Compositional Engineering of a La1-xBaxCoO3-δ-(1-a) BaZr0.9Y0.1O2.95 (a = 0.6, 0.7, 0.8 and x = 0.5, 0.6, 0.7) Nanocomposite Cathodes for Protonic Ceramic Fuel Cells
Abstract
1. Introduction
2. Materials and Methods
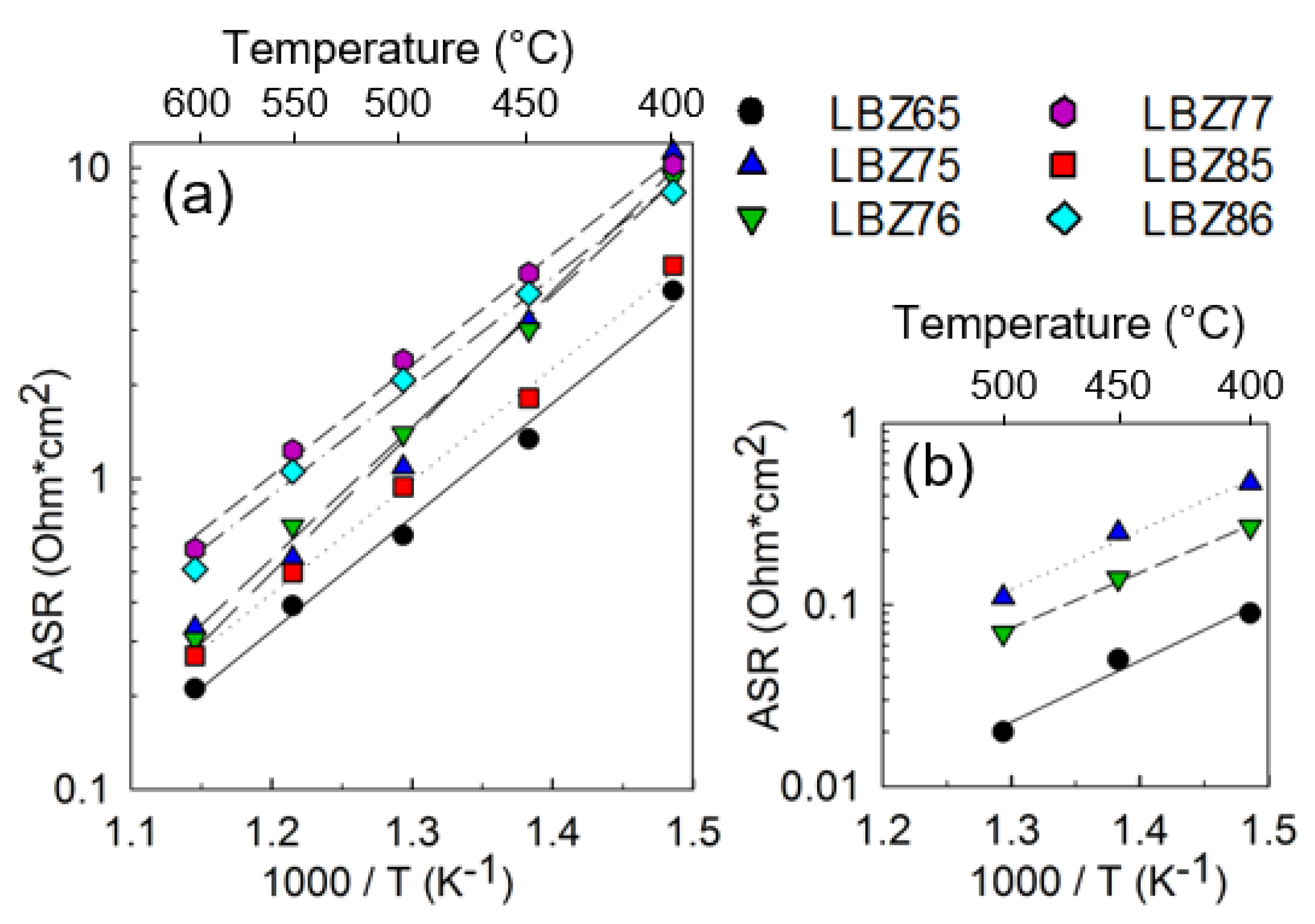
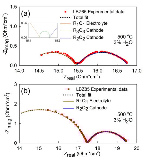
3. Results and Discussion
4. Conclusions
Author Contributions
Funding
Acknowledgments
Conflicts of Interest
References
- Takahashi, T.; Iwahara, H. Ionic conduction in perovskite-type oxide solid solution and its application to solid electrolyte fuel cell. Energy Convers. 1971, 11, 105–111. [Google Scholar] [CrossRef]
- Pergolesi, D.; Fabbri, E.; D’Epifanio, A.; Di Bartolomeo, E.; Tebano, A.; Sanna, S.; Licoccia, S.; Balestrino, G.; Traversa, E. High proton conduction in grain-boundary-free yttrium-doped barium zirconate films grown by pulsed laser deposition. Nat. Mater. 2010, 9, 846–852. [Google Scholar] [CrossRef] [PubMed]
- Nikodemski, S.; Tong, J.; O’Hayre, R. Solid-state reactive sintering mechanism for proton conducting ceramics. Solid State Ion. 2013, 253, 201. [Google Scholar] [CrossRef]
- Kreuer, K.D. On the development of proton conducting materials for technological applications. Solid State Ion. 1997, 97, 1–15. [Google Scholar] [CrossRef]
- Kreuer, K.D. Proton-conducting oxides. Annu. Rev. Mater. Res. 2003, 33, 333–359. [Google Scholar] [CrossRef]
- Fabbri, E.; Pergolesi, D.; Traversa, E. Electrode materials: A challenge for the exploitation of protonic solid oxide fuel cells. Sci. Technol. Adv. Mater. 2010, 11, 044301. [Google Scholar] [CrossRef]
- Jiang, S.P.; Chan, S.H. A review of anode materials development in solid oxide fuel cells. J. Mater. Sci. 2004, 39, 4405–4439. [Google Scholar] [CrossRef]
- Yang, C.Y.; Zhang, X.X.; Zhao, H.L.; Shen, Y.N.; Du, Z.H.; Zhang, C.J. Electrochemical properties of BaZr0.1Ce0.7Y0.1Yb0.1O3- (delta)-Nd1.95NiO4+delta composite cathode for protonic ceramic fuel cells. Int. J. Hydrogen Energy 2015, 40, 2800–2807. [Google Scholar] [CrossRef]
- Duan, C.C.; Tong, J.H.; Shang, M.; Nikodemski, S.; Sanders, M.; Ricote, S.; Almansoori, A.; O’Hayre, R. Readily processed protonic ceramic fuel cells with high performance at low temperatures. Science 2015, 349, 1321–1326. [Google Scholar] [CrossRef]
- Fabbri, E.; Pergolesi, D.; Traversa, E. Materials challenges toward proton-conducting oxide fuel cells: a critical review. R. Soc. Chem. 2010, 39, 11, pp4355–4369. [Google Scholar] [CrossRef]
- Strandbakke, R.; Dyrlie, O.; Hage, F.S.; Norby, T. Reaction kinetics of protons and oxide ions in LSM/lanthanum tungstate cathodes with Pt nanoparticle activation. J. Electrochem. Soc. 2016, 163, F507–F515. [Google Scholar] [CrossRef]
- Da’as, E.H.; Bi, L.; Boulfrad, S.; Traversa, E. Nanostructuring the electronic conducting La0.8Sr0.2MnO3−δ cathode for high-performance in proton-conducting solid oxide fuel cells below 600 °C. Sci. China Mater. 2018, 61, 57–64. [Google Scholar] [CrossRef]
- Setevich, C.; Mogni, L.; Caneiro, A.; Prado, F. Characterization of the La1-xBaxCoO3-delta (0 ≤ x ≤ 1) system as cathode material for IT-SOFC. J. Electrochem. Soc. 2012, 159, B73–B80. [Google Scholar] [CrossRef]
- Zhao, H.; Li, Q.; Sun, L.P. Ln(2)MO(4) cathode materials for solid oxide fuel cells. Sci. China Chem. 2011, 54, 898–910. [Google Scholar] [CrossRef]
- Kim, J.H.; Manthiram, A. LnBaCo(2)O(5+δ) oxides as cathodes for intermediate-temperature solid oxide fuel cells. J. Electrochem. Soc. 2008, 155, B385–B390. [Google Scholar] [CrossRef]
- Bernuy-Lopez, C.; Rioja-Monllor, L.; Nakamura, T.; Ricote, S.; O’Hayre, R.; Amezawa, K.; Einarsrud, M.-A.; Grande, T. Effect of cation ordering on the performance and chemical stability of layered double perovskite cathodes. Materials 2018, 11, 196. [Google Scholar] [CrossRef]
- Dailly, J.; Fourcade, S.; Largeteau, A.; Mauvy, F.; Grenier, J.C.; Marrony, M. Perovskite and A(2)MO(4)-type oxides as new cathode materials for protonic solid oxide fuel cells. Electrochim. Acta 2010, 55, 5847–5853. [Google Scholar] [CrossRef]
- Ricote, S.; Bonanos, N.; Rorvik, P.M.; Haavik, C. Microstructure and performance of La0.58Sr0.4CO0.2Fe0.8O3-delta cathodes deposited on BaCe0.2Zr0.7Y0.1O3-delta by infiltration and spray pyrolysis. J. Power Sources 2012, 209, 172–179. [Google Scholar] [CrossRef]
- Shao, Z.P.; Haile, S.M. A high-performance cathode for the next generation of solid-oxide fuel cells. Nature 2004, 431, 170–173. [Google Scholar] [CrossRef]
- Perry, N.H.; Ishihara, T. Roles of bulk and surface chemistry in the oxygen exchange kinetics and related properties of mixed conducting perovskite oxide electrodes. Materials 2016, 9, 858. [Google Scholar] [CrossRef]
- Benes, A.; Molinari, A.; Witte, R.; Kruk, R.; Brötz, J.; Chellali, R.; Hahn, H.; Clemens, O. Proton conduction in Grain-boundary-free oxygen-deficient BaFeO2.5+δ thin films. Materials 2018, 11, 52. [Google Scholar]
- Duan, C.; Hook, D.; Chen, Y.; Tong, J.; O’Hayre, R. Zr Y co-doped perovskite as a stable, high performance cathode for solid oxide fuel cells operating below 500 °C. Energy Environ. Sci. 2017, 10, 176–182. [Google Scholar] [CrossRef]
- Strandbakke, R.; Cherepanov, V.A.; Zuev, A.Y.; Tsvetkov, D.S.; Argirusis, C.; Sourkouni, G.; Prünte, S.; Norby, T. Gd- and Pr-based double perovskite cobaltites as oxygen electrodes for proton ceramic fuel cells and electrolyser cells. Solid State Ion. 2015, 278, 120–132. [Google Scholar] [CrossRef]
- Rioja-Monllor, L.; Bernuy-Lopez, C.; Fontaine, M.-L.; Grande, T.; Einarsrud, M.-A. Processing of high performance composite cathodes for protonic ceramic fuel cells by exsolution. J. Mater. Chem. A 2019, 7, 8609–8619. [Google Scholar] [CrossRef]
- Rioja-Monllor, L.; Bernuy-Lopez, C.; Fontaine, M.L.; Grande, T.; Einarsrud, M.A. Microstructural and compositional optimization of La0.5Ba0.5CoO3-δ-BaZr1-zYzO3-δ (z = 0, 0.05 and 0.1) nanocomposite cathodes for protonic ceramic fuel cells. J. Phys. Energy 2018. [Google Scholar] [CrossRef]
- Rioja-Monllor, L.; Ricote, S.; Bernuy-Lopez, C.; Grande, T.; O’Hayre, R.; Einarsrud, M.-A. High-performance La0.5Ba0.5Co1/3Mn1/3Fe1/3O3−δ-BaZr1−zYzO3−δ Cathode composites via an exsolution mechanism for protonic ceramic fuel cells. Inorganics 2018, 6, 83. [Google Scholar] [CrossRef]
- Sengodan, S.; Ju, Y.-W.; Kwon, O.; Jun, A.; Jeong, H.Y.; Ishihara, T.; Shin, J.; Kim, G. Self-decorated MnO nanoparticles on double Perovskite solid oxide fuel cell anode by in situ exsolution. ACS Sustain. Chem. Eng. 2017, 5, 9207–9213. [Google Scholar] [CrossRef]
- Thommy, L.; Joubert, O.; Hamon, J.; Caldes, M.-T. Impregnation versus exsolution: Using metal catalysts to improve electrocatalytic properties of LSCM-based anodes operating at 600 °C. Int. J. Hydrogen Energy 2016, 41, 14207–14216. [Google Scholar] [CrossRef]
- Liu, S.B.A.; Chuang, K.T.; Luo, J.L. Double layered perovskite anode with in situ exsolution of Co-Fe alloy to cogenerate ethylene and electricity in proton-conducting ethane fuel cell. ACS Catal. 2016, 6, 2112. [Google Scholar] [CrossRef][Green Version]
- Gao, Y.; Chen, D.J.; Saccoccio, M.; Lu, Z.H.; Ciucci, F. From material design to mechanism study: Nanoscale Ni exsolution on a highly active A-site deficient anode material for solid oxide fuel cells. Nano Energy 2016, 27, 499–508. [Google Scholar] [CrossRef]
- Sun, Y.F.; Li, J.H.; Zeng, Y.M.; Amirkhiz, B.S.; Wang, M.N.; Behnamian, Y.; Luo, J.L. A-site deficient perovskite: The parent for in situ exsolution of highly active, regenerable nano-particles as SOFC anodes. J. Mater. Chem. A 2015, 3, 11048–11056. [Google Scholar] [CrossRef]
- Bernuy-Lopez, C.; Høydalsvik, K.; Einarsrud, M.A.; Grande, T. Effect of A-site cation ordering on chemical stability, oxygen stoichiometry and electrical conductivity in layered LaBaCo2O5+δ double perovskite. Materials 2016, 9, 154. [Google Scholar] [CrossRef] [PubMed]
- Chen, D.J.; Wang, F.C.; Shi, H.G.; Ran, R.; Shao, Z.P. Systematic evaluation of Co-free LnBaFe2O5+δ (Ln = Lanthanides or Y) oxides towards the application as cathodes for intermediate-temperature solid oxide fuel cells. Electrochim. Acta 2012, 78, 466–474. [Google Scholar] [CrossRef]
- Klyndyuk, A.I.; Chizhova, E.A. Crystal structure, thermal expansion, and electrical properties of layered oxides LnBa(Fe, Co, Cu)2O5+δ (Ln = Nd, Sm, Gd). Glass Phys. Chem. 2014, 40, 124–128. [Google Scholar] [CrossRef]
- Kreuer, K.D. Proton conductivity: Materials and applications. Chem. Mater. 1996, 8, 610–641. [Google Scholar] [CrossRef]
- Kreuer, K.D. On the development of proton conducting polymer membranes for hydrogen and methanol fuel cells. J. Membr. Sci. 2001, 185, 29–39. [Google Scholar] [CrossRef]
- Wu, T.Z.; Peng, R.R.; Xia, C.R. Sm0.5Sr0.5CoO3-δ-BaCe0.8Sm0.2O3-δ composite cathodes for proton-conducting solid oxide fuel cells. Solid State Ion. 2008, 179, 1505–1508. [Google Scholar] [CrossRef]
- Fabbri, E.; Licoccia, S.; Traversa, E.; Wachsman, E.D. Composite cathodes for proton conducting electrolytes. Fuel Cells 2009, 9, 128–138. [Google Scholar] [CrossRef]
- Babilo, P.; Uda, T.; Haile, S.M. Processing of yttrium-doped barium zirconate for high proton conductivity. J. Mater. Res. 2007, 22, 1322–1330. [Google Scholar] [CrossRef]
- Sažinas, R.; Bernuy-López, C.; Einarsrud, M.-A.; Grande, T. Effect of CO2 exposure on the chemical Stability and mechanical properties of BaZrO3-ceramics. J. Am. Ceram. Soc. 2016, 99, 3685–3695. [Google Scholar] [CrossRef]
- Sazinas, R.; Einarsrud, M.A.; Grande, T. Toughening of Y-doped BaZrO3 proton conducting electrolytes by hydration. J. Mater. Chem. A 2017, 5, 5846–5857. [Google Scholar] [CrossRef]
- Macdonald, J.R. Note on the parameterization of the constant-phase admittance element. Solid State Ion. 1984, 13, 147–149. [Google Scholar] [CrossRef]
- Shannon, R.D. Revised effective ionic-radii and systematic studies of interatomic distances in halides and chalcogenides. Acta Cryst. 1976, 32, 751–767. [Google Scholar] [CrossRef]
- Grimaud, A.; Bassat, J.M.; Mauvy, F.; Pollet, M.; Wattiaux, A.; Marrony, M.; Grenier, J.C. Oxygen reduction reaction of PrBaCo2-xFexO5+δ compounds as H+-SOFC cathodes: Correlation with physical properties. J. Mater. Chem. A 2014, 2, 3594–3604. [Google Scholar] [CrossRef]
- He, F.; Wu, T.Z.; Peng, R.R.; Xia, C.R. Cathode reaction models and performance analysis of Sm0.5Sr0.5CoO3-δ-BaCe0.8Sm0.2O3-δ composite cathode for solid oxide fuel cells with proton conducting electrolyte. J. Power Sources 2009, 194, 263–268. [Google Scholar] [CrossRef]
- Dailly, J.; Mauvy, F.; Marrony, M.; Pouchard, M.; Grenier, J.-C. Electrochemical properties of perovskite and A2MO4-type oxides used as cathodes in protonic ceramic half cells. J. Solid State Electrochem. 2011, 15, 245–251. [Google Scholar] [CrossRef]
- Peng, R.R.; Wu, T.Z.; Liu, W.; Liu, X.Q.; Meng, G.Y. Cathode processes and materials for solid oxide fuel cells with proton conductors as electrolytes. J. Mater. Chem. 2010, 20, 6218–6225. [Google Scholar] [CrossRef]
- Wu, T.Z.; Zhao, Y.Q.; Peng, R.R.; Xia, C.R. Nano-sized Sm0.5Sr0.5CoO3-δ as the cathode for solid oxide fuel cells with proton-conducting electrolytes of BaCe0.8Sm0.2O2.9. Electrochim. Acta 2009, 54, 4888–4892. [Google Scholar] [CrossRef]
- Orazem, M.E.; Tribollet, B. Electrochemical Impedance Spectroscopy; John Wiley & Sons: Hoboken, NJ, USA, 2008; 523p. [Google Scholar]
- Ding, H.; Sullivan, N.P.; Ricote, S. Double perovskite Ba2FeMoO6-δ as fuel electrode for protonic-ceramic membranes. Solid State Ion. 2017, 306, 97–103. [Google Scholar] [CrossRef]
- Adler, S.B.; Lane, J.A.; Steele, B.C.H. Electrode kinetics of porous mixed-conducting oxygen electrodes. J. Electrochem. Soc. 1996, 143, 3554–3564. [Google Scholar] [CrossRef]









| Code | Nominal Composite Composition | Nominal Single-Phase Composition | Annealing Temperature in N2 (°C) |
|---|---|---|---|
| LBZ65 | 0.6 La0.5Ba0.5CoO3-δ-0.4 BaZr0.9Y0.1O2.95 | La0.3Ba0.7Co0.6Zr0.36Y0.04O3-δ | 715 |
| LBZ75 | 0.7 La0.5Ba0.5CoO3-δ-0.3 BaZr0.9Y0.1O2.95 | La0.35Ba0.65Co0.7Zr0.27Y0.03O3-δ | 750 |
| LBZ76 | 0.7 La0.4Ba0.6CoO3-δ-0.3 BaZr0.9Y0.1O2.95 | La0.28Ba0.72Co0.7Zr0.27Y0.03O3-δ | 750 |
| LBZ77 | 0.7 La0.3Ba0.7CoO3-δ-0.3 BaZr0.9Y0.1O2.95 | La0.21Ba0.79Co0.7Zr0.27Y0.03O3-δ | 750 |
| LBZ85 | 0.8 La0.5Ba0.5CoO3-δ-0.2 BaZr0.9Y0.1O2.95 | La0.4Ba0.6Co0.8Zr0.18Y0.02O3-δ | 760 |
| LBZ86 | 0.8 La0.4Ba0.6CoO3-δ-0.2 BaZr0.9Y0.1O2.95 | La0.32Ba0.68Co0.8Zr0.18Y0.02O3-δ | 760 |
| La1-xBaxCoO3-δ Phase | BaZr1-z-yYzCoyO3-δ Phase | |||||||
|---|---|---|---|---|---|---|---|---|
| LB Phase Mole | A-Site Occupancy | BZ Phase Mole | B-Site Occupancy | |||||
| Code | Fraction | La | Ba | Fraction | Zr | Y | Co | |
| LBZ65 | N | 0.60 | 0.5 | 0.5 | 0.40 | 0.9 | 0.1 | 0 |
| R | 0.38 | 0.62 | 0.38 | 0.62 | 0.68 | 0.07 | 0.25 | |
| LBZ75 | N | 0.70 | 0.5 | 0.5 | 0.30 | 0.9 | 0.1 | 0 |
| R | 0.50 | 0.63 | 0.37 | 0.50 | 0.66 | 0.07 | 0.27 | |
| LBZ76 | N | 0.70 | 0.4 | 0.6 | 0.30 | 0.9 | 0.1 | 0 |
| R | 0.41 | 0.62 | 0.38 | 0.59 | 0.51 | 0.07 | 0.42 | |
| LBZ77 | N | 0.70 | 0.3 | 0.7 | 0.30 | 0.9 | 0.1 | 0 |
| R | 0.31 | 0.60 | 0.40 | 0.69 | 0.47 | 0.08 | 0.45 | |
| LBZ85 | N | 0.80 | 0.5 | 0.5 | 0.20 | 0.9 | 0.1 | 0 |
| R | 0.61 | 0.63 | 0.37 | 0.39 | 0.56 | 0.06 | 0.38 | |
| LBZ86 | N | 0.80 | 0.4 | 0.6 | 0.20 | 0.9 | 0.1 | 0 |
| R | 0.51 | 0.61 | 0.39 | 0.49 | 0.45 | 0.04 | 0.51 | |
| LBZ65 | LBZ75 | LBZ76 | LBZ77 | LBZ85 | LBZ86 | ||||
|---|---|---|---|---|---|---|---|---|---|
| T (°C) | (R3Q3) | (R2Q2) | (R3Q3) | (R2Q2) | (R3Q3) | (R2Q2) | (R2Q2) | (R2Q2) | (R2Q2) |
| 600 | 0.21 | 0.33 | 0.30 | 0.59 | 0.27 | 0.51 | |||
| 550 | 0.39 | 0.52 | 0.70 | 1.23 | 0.50 | 1.06 | |||
| 500 | 0.02 | 0.64 | 0.11 | 0.98 | 0.07 | 1.39 | 2.40 | 0.94 | 2.08 |
| 450 | 0.05 | 1.28 | 0.25 | 2.95 | 0.14 | 2.88 | 4.57 | 1.82 | 3.93 |
| 400 | 0.09 | 3.95 | 0.47 | 10.66 | 0.27 | 9.08 | 10.21 | 4.84 | 8.34 |
| Process Ea (eV) | 0.64 | 0.72 | 0.61 | 0.89 | 0.60 | 0.83 | 0.71 | 0.71 | 0.70 |
| Total Ea (eV) | 0.73 | 0.90 | 0.84 | 0.71 | 0.71 | 0.70 | |||
| Pre-exponential factor | 0.81 | 6.56 | 3.03 | 0.19 | 5.40 | 0.19 | |||
| Cathode Material | Electrolyte | ASR (Ohm·cm2) | Activation Energy (eV) | Ref. |
|---|---|---|---|---|
| La0.8Ba0.2CoO3-δ- BaZr0.6Co0.4O3-δ (40:60 mol%) | BaZr0.9Y0.1O2.95 | 0.34 | 0.92 | 24 |
| La0.8Ba0.2CoO3-δ- BaZr0.6Co0.4O3-δ (40:60 mol%) In situ exsolved | BaZr0.9Y0.1O2.95 | 0.30 | 0.78 | 24 |
| LBZ65: La0.62Ba0.38CoO3-δ- BaZr0.68Y0.07Co0.25O3-δ (38:62 mol%) in situ exsolved | BaZr0.9Y0.1O2.95 | 0.21 | 0.73 | This work |
| LBZ85: La0.63Ba0.37CoO3-δ- BaZr0.56Y0.06Co0.38O3-δ (61:39 mol%) in situ exsolved | BaZr0.9Y0.1O2.95 | 0.27 | 0.71 | This work |
| BaCo0.4Fe0.4Zr0.1Y0.1O3-δ | BaCe0.7Zr0.1Y0.1Yb0.1O3-δ/1%wt. NiO | 0.4 | 0.84 | 9 |
| BaGd0.8La0.2Co2O6-δ | BaZr0.7Ce0.2Y0.1O3-δ | 0.2 | 0.78 | 21 |
| La0.5Ba0.5CoO3-δ | BaZr0.9Y0.1O2.95 | 0.33 | 16 |
© 2019 by the authors. Licensee MDPI, Basel, Switzerland. This article is an open access article distributed under the terms and conditions of the Creative Commons Attribution (CC BY) license (http://creativecommons.org/licenses/by/4.0/).
Share and Cite
Rioja-Monllor, L.; Bernuy-Lopez, C.; Fontaine, M.-L.; Grande, T.; Einarsrud, M.-A. Compositional Engineering of a La1-xBaxCoO3-δ-(1-a) BaZr0.9Y0.1O2.95 (a = 0.6, 0.7, 0.8 and x = 0.5, 0.6, 0.7) Nanocomposite Cathodes for Protonic Ceramic Fuel Cells. Materials 2019, 12, 3441. https://doi.org/10.3390/ma12203441
Rioja-Monllor L, Bernuy-Lopez C, Fontaine M-L, Grande T, Einarsrud M-A. Compositional Engineering of a La1-xBaxCoO3-δ-(1-a) BaZr0.9Y0.1O2.95 (a = 0.6, 0.7, 0.8 and x = 0.5, 0.6, 0.7) Nanocomposite Cathodes for Protonic Ceramic Fuel Cells. Materials. 2019; 12(20):3441. https://doi.org/10.3390/ma12203441
Chicago/Turabian StyleRioja-Monllor, Laura, Carlos Bernuy-Lopez, Marie-Laure Fontaine, Tor Grande, and Mari-Ann Einarsrud. 2019. "Compositional Engineering of a La1-xBaxCoO3-δ-(1-a) BaZr0.9Y0.1O2.95 (a = 0.6, 0.7, 0.8 and x = 0.5, 0.6, 0.7) Nanocomposite Cathodes for Protonic Ceramic Fuel Cells" Materials 12, no. 20: 3441. https://doi.org/10.3390/ma12203441
APA StyleRioja-Monllor, L., Bernuy-Lopez, C., Fontaine, M.-L., Grande, T., & Einarsrud, M.-A. (2019). Compositional Engineering of a La1-xBaxCoO3-δ-(1-a) BaZr0.9Y0.1O2.95 (a = 0.6, 0.7, 0.8 and x = 0.5, 0.6, 0.7) Nanocomposite Cathodes for Protonic Ceramic Fuel Cells. Materials, 12(20), 3441. https://doi.org/10.3390/ma12203441

