The Effects of Aluminum-Nitride Nano-Fillers on the Mechanical, Electrical, and Thermal Properties of High Temperature Vulcanized Silicon Rubber for High-Voltage Outdoor Insulator Applications
Abstract
:1. Introduction
2. Materials and Methods
3. Results and Discussions
3.1. Microstructures
3.2. Mechanical Properties
3.3. Electrical Properties
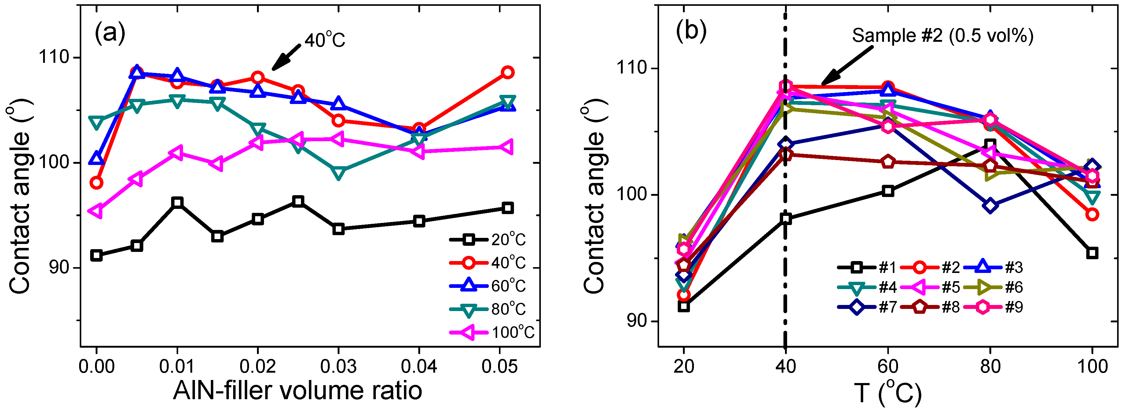
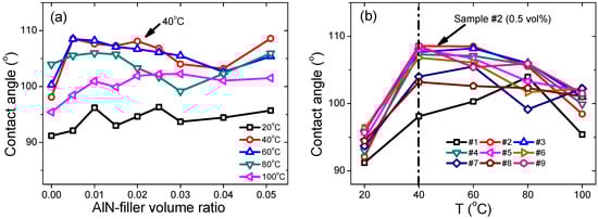
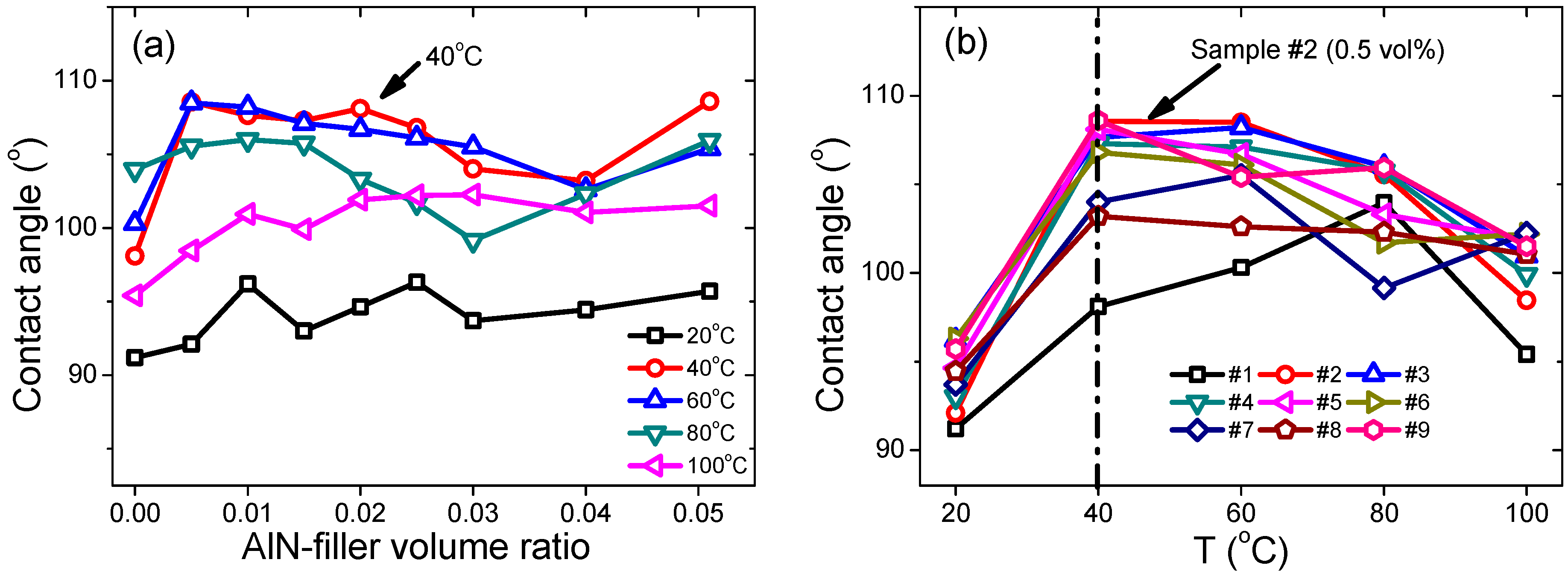
3.4. Hydrophobic Properties
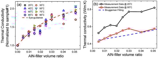
3.5. Thermal Properties
3.6. Dielectric Properties
4. Conclusions
Author Contributions
Funding
Conflicts of Interest
References
- Li, S.; Yu, S.; Feng, Y. Progress in and prospects for electrical insulating materials. High Volt. 2016, 1, 122–129. [Google Scholar] [CrossRef]
- Song, W.; Shen, W.; Zhang, G.; Song, B.; Lang, Y.; Su, G.; Mu, H.; Deng, J. Aging characterization of high temperature vulcanized silicone rubber housing material used for outdoor insulation. IEEE Trans. Diel. Electr. Insul. 2015, 22, 961–969. [Google Scholar] [CrossRef]
- Ansorge, S.; Schmuch, F.; Papailiou, K.O. Impact of different fillers and filler treatments on the erosion suppression mechanism of silicone rubber for use as outdoor insulation material. IEEE Trans. Diel. Electr. Insul. 2015, 22, 979–989. [Google Scholar]
- Xue, Y.; Li, X.; Zhang, D.; Wang, H.; Chen, Y.; Chen, Y. Comparison of ATH and SiO2 fillers filled silicone rubber composites for HTV insulators. Compos. Sci. Technol. 2018, 155, 137–143. [Google Scholar] [CrossRef]
- Liu, P.; Li, L.; Wang, L.; Huang, T.; Yao, Y.; Xu, W. Effects of 2D boron nitride (BN) nanoplates filler on the thermal, electrical, mechanical and dielectric properties of high temperature vulcanized silicone rubber for composite insulators. J. Alloy. Compd. 2019, 774, 396–404. [Google Scholar]
- Huang, X.; Jiang, P.; Tanaka, T. A review of dielectric polymer composites with high thermal conductivity. IEEE Electr. Insul. Mag. 2011, 27, 8–16. [Google Scholar] [CrossRef]
- Choi, S.; Kim, J. Thermal conductivity of epoxy composites with a binary-particle system of aluminum oxide and aluminum nitride fillers. Compos. B 2013, 51, 140–147. [Google Scholar] [CrossRef]
- Huang, X.; Iizuka, T.; Jiang, P.; Ohki, Y.; Tanaka, T. Role of Interface on the thermal conductivity of highly filled dielectric epoxy/AlN composites. J. Phys. Chem. C 2012, 116, 13629–13639. [Google Scholar]
- Kim, K.; Kim, M.; Hwang, Y.; Kim, J. Chemically modified boron nitride-epoxy terminated dimethylsiloxane composite for improving the thermal conductivity. Ceram. Int. 2014, 40, 2047–2056. [Google Scholar]
- Tian, L.; Wang, Y.; Jin, E.; Li, Y.; Wang, R.; Shang, Y. Aluminum nitride-filled elastic silicone rubber composites for drag reduction. Adv. Mech. Eng. 2017, 9, 1–9. [Google Scholar]
- Nazir, M.T.; Phung, B.T.; Hoffman, M.; Yu, S.; Li, S. Micro-AlN/nano-SiO2 co-filled silicone rubber composites with high thermal stability and excellent dielectric properties. Mater. Lett. 2017, 209, 421–424. [Google Scholar]
- Wang, X.; Wu, P. Melamine foam-supported 3D interconnected boron nitride nanosheets network encapsulated in epoxy to achieve significant thermal conductivity enhancement at an ultralow filler loading. Chem. Eng. J. 2018, 348, 723–731. [Google Scholar]
- Li, Z.; Ju, D.; Han, L.; Dong, L. Formation of more efficient thermally conductive pathways due to the synergistic effect of boron nitride and alumina in poly(3-hydroxylbutyrate). Thermochim. Acta 2017, 652, 9–16. [Google Scholar] [CrossRef]
- Hong, H.; Kim, J.U.; Kim, T. Effective assembly of nano-ceramic materials for high and anisotropic thermal conductivity in a polymer composite. Polymers 2017, 9, 413. [Google Scholar]
- Namitha, L.K.; Ananthakumar, S.; Sebastian, M.T. Aluminum nitride filled flexible silicone rubber composites for microwave substrate applications. J. Mater. Sci. Mater. Electron. 2014. [Google Scholar] [CrossRef]
- Chiu, H.T.; Sukachonmakul, T.; Wang, C.H.; Wattanakul, K.; Guo, M.T.; Wang, Y.H. Fabrication and characterization of silicon-based ceramic/aluminum nitride as thermally conductive hybrid filler in silicone rubber composite. Mater. Chem. Phys. 2014, 147, 11–16. [Google Scholar] [CrossRef]
- Nazir, M.T.; Phung, B.T.; Li, S.; Yu, S. Comparative AC tracking and erosion resistance of micro-AlN and BN filled silicone rubber composites. In Proceedings of the 1st International Conference on Electrical Materials and Power Equipment, Xi’an, China, 14–17 May 2017. [Google Scholar]
- Lu, D.; Wong, C. Materials for Advanced Packaging; Springer: Berlin/Heidelberg, Germany, 2009; pp. 442–463. [Google Scholar]
- Peng, H.; Ren, H.; Dang, M.; Zhang, Y.; Gu, Z.; Yao, X.; Lin, H. The dimensional effect of MgTiO3 ceramic filler on the microwave dielectric properties of PTFE/MgTiO3 composite with ultra-low dielectric loss. J. Mater. Sci. Mater. Electron. 2019, 30, 6680–6687. [Google Scholar]
- Fu, S.Y.; Feng, X.W.; Lauke, B.; Cai, Y.W. Effects of particle size, particle/matrix interface adhesion and particle loading on mechanical properties of particulate-polymer composites. Compos. B 2008, 39, 933–961. [Google Scholar]
- Hu, P.; Gao, S.; Zhang, Y.; Zhang, L.; Wang, C. Surface modified BaTiO3 nanoparticles by titanate coupling agent induce significantly enhanced breakdown strength and larger energy density in PVDF nanocomposite. Compos. Sci. Technol. 2018, 156, 109–116. [Google Scholar] [CrossRef]
- Ding, S.; Yu, S.; Zhu, X.; Xie, S.; Sun, R.; Liao, W.H.; Wong, C.P. Enhanced breakdown strength of polymer composites by low filler loading and its mechanisms. Appl. Phys. Lett. 2017, 111, 153902. [Google Scholar]
- Du, B.X.; Xiao, M. Thermal accumulation and tracking failure process of BN-filler epoxy-matrix composite. IEEE Trans. Diel. Electr. Insul. 2013, 20, 2270–2276. [Google Scholar]
- Li, Q.; Chen, L.; Gadinski, M.R.; Zhang, S.; Zhang, G.; Li, H.U.; Iagodkine, E.; Haque, A.; Chen, L.Q.; Jackson, T.N.; et al. Flexible high-temperature dielectric materials from polymer nanocomposites. Nature 2015, 523, 576–579. [Google Scholar] [PubMed]
- Sundstrom, D.W.; Lee, Y.D. Thermal conductivity of polymers filled with particulate solids. J. Appl. Polym. Sci. 1972, 16, 3159–3167. [Google Scholar] [CrossRef]
- Wong, C.P.; Bollampally, R.S. Thermal conductivity, elastic modulus, and coefficient of thermal expansion of polymer composites filled with ceramic particles for electronic packaging. J. Appl. Polym. Sci. 1999, 74, 3396–3403. [Google Scholar] [CrossRef]
- Wang, J.; Yi, X. Effects of interfacial thermal barrier resistance and particle shape and size on the thermal conductivity of AlN/PI composites. Compos. Sci. Technol. 2004, 64, 1623–1628. [Google Scholar]
- Hsieh, C.; Chung, S. High thermal conductivity epoxy molding compound filled with a combustion synthesized AlN powder. J. Appl. Polym. Sci. 2006, 102, 4734–4740. [Google Scholar] [CrossRef]
- Rao, Y.; Qu, J.M.; Marinis, T.; Wong, C.P. A precise numerical prediction of effective dielectric constant for polymer-ceramic composite based on effective-medium theory. IEEE Trans. Compos. Packaging Technol. 2000, 23, 680–683. [Google Scholar]
- Hu, Y.; Zhang, Y.; Liu, H.; Zhou, D. Microwave dielectric properties of PTFE/CaTiO3 polymer. Ceram. Int. 2011, 37, 1609–1613. [Google Scholar]












© 2019 by the authors. Licensee MDPI, Basel, Switzerland. This article is an open access article distributed under the terms and conditions of the Creative Commons Attribution (CC BY) license (http://creativecommons.org/licenses/by/4.0/).
Share and Cite
Liu, C.; Xu, Y.; Bi, D.; Luo, B.; Zhang, F.; Wang, T.; Yao, Y.; Lu, S.; Xu, W. The Effects of Aluminum-Nitride Nano-Fillers on the Mechanical, Electrical, and Thermal Properties of High Temperature Vulcanized Silicon Rubber for High-Voltage Outdoor Insulator Applications. Materials 2019, 12, 3562. https://doi.org/10.3390/ma12213562
Liu C, Xu Y, Bi D, Luo B, Zhang F, Wang T, Yao Y, Lu S, Xu W. The Effects of Aluminum-Nitride Nano-Fillers on the Mechanical, Electrical, and Thermal Properties of High Temperature Vulcanized Silicon Rubber for High-Voltage Outdoor Insulator Applications. Materials. 2019; 12(21):3562. https://doi.org/10.3390/ma12213562
Chicago/Turabian StyleLiu, Chang, Yiwen Xu, Daoguang Bi, Bing Luo, Fuzeng Zhang, Tingting Wang, Yingbang Yao, Shengguo Lu, and Wenrong Xu. 2019. "The Effects of Aluminum-Nitride Nano-Fillers on the Mechanical, Electrical, and Thermal Properties of High Temperature Vulcanized Silicon Rubber for High-Voltage Outdoor Insulator Applications" Materials 12, no. 21: 3562. https://doi.org/10.3390/ma12213562
APA StyleLiu, C., Xu, Y., Bi, D., Luo, B., Zhang, F., Wang, T., Yao, Y., Lu, S., & Xu, W. (2019). The Effects of Aluminum-Nitride Nano-Fillers on the Mechanical, Electrical, and Thermal Properties of High Temperature Vulcanized Silicon Rubber for High-Voltage Outdoor Insulator Applications. Materials, 12(21), 3562. https://doi.org/10.3390/ma12213562

