viana, and et al. 2019. "PffBT4T-2OD Based Solar Cells with Aryl-Substituted N-Methyl-Fulleropyrrolidine Acceptors" Materials 12, no. 24: 4100. https://doi.org/10.3390/ma12244100
APA StyleGaspar, H., Figueira, F., Strutyński, K., Melle-Franco, M., Ivanou, D., Tomé, J. P. C., Pereira, C. M., Pereira, L., Mendes, A., Viana, J. C., & Bernardo, G. (2019). PffBT4T-2OD Based Solar Cells with Aryl-Substituted N-Methyl-Fulleropyrrolidine Acceptors. Materials, 12(24), 4100. https://doi.org/10.3390/ma12244100

