Catalytic Soot Oxidation Activity of NiO–CeO2 Catalysts Prepared by a Coprecipitation Method: Influence of the Preparation pH on the Catalytic Performance
Abstract
1. Introduction
2. Materials and Methods
2.1. Preparation of Catalysts
2.2. Catalyst Characterization
2.3. Catalytic Activity Measurement
3. Results and Discussion
3.1. Catalyst Characterization
3.1.1. Thermogravimetric Analysis (TGA) and Fourier-Transform Infrared Spectroscopy Analysis (FTIR)
3.1.2. Elemental Composition (ICP)
3.1.3. X-Ray Diffraction Analysis (XRD)
3.1.4. Surface Area BET Measurement
3.1.5. Temperature-Programmed Reduction (H2-TPR)
3.1.6. Electron Microscopy Analysis (HAADF/TEM-EDS)
3.2. Catalytic Activity Tests
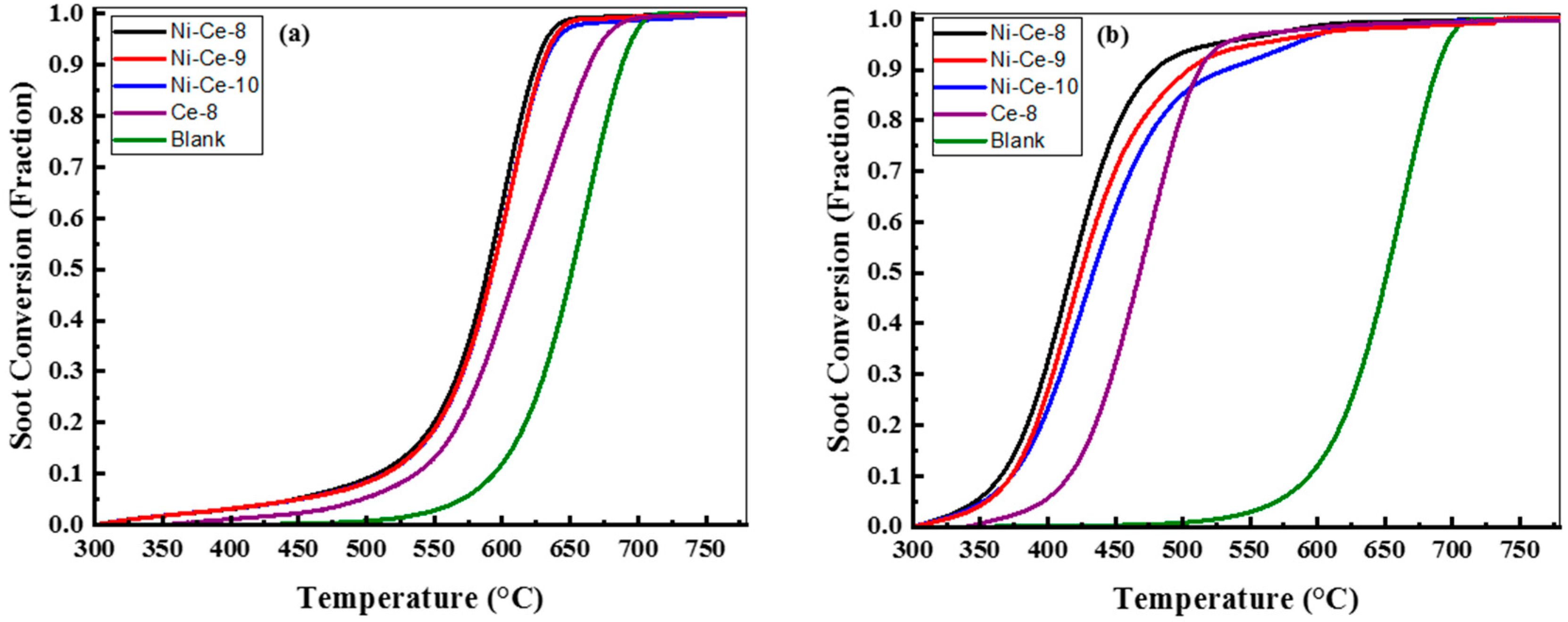
3.2.1. Soot Oxidation under Air
3.2.2. Apparent Activation Energy
4. Conclusions
Supplementary Materials
Author Contributions
Funding
Acknowledgments
Conflicts of Interest
References
- Bueno-López, A. Diesel soot combustion ceria catalysts. Appl. Catal. B Environ. 2014, 146, 1–11. [Google Scholar]
- Liu, J.; Zhao, Z.; Chen, Y.; Xu, C.; Duan, A.; Jiang, G. Different valent ions-doped cerium oxides and their catalytic performances for soot oxidation. Catal. Today 2011, 175, 117–123. [Google Scholar] [CrossRef]
- Zhang, W.; Niu, X.; Chen, L.; Yuan, F.; Zhu, Y. Soot Combustion over Nanostructured Ceria with Different Morphologies. Sci. Rep. 2016, 6, 29062. [Google Scholar] [CrossRef] [PubMed]
- Xiao, P.; Zhong, L.; Zhu, J.; Hong, J.; Li, J.; Li, H.; Zhu, Y. CO and soot oxidation over macroporous perovskite LaFeO3. Catal. Today 2015, 258, 660–667. [Google Scholar] [CrossRef]
- Simonsen, S.B.; Dahl, S.; Johnson, E.; Helveg, S. Ceria-catalyzed Soot Oxidation studied by Environmental Transmission Electron Microscopy. J. Catal. 2008, 255, 1–5. [Google Scholar] [CrossRef]
- Cousin, R.; Capelle, S.; Courcot, D.; Aboukaı, A. Copper-vanadium-cerium oxide catalysts for carbon black oxidation. Appl. Catal. B Environ. 2007, 70, 247–253. [Google Scholar] [CrossRef]
- Neelapala, S.D.; Dasari, H. Catalytic soot oxidation activity of Cr-doped Ceria (Ce1−xCrxO2−δ) synthesized by sol-gel method with organic additives. Mater. Sci. Eng. Technol. 2018, 1, 155–159. [Google Scholar]
- Shimizu, K.; Kawachi, H.; Satsuma, A. Study of active sites and mechanism for soot oxidation by silver-loaded ceria catalyst. Appl. Catal. B Environ. 2010, 96, 169–175. [Google Scholar] [CrossRef]
- Obeid, E.; Lizarraga, L.; Tsampas, M.N.; Cordier, A.; Boréave, A.; Steil, M.C.; Blanchard, G.; Pajot, K.; Vernoux, P. Continuously regenerating Diesel Particulate Filters based on ionically conducting ceramics. J. Catal. 2014, 309, 87–96. [Google Scholar] [CrossRef]
- Aneggi, E.; De Leitenburg, C.; Trovarelli, A. On the role of lattice/surface oxygen in ceria—Zirconia catalysts for diesel soot combustion. Catal. Today 2012, 181, 108–115. [Google Scholar] [CrossRef]
- Oi-Uchisawa, J.; Wang, S.; Nanba, T.; Ohi, A.; Obuchi, A. Improvement of Pt catalyst for soot oxidation using mixed oxide as a support. Appl. Catal. B Environ. 2003, 44, 207–215. [Google Scholar] [CrossRef]
- Wei, Y.; Zhao, Z.; Li, T.; Liu, J.; Duan, A.; Jiang, G. The novel catalysts of truncated polyhedron Pt nanoparticles supported on three-dimensionally ordered macroporous oxides (Mn, Fe, Co, Ni, Cu) with nanoporous walls for soot combustion. Appl. Catal. B Environ. 2014, 146, 57–70. [Google Scholar] [CrossRef]
- Nascimento, L.F.; Martins, R.F.; Silva, R.F.; Filho, P.C.D.S.; Serra, O.A. Ru-doped ceria-zirconia mixed oxides catalyze soot combustion. Reac. Kinet. Mech. Cat. 2014, 111, 149–165. [Google Scholar] [CrossRef]
- Jin, B.; Wei, Y.; Zhao, Z.; Liu, J.; Li, Y.; Li, R.; Duan, A.; Jiang, G. Three-dimensionally ordered macroporous CeO2/Al2O3-supported Au nanoparticle catalysts: Effects of CeO2 nanolayers on catalytic activity in soot oxidation. Chin. J. Catal. 2017, 38, 1629–1641. [Google Scholar] [CrossRef]
- Liu, J.; Zhao, Z.; Lan, J.; Xu, C.; Duan, A.; Jiang, G.; Wang, X. Catalytic Combustion of Soot over the Highly Active (La0.9K0.1CoO3) x/nmCeO2 Catalysts. J. Phys. Chem. C 2009, 113, 17114–17123. [Google Scholar] [CrossRef]
- Hernández, W.Y.; Tsampas, M.N.; Zhao, C.; Boreave, A.; Bosselet, F.; Vernoux, P. La/Sr-based perovskites as soot oxidation catalysts for Gasoline Particulate Filters. Catal. Today 2015, 258, 525–534. [Google Scholar] [CrossRef]
- Weng, D.; Li, J.; Wu, X.; Si, Z. Modification of CeO2-ZrO2 catalyst by potassium for NOx-assisted soot oxidation. J. Environ. Sci. 2011, 23, 145–150. [Google Scholar] [CrossRef]
- López-Suárez, F.E.; Bueno-López, A.; Illán-Gómez, M.J. Cu/Al2O3 catalysts for soot oxidation: Copper loading effect. Appl. Catal. B Environ. 2008, 84, 651–658. [Google Scholar]
- Guilhaume, N.; Bassou, B.; Bergeret, G.; Bianchi, D.; Bosselet, F.; Jouguet, B.; Mirodatos, C. In situ investigation of Diesel soot combustion over an AgMnOx catalyst. Appl. Catal. B Environ. 2012, 119, 287–296. [Google Scholar] [CrossRef]
- Bueno-López, A.; Moulijn, J.A.; Krishna, K.; Makkee, M. Potential rare earth modified CeO2 catalysts for soot oxidation I. Characterisation and catalytic activity with O2. Appl. Catal. B Environ. 2007, 75, 189–200. [Google Scholar]
- Rangaswamy, A.; Sudarsanam, P.; Reddy, B.M. Rare earth metal doped CeO2-based catalytic materials for diesel soot oxidation at lower temperatures. J. Rare Earths 2015, 33, 1162–1169. [Google Scholar] [CrossRef]
- Bueno-López, A.; Krishna, K.; Van Der Linden, B.; Mul, G.; Moulijn, J.; Makkee, M. On the mechanism of model diesel soot-O2 reaction catalysed A TAP study with isotopic O2. Catal. Today 2007, 121, 237–245. [Google Scholar] [CrossRef]
- Kustov, A.L.; Ricciardi, F.; Makkee, M. NOx Storage and High Temperature Soot Oxidation on Pt–Sr/ZrO2 Catalyst. Top. Catal. 2009, 52, 2058–2062. [Google Scholar] [CrossRef]
- Nascimento, L.F.; Martins, R.F.; Serra, O.A. Catalytic combustion of soot over Ru-doped mixed oxides catalysts. J. Rare Earths 2014, 32, 610–620. [Google Scholar] [CrossRef]
- Wei, Y.; Zhao, Z.; Jiao, J.; Liu, J.; Duan, A.; Jiang, G. Preparation of ultrafine Ce-based oxide nanoparticles and their catalytic performances for diesel soot combustion. J. Rare Earths 2014, 32, 124–130. [Google Scholar] [CrossRef]
- Liu, S.; Wu, X.D.; Weng, D.; Ran, R. Ceria-based catalysts for soot oxidation: A review. J. Rare Earths 2015, 33, 567–590. [Google Scholar] [CrossRef]
- Liu, S.; Wu, X.; Liu, W.; Chen, W.; Ran, R.; Li, M.; Weng, D. Soot oxidation over CeO2 and Ag/CeO2: Factors determining the catalyst activity and stability during reaction. J. Catal. 2016, 337, 188–198. [Google Scholar] [CrossRef]
- Lin, F.; Delmelle, R.; Vinodkumar, T.; Reddy, B.M.; Wokaun, A.; Alxneit, I. Correlation between the structural characteristics, oxygen storage capacities and catalytic activities of dual-phase Zn-modified ceria nanocrystals. Catal. Sci. Technol. 2015, 5, 3556–3567. [Google Scholar] [CrossRef]
- Zhou, L.; Li, X.; Yao, Z.; Chen, Z.; Hong, M.; Zhu, R.; Liang, Y. Transition-Metal Doped Ceria Microspheres with Nanoporous Structures for CO Oxidation. Sci. Rep. 2016, 6, 23900. [Google Scholar] [CrossRef]
- Yang, Z.; Hu, W.; Zhang, N.; Li, Y.; Liao, Y. Facile synthesis of ceria–zirconia solid solutions with cubic–tetragonal interfaces and their enhanced catalytic performance in diesel soot oxidation. J. Catal. 2019, 377, 98–109. [Google Scholar] [CrossRef]
- Shan, W.; Ma, N.; Yang, J.; Dong, X.; Liu, C.; Wei, L. Catalytic oxidation of soot particulates over MnOx-CeO2 oxides prepared by complexation-combustion method. J. Nat. Gas. Chem. 2010, 19, 86–90. [Google Scholar] [CrossRef]
- Venkataswamy, P.; Jampaiah, D.; Rao, K.N.; Reddy, B.M. Nanostructured Ce0.7Mn0.3O2-δ and Ce0.7Fe0.3O2-δ solid solutions for diesel soot oxidation. Appl. Catal. A Gener. 2014, 488, 1–10. [Google Scholar] [CrossRef]
- Grabchenko, M.V.; Mamontov, G.V.; Zaikovskii, V.I.; La Parola, V.; Liotta, L.F.; Vodyankina, O.V. The role of metal–support interaction in Ag/CeO2 catalysts for CO and soot oxidation. Appl. Catal. B Environ. 2019, 260. [Google Scholar] [CrossRef]
- Grabchenko, M.V.; Mikheeva, N.N.; Mamontov, G.V.; Salaev, M.A.; Liotta, L.F.; Vodyankina, O. Ag/CeO2 Composites for Catalytic Abatement of CO, Soot and VOCs. Catalysts 2018, 8, 285. [Google Scholar] [CrossRef]
- Neeft, J.P.A.; Makkee, M.; Moulijn, J.A. Metal oxides as catalysts for the oxidation of soot. Chem. Eng. J. 1996, 64, 295–302. [Google Scholar] [CrossRef]
- Araújo, A.J.M.; Silva, V.D.; Sousa, A.R.O.; Grilo, J.P.F.; Simões, T.A.; Macedo, D.A.; Nascimento, R.M.; Paskocimas, C.A. Battery-like behavior of Ni-ceria based systems: Synthesis, surface defects and electrochemical assessment. Ceram. Int. 2018, 45, 7157–7165. [Google Scholar] [CrossRef]
- Kumar, S.; Kim, Y.J.; Koo, B.H.; Lee, C.G. Structural and magnetic properties of Ni doped CeO2 nanoparticles. J. Nanosci. Nanotechnol. 2010, 10, 7204–7207. [Google Scholar] [CrossRef]
- Wu, G.; Wang, X.; Chen, B.; Li, J.; Zhao, N.; Wei, W.; Sun, Y. Fluorine-modified mesoporous Mg-Al mixed oxides: Mild and stable base catalysts for O-methylation of phenol with dimethyl carbonate. Appl. Catal. A Gene 2007, 329, 106–111. [Google Scholar] [CrossRef]
- Leofanti, G.; Padovan, M.; Tozzola, G.; Venturelli, B. Surface area and pore texture of catalysts. Catal. Today 1998, 41, 207–219. [Google Scholar] [CrossRef]
- Atzori, L.; Cutrufello, M.G.; Meloni, D.; Cannas, C.; Gazzoli, D.; Monaci, R.; Sini, M.F.; Rombi, E. Highly active NiO-CeO2 catalysts for synthetic natural gas production by CO2 methanation. Catal. Today 2018, 299, 183–192. [Google Scholar] [CrossRef]
- Le, T.A.; Kim, T.W.; Lee, S.H.; Park, E.D. Effects of Na content in Na/Ni/SiO2 and Na/Ni/CeO2 catalysts for CO and CO2 methanation. Catal. Today 2018, 303, 159–167. [Google Scholar] [CrossRef]
- Xu, S.; Yan, X.; Wang, X. Catalytic performances of NiO–CeO2 for the reforming of methane with CO2 and O2. Fuel 2006, 85, 2243–2247. [Google Scholar] [CrossRef]
- Van Setten, B.A.A.L.; Makkee, M.; Moulijn, J.A. Science and technology of catalytic diesel particulate filters. Catal. Rev. Sci. Eng. 2007, 43, 489–564. [Google Scholar] [CrossRef]
- Stanmore, B.R.; Brilhac, J.F.; Gilot, P. The oxidation of soot: A review of experiments, mechanisms and models. Carbon 2001, 39, 2247–2268. [Google Scholar] [CrossRef]
- Bueno-López, A.; Krishna, K.; Makkee, M.; Moulijn, J.A. Enhanced soot oxidation by lattice oxygen via La3+ doped CeO2. J. Catal. 2005, 230, 237–248. [Google Scholar] [CrossRef]
- Guillén-hurtado, N.; Bueno-lópez, A.; García-garcía, A. Catalytic performances of ceria and ceria-zirconia materials for the combustion of diesel soot under NOx/O2 and O2. Importance of the cerium precursor salt. Appl. Catal. A Gene 2012, 437–438, 166–172. [Google Scholar]
- Wen, Z.; Duan, X.; Hu, M.; Cao, Y.; Ye, L.; Jiang, L.; Yuan, Y. Efficient low-temperature soot combustion by bimetallic Ag-Cu/SBA-15 catalysts. J. Environ. Sci. 2018, 64, 122–129. [Google Scholar] [CrossRef]
- Hu, Z.; Qiu, S.; You, Y.; Guo, Y.; Guo, Y.; Wang, L.; Zhan, W.; Lu, G. Hydrothermal synthesis of NiCeOx nanosheets and its application to the total oxidation of propane. Appl. Catal. B Environ. 2018, 225, 110–120. [Google Scholar] [CrossRef]
- Liu, Y.M.; Wang, L.C.; Chen, M.; Xu, J.; Cao, Y.; He, H.Y.; Fan, K.N. Highly Selective Ce–Ni–O Catalysts for Efficient Low Temperature Oxidative Dehydrogenation of Propane. Catal. Lett. 2009, 130, 350–354. [Google Scholar] [CrossRef]
- Neeft, J.P.A.; Nijhuis, T.X.; Smakman, E.; Makkee, M.; Moulijn, J.A. Kinetics of the oxidation of diesel soot. Fuel 1997, 76, 1129–1136. [Google Scholar] [CrossRef]










| Sample | Ni/Ce a | Weight (%) | Ni/Ce b | |
|---|---|---|---|---|
| Ce (wt %) | Ni (wt %) | |||
| Ni-Ce-8 | 1.25 | 32.3 ± 0.1 | 28.0 ± 0.2 | 0.87 |
| Ni-Ce-9 | 1.25 | 28.0 ± 0.3 | 28.0 ± 0.3 | 1 |
| Ni-Ce-10 | 1.25 | 32.4 ± 0.2 | 32.2 ± 0.2 | 0.99 |
| Sample | Crystallite | Position of the Most Intense Peak 2θ (°) | Average Crystallite Size (nm) | Lattice Parameter (a) NiO and CeO2 (Å) |
|---|---|---|---|---|
| Ce-8 | CeO2 | 28.56 | 12.6 | 5.410 |
| Ni-Ce-8 | NiO | 43.36 | 18.7 | 4.170 |
| CeO2 | 28.54 | 5.2 | 5.397 | |
| Ni-Ce-9 | NiO | 43.32 | 14.3 | 4.173 |
| CeO2 | 28.53 | 4.2 | 5.399 | |
| Ni-Ce-10 | NiO | 43.37 | 13.0 | 4.169 |
| CeO2 | 28.56 | 4.8 | 5.405 |
| Sample | SBET (m2/g) | VP (cm3/g) | DP (nm) |
|---|---|---|---|
| Ni-Ce-8 | 73 | 0.27 | 19.14 |
| Ni-Ce-9 | 80 | 0.27 | 56.99 |
| Ni-Ce-10 | 91 | 0.40 | 17.08 |
| Sample | Total H2 Consumption (mmol/g) (a) | Total H2 Consumption (mmol/g) (b) | ɛ (c) |
|---|---|---|---|
| Ce-8 | 2.9 | 1.8 | - |
| Ni-Ce-8 | 11.84 | 9.90 | 0.84 |
| Ni-Ce-9 | 11.53 | 9.82 | 0.85 |
| Ni-Ce-10 | 13.28 | 11.03 | 0.83 |
| Contact Mode | Catalyst | Temperature (°C) | |||
|---|---|---|---|---|---|
| T10 a | T50 a | T90 a | Tf b | ||
| Uncatalyzed | Pure soot (Printex-U) | 593 | 652 | 688 | 705 |
| Loose | Ce-8 | 536 | 610 | 664 | 690 |
| Ni-Ce-8 | 507 | 589 | 624 | 646 | |
| Ni-Ce-9 | 511 | 592 | 629 | 651 | |
| Ni-Ce-10 | 513 | 594 | 630 | 655 | |
| Tight | Ce-8 | 415 | 468 | 537 | 617 |
| Ni-Ce-8 | 365 | 417 | 479 | 598 | |
| Ni-Ce-9 | 372 | 424 | 504 | 611 | |
| Ni-Ce-10 | 375 | 433 | 531 | 616 | |
| Catalyst | Apparent Activation Energy (kJ/mol) ± 5, at x% Conversion | ||||||
|---|---|---|---|---|---|---|---|
| 10 | 20 | 30 | 40 | 50 | 60 | 70 | |
| Ni-Ce-8 | 109 | 111 | 114 | 118 | 121 | 126 | 133 |
| Ni-Ce-9 | 139 | 144 | 140 | 139 | 130 | 141 | 142 |
| Ni-Ce-10 | 133 | 125 | 128 | 131 | 136 | 142 | 150 |
© 2019 by the authors. Licensee MDPI, Basel, Switzerland. This article is an open access article distributed under the terms and conditions of the Creative Commons Attribution (CC BY) license (http://creativecommons.org/licenses/by/4.0/).
Share and Cite
Bendieb Aberkane, A.; Yeste, M.P.; Fayçal, D.; Goma, D.; Cauqui, M.Á. Catalytic Soot Oxidation Activity of NiO–CeO2 Catalysts Prepared by a Coprecipitation Method: Influence of the Preparation pH on the Catalytic Performance. Materials 2019, 12, 3436. https://doi.org/10.3390/ma12203436
Bendieb Aberkane A, Yeste MP, Fayçal D, Goma D, Cauqui MÁ. Catalytic Soot Oxidation Activity of NiO–CeO2 Catalysts Prepared by a Coprecipitation Method: Influence of the Preparation pH on the Catalytic Performance. Materials. 2019; 12(20):3436. https://doi.org/10.3390/ma12203436
Chicago/Turabian StyleBendieb Aberkane, Amar, María Pilar Yeste, Djazi Fayçal, Daniel Goma, and Miguel Ángel Cauqui. 2019. "Catalytic Soot Oxidation Activity of NiO–CeO2 Catalysts Prepared by a Coprecipitation Method: Influence of the Preparation pH on the Catalytic Performance" Materials 12, no. 20: 3436. https://doi.org/10.3390/ma12203436
APA StyleBendieb Aberkane, A., Yeste, M. P., Fayçal, D., Goma, D., & Cauqui, M. Á. (2019). Catalytic Soot Oxidation Activity of NiO–CeO2 Catalysts Prepared by a Coprecipitation Method: Influence of the Preparation pH on the Catalytic Performance. Materials, 12(20), 3436. https://doi.org/10.3390/ma12203436

