Mechanical and Acoustic Emission Behavior of Gangue Concrete under Uniaxial Compression
Abstract
1. Introduction
2. Experimental Materials and Methods
2.1. Materials
2.2. Mix Proportion
2.3. Methods
2.3.1. AE System
2.3.2. Loading Machine
2.3.3. Uniaxial Compressive Test with AE Monitoring
3. Physical and Mechanical Properties of Coal Gangue
3.1. Physical Properties of Coal Gangue
3.2. Compressive Strength
4. Result and Discussion
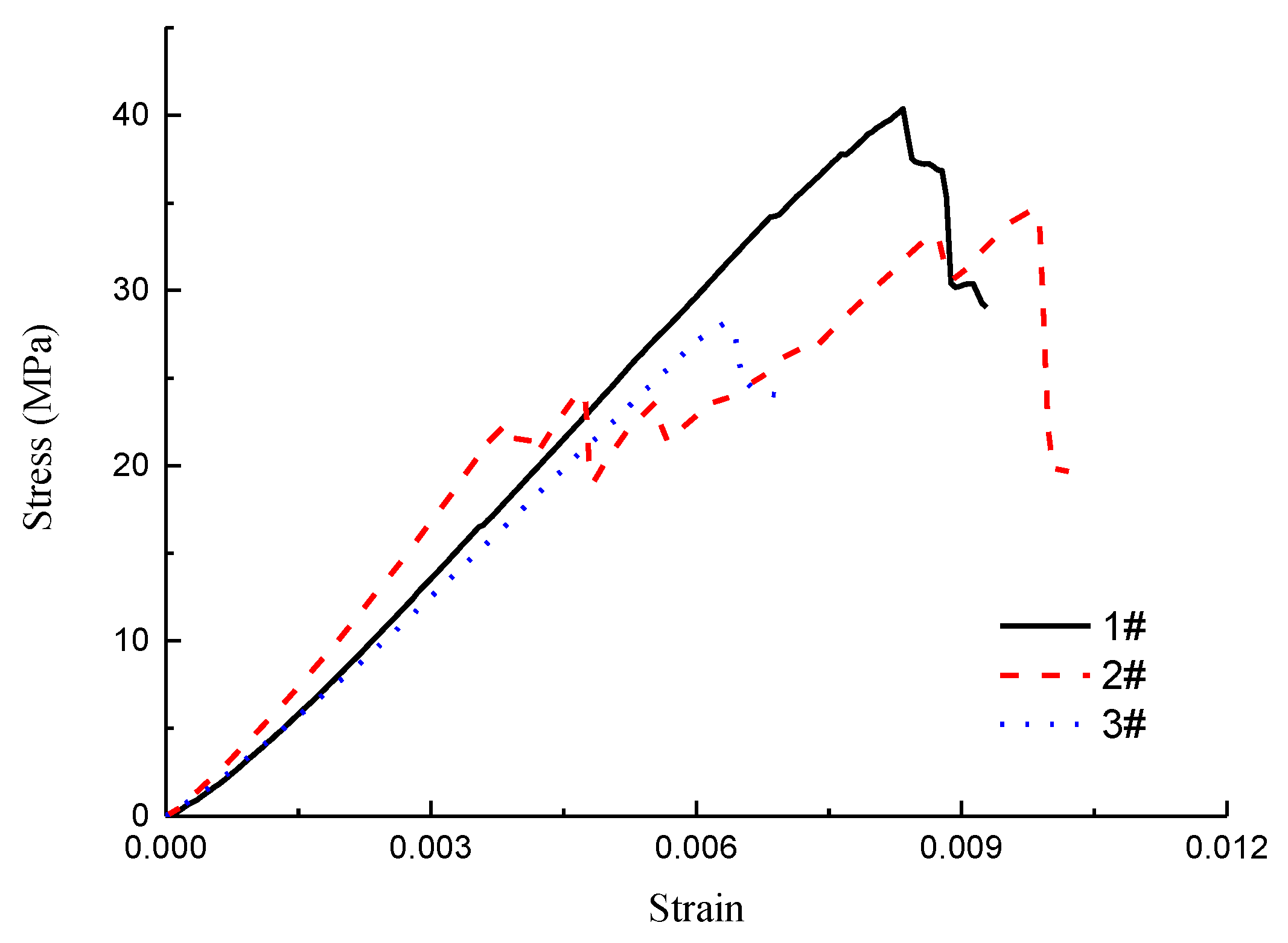
4.1. Mechanics Property of Gangue Concrete
4.2. Characteristic Parameters of AE
5. Conclusions
- The mechanical properties of coal gangue are lower than gravel. This is due to the lithology, higher porosity, and microcracks of the coal gangue.
- The mechanical test result shows that the maximum bearing strength of gangue concrete can reach 35–40 MPa.
- Comparing with ordinary concrete, the AE signals of gangue concrete in the linear elastic stage is inactive. It is due to the mortar with angular gangue particles can not easily rotate, thus fewer microcracks appear and develop. The greater growth in AE signal strength is observed near the peak load as a result of the lower value of accumulative hits in the linear elastic stage.
- In the Acoustic Emission (AE) test, the accumulative energy of gangue concrete has two jumps before the peak load, while ordinary concrete has one. The first jump of the accumulative energy of gangue concrete is caused by the rupture of gangue aggregates. Therefore, this difference can be used to forecast damage to the gangue concrete structure.
Author Contributions
Funding
Conflicts of Interest
References
- Mehta, P.K.; Monteiro, P.J.M. Concrete: Microstructure, Properties and Materials; McGraw-Hill: New York, NY, USA, 2006. [Google Scholar]
- Sreebha, S.; Padmalal, D. Environmental Impact Assessment of Sand Mining from the Small Catchment Rivers in the Southwestern Coast of India: A Case Study. Environ. Manag. 2011, 47, 130–140. [Google Scholar] [CrossRef] [PubMed]
- Juniah, R.; Rahmi, H. The Influence of Sand Mining towards the Sustainability of Power Support and Capacity of Lambidaro River. In Proceedings of the 3rd International Conference on Construction and Building Engineering, Palembang, Indonesia, 14–17 August 2017. [Google Scholar]
- Wang, F.; Sun, C.; Ding, X.; Kang, T.; Nie, X. Experimental Study on the Vegetation Growing Recycled Concrete and Synergistic Effect with Plant Roots. Materials 2019, 12, 1855. [Google Scholar] [CrossRef] [PubMed]
- Li, S.; Li, Q.; Zhao, X.; Luo, J.; Gao, S.; Yue, G.; Su, D. Experimental Study on the Preparation of Recycled Admixtures by Using Construction and Demolition Waste. Materials 2019, 12, 1678. [Google Scholar] [CrossRef] [PubMed]
- Authority, B.W. Provisional Regulations on the Administration of River Sand and Gravel Mining in Beijing. Available online: http://www.bjwater.gov.cn/bjwater/300747/300754/300760/306772/index.html (accessed on 4 August 2014).
- Bian, Z.; Dong, J.; Lei, S.; Leng, H.; Mu, S.; Wang, H. The impact of disposal and treatment of coal mining wastes on environment and farmland. Environ. Geol. 2009, 58, 625–634. [Google Scholar] [CrossRef]
- Li, B.; Ju, F. An experimental investigation into the compaction characteristic of granulated gangue backfilling materials modified with binders. Environ. Earth Sci. 2018, 77, 284. [Google Scholar] [CrossRef]
- Jones, M.R.; McCarthy, A. Utilising unprocessed low-lime coal fly ash in foamed concrete. Fuel 2005, 84, 1398–1409. [Google Scholar] [CrossRef]
- Ohtsu, M.; Watanabe, H. Quantitative damage estimation of concrete by acoustic emission. Constr. Build. Mater. 2001, 15, 217–224. [Google Scholar] [CrossRef]
- Otsuka, K.; Date, H. Fracture process zone in concrete tension specimen. Eng. Fract. Mech. 2000, 65, 111–131. [Google Scholar] [CrossRef]
- Grosse, C.U.; Finck, F. Quantitative evaluation of fracture processes in concrete using signal-based acoustic emission techniques. Cem. Concr. Compos. 2006, 28, 330–336. [Google Scholar] [CrossRef]
- Carpinteri, A.; Lacidogna, G.; Pugno, N. Structural damage diagnosis and life-time assessment by acoustic emission monitoring. Eng. Fract. Mech. 2007, 74, 273–289. [Google Scholar] [CrossRef]
- Landis, E.N.; Baillon, L. Experiments to relate acoustic emission energy to fracture energy of concrete. J. Eng. Mech. ASCE 2002, 128, 698–702. [Google Scholar] [CrossRef]
- Zhang, L.; Oskoe, S.K.; Li, H.; Ozevin, D. Combined Damage Index to Detect Plastic Deformation in Metals Using Acoustic Emission and Nonlinear Ultrasonics. Materials 2018, 11, 2151. [Google Scholar] [CrossRef] [PubMed]
- Colombo, I.S.; Main, I.G.; Forde, M.C. Assessing damage of reinforced concrete beam using “b-value” analysis of acoustic emission signals. J. Mater. Civ. Eng. 2003, 15, 280–286. [Google Scholar] [CrossRef]
- Kurz, J.H.; Finck, F.; Grosse, C.U.; Reinhardt, H.W. Stress drop and stress redistribution in concrete quantified over time by the b-value analysis. Struct. Health Monit. Int. J. 2006, 5, 69–81. [Google Scholar] [CrossRef]
- Carpinteri, A.; Lacidogna, G.; Puzzi, S. From criticality to final collapse: Evolution of the “b-value” from 1.5 to 1.0. Chaos Solitons Fractals 2009, 41, 843–853. [Google Scholar] [CrossRef]
- Idrissi, H.; Limam, A. Study and characterization by acoustic emission and electrochemical measurements of concrete deterioration caused by reinforcement steel corrosion. NDT E Int. 2003, 36, 563–569. [Google Scholar] [CrossRef]
- Ohtsu, M.; Tomoda, Y. Phenomenological model of corrosion on process in reinforced concrete identified by acoustic emmission. ACI Mater. J. 2008, 105, 194–199. [Google Scholar]
- Kawasaki, Y.; Wakuda, T.; Kobarai, T.; Ohtsu, M. Corrosion mechanisms in reinforced concrete by acoustic emission. Constr. Build. Mater. 2013, 48, 1240–1247. [Google Scholar] [CrossRef]
- Mangual, J.; ElBatanouny, M.; Ziehl, P.; Matta, F. Corrosion Damage Quantification of Prestressing Strands Using Acoustic Emission. J. Mater. Civ. Eng. 2013, 25, 1326–1334. [Google Scholar] [CrossRef]
- Muralidhara, S.; Prasad, B.K.R.; Eskandari, H.; Karihaloo, B.L. Fracture process zone size and true fracture energy of concrete using acoustic emission. Constr. Build. Mater. 2010, 24, 479–486. [Google Scholar] [CrossRef]
- Ohno, K.; Ohtsu, M. Crack classification in concrete based on acoustic emission. Constr. Build. Mater. 2010, 24, 2339–2346. [Google Scholar] [CrossRef]
- Ohtsu, M.; Shiotani, T.; Shigeishi, M.; Kamada, T.; Yuyama, S.; Watanabe, T.; Suzuki, T.; van Mier, J.G.M.; Vogel, T.; Grosse, C.; et al. Recommendation of RILEM TC 212-ACD: acoustic emission and related NDE techniques for crack detection and damage evaluation in concrete Test method for classification of active cracks in concrete structures by acoustic emission. Mater. Struct. 2010, 43, 1187–1189. [Google Scholar] [CrossRef]
- Angel Climent, M.; Miro, M.; Carbajo, J.; Poveda, P.; de Vera, G.; Ramis, J. Use of Non-Linear Ultrasonic Techniques to Detect Cracks Due to Steel Corrosion in Reinforced Concrete Structures. Materials 2019, 12, 813. [Google Scholar] [CrossRef]
- Xiaodong, S. Energy-Saving Manufacture and High-Efficient Application of Portland Cement; China Architecture & Building Press: Beijing, China, 2016. [Google Scholar]
- MOHURD. Standard for Test Method of Mechanical Properties on Ordinary Concrete; China Architecture & Building Press: Beijing, China, 2003; Volume GB/T 50081-2002, p. 2.
- Zhang, M.W.; Meng, Q.B.; Liu, S.D.; Qian, D.Y.; Zhang, N. Impacts of Cyclic Loading and Unloading Rates on Acoustic Emission Evolution and Felicity Effect of Instable Rock Mass. Adv. Mater. Sci. Eng. 2018, 16. [Google Scholar] [CrossRef]
- Zhang, L. Research on Concrete Damage Detection by Using Acoustic Emission Technology; Dalian Maritime University: Dalian, China, 2012. [Google Scholar]
- Guo, M.H.; Alam, S.Y.; Bendimerad, A.Z.; Grondin, F.; Roziere, E.; Loukili, A. Fracture process zone characteristics and identification of the micro-fracture phases in recycled concrete. Eng. Fract. Mech. 2017, 181, 101–115. [Google Scholar] [CrossRef]
- Kencanawati, N.N.; Iizasa, S.; Shigeishi, M. Fracture process and reliability of concrete made from high grade recycled aggregate using acoustic emission technique under compression. Mater. Struct. 2013, 46, 1441–1448. [Google Scholar] [CrossRef]
- Xu, J.; Shu, S.R.; Han, Q.H.; Liu, C. Experimental research on bond behavior of reinforced recycled aggregate concrete based on the acoustic emission technique. Constr. Build. Mater. 2018, 191, 1230–1241. [Google Scholar] [CrossRef]














| Grading Type | W/C (%) | s/a (%) | Weight Per Unit Volume (kg/m3) | |||
|---|---|---|---|---|---|---|
| CG/G | S | C | W | |||
| Gangue concrete | 45 | 25 | 1255 | 418 | 418 | 188 |
| Ordinary concrete | 45 | 42 | 1242 | 558 | 373 | 168 |
| Mineral Composition | Q | K | I | I/S | S | Cl | F | D | C | L | P | Coal |
|---|---|---|---|---|---|---|---|---|---|---|---|---|
| Gangue | 20 | 33 | 10 | 11 | 2 | 2 | 0.5 | 0.5 | 0.5 | 1.3 | 2.6 | 15 |
| Chemical Component | Na2O | MgO | Al2O3 | SiO2 | K2O | CaO | Fe2O3 | P | S |
|---|---|---|---|---|---|---|---|---|---|
| Gangue | 0.41 | 1.4 | 20.7 | 53.7 | 2.0 | 1.3 | 6.7 | 0.05 | 1.53 |
| Chemical component | F | Ba | Mn | Cu | Pb | Zn | Ti | Cl | |
| Gangue | <0.045 | ≤0.002 | 0.043 | 0.0005 | <0.0002 | 0.005 | 0.42 | 0.009 |
© 2019 by the authors. Licensee MDPI, Basel, Switzerland. This article is an open access article distributed under the terms and conditions of the Creative Commons Attribution (CC BY) license (http://creativecommons.org/licenses/by/4.0/).
Share and Cite
Xiao, M.; Ju, F.; Ning, P.; Li, K. Mechanical and Acoustic Emission Behavior of Gangue Concrete under Uniaxial Compression. Materials 2019, 12, 3318. https://doi.org/10.3390/ma12203318
Xiao M, Ju F, Ning P, Li K. Mechanical and Acoustic Emission Behavior of Gangue Concrete under Uniaxial Compression. Materials. 2019; 12(20):3318. https://doi.org/10.3390/ma12203318
Chicago/Turabian StyleXiao, Meng, Feng Ju, Pai Ning, and Kaiyuan Li. 2019. "Mechanical and Acoustic Emission Behavior of Gangue Concrete under Uniaxial Compression" Materials 12, no. 20: 3318. https://doi.org/10.3390/ma12203318
APA StyleXiao, M., Ju, F., Ning, P., & Li, K. (2019). Mechanical and Acoustic Emission Behavior of Gangue Concrete under Uniaxial Compression. Materials, 12(20), 3318. https://doi.org/10.3390/ma12203318

