Permeable Nanomontmorillonite and Fibre Reinforced Cementitious Binders
Abstract
1. Introduction
2. Materials and Methods
2.1. Materials
- Portland limestone cement CEMII/A-L42.5, with a limestone content of 14%, conforming to EN 197-1. The supplier gave the following clinker composition: 70% C3S, 4% C2S, 9% C3A, 12% C4AF.
- Limestone (LS) (additional), conforming to EN 197-1.
- Fly ash (FA), conforming to EN 450. The oxide composition provided by the material data sheet was: 53.5% SiO2, 34.3% Al2O3, 3,6% Fe2O3, 4.4% CaO.
- Organomodified nMt, nC1 dispersed in water with the help of a non-ionic fatty alcohol and 1% by mass defoaming agent, containing about 15% by mass of nMt particles.
- Organomodified nMt, nC2 dispersed in water with the help of an alkyl aryl sulfonate surfactant, containing about 15% by mass of nMt particles.
- Inorganic nanomontmorillonite, nC3, in an aqueous dispersion containing about 15% by mass of nMt particles.
- Commercially available colloidal amorphous nS 15% by mass of nanoparticles in an aqueous suspension (LnS)
- Polyvinyl alcohol (PVA) fibers, kuralon H-1, 4 mm added at 2% by weight in quaternary pastes and at 4% by weight in quinary pastes.
- Superplasticizer (SP) viscocrete 20HE added at 2% by weight.
- In nC1 the platelets were possibly re-agglomerating in the cement paste. This re-agglomeration leads to increase in porosity and reduction in density of nC1 added formulations due to the void creation. Such results were expected to aggravate with the increase of the nC1 percentage addition.
- In dispersion nC2, the anionic surfactant mostly kept the platelets partially exfoliated, better dispersed in water and did not allow the micro-cracks to propagate under loading conditions. Some areas of re-agglomeration were identified.
- Dispersion nC3 was fully exfoliated allowing for centers of crystallization to form and bridge or arrest micro-cracks from forming.
2.2. Mix Design
2.2.1. nMt-fibre Reinforced Quaternary Cementitious Nanocomposites
2.2.2. nMt and LnS-fibre Reinforced Quinary Cementitious Nanocomposites
2.3. Sample Preparation
2.3.1. Production of Specimens
2.3.2. Sample Preparation for Characterization.
2.4. Testing Programme
3. Results and Discussion
3.1. Flexural Strength of nMt and Fibre Reinforced Cementitious Nanocomposites
3.1.1. nMt-fibre Reinforced Quaternary Cementitious Nanocomposites
3.1.2. nMt and LnS-fibre Reinforced Quinary Cementitious Nanocomposites
3.2. Thermogravimetric and Crystallographic Analyses of nMt and Fibre Reinforced Cementitious Nanocomposites Based on F.PC60LS20FA20PVA3SP2
3.3. Microstructural Characterisation of nMt and Fibre Reinforced Cementitious Nanocomposites Based on F.PC60LS20FA20PVA3SP2
3.4. Late Age Relative Density of nMt and Fibre Reinforced Cementitious Nanocomposites Based on F.PC60LS20FA20PVA3SP2
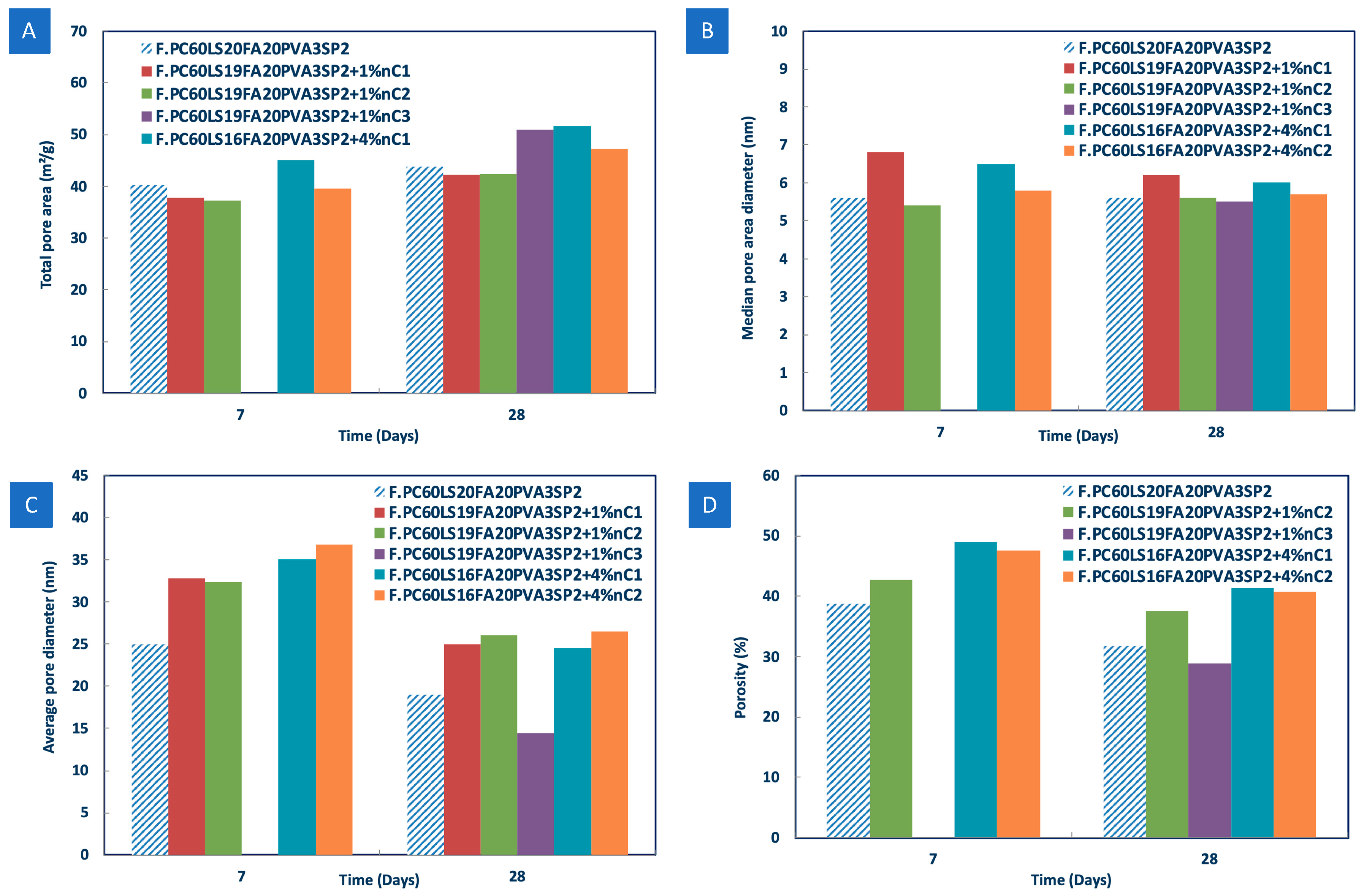
3.5. Mercury Intrusion Porosimetry (MIP) of nMt and Fibre Reinforced Cementitious Nanocomposites Based on F.PC60LS20FA20PVA3SP2
3.6. Water Permeability of nMt and Fibre Reinforced Cementitious Nanocomposites Based on F.PC60LS20FA20PVA3SP2
4. Conclusions
Author Contributions
Funding
Acknowledgments
Conflicts of Interest
References
- Sobolev, K.; Gutiérrez, M.F. How nanotechnology can change the concrete world: Part one of a two-part series. Am. Ceram. Soc. Bull. 2005, 84, 14. [Google Scholar]
- Papatzani, S.; Paine, K.; Calabria-Holley, J. A comprehensive review of the models on the nanostructure of calcium silicate hydrates. Constr. Build. Mater. 2015, 74, 219–234. [Google Scholar] [CrossRef]
- Papatzani, S. Effect of nanosilica and montmorillonite nanoclay particles on cement hydration and microstructure. Mater. Sci. Technol. 2016, 32, 138–153. [Google Scholar] [CrossRef]
- Papatzani, S.; Paine, K. Polycarboxylate/nanosilica-modified quaternary cement formulations – enhancements and limitations. Adv. Cem. Res. 2018, 30, 256–269. [Google Scholar] [CrossRef]
- Papatzani, S.; Paine, K. Optimization of Low-Carbon Footprint Quaternary and Quinary (37% Fly Ash) Cementitious Nanocomposites with Polycarboxylate or Aqueous Nanosilica Particles. Adv. Mater. Sci. Eng. 2019, 2019, 26. [Google Scholar] [CrossRef]
- Papatzani, S.; Paine, K.; Calabria-Holley, J. The effect of the addition of nanoparticles of silica on the strength and microstructure of blended Portland cement pastes. National Ready Mixed Concrete Association (NRMCA), Boston, May. Int. Concr. Sustain. Conf. 2014, 12–15. [Google Scholar]
- Calabria-Holley, J.; Papatzani, S.; Naden, B.; Mitchels, J.; Paine, K. Tailored montmorillonite nanoparticles and their behaviour in the alkaline cement environment. Appl. Clay Sci. 2017, 143, 67–75. [Google Scholar] [CrossRef]
- Papatzani, S.; Grammatikos, S.; Adl-Zarrabi, B.; Paine, K. Pore-structure and microstructural investigation of organomodified/Inorganic nano-montmorillonite cementitious nanocomposites. Am. Inst. Phys. 2018, 1957, 030004. [Google Scholar] [CrossRef]
- Cwirzen, A. Controlling Physical Properties of Cementitious Matrixes by Nanomaterials. Adv. Mater. Res. 2010, 123–125, 639–642. [Google Scholar] [CrossRef]
- Gdoutos, E.E.; Konsta-Gdoutos, M.S.; Danoglidis, P.A. Portland cement mortar nanocomposites at low carbon nanotube and carbon nanofiber content: A fracture mechanics experimental study. Cem. Concr. Compos. 2016, 70, 110–118. [Google Scholar] [CrossRef]
- Heath, A.; Paine, K.; Goodhew, S.; Ramage, M.; Lawrence, M. The potential for using geopolymer concrete in the UK. Proc. Inst. Civ. Eng. Constr. Mater. 2013, 166, 195–203. [Google Scholar] [CrossRef]
- Scrivener, K.L.; Nonat, A. Hydration of cementitious materials, present and future. Cem. Concr. Res. 2011, 41, 651–665. [Google Scholar] [CrossRef]
- BSI. BS EN 197-1:2011: Cement. Part 1: Composition, Specifications and Conformity Criteria for Common Cements; BSI: London, UK, 2011. [Google Scholar]
- Chang, T.P.; Shih, J.Y.; Yang, K.M.; Hsiao, T.C. Material properties of Portland cement paste with nano-montmorillonite. J. Mater. Sci. 2007, 42, 7478–7487. [Google Scholar] [CrossRef]
- Missa, V.; Tarnaras, I.; Papavasiliou, C.; Papatzani, S.; Aftias, E. Methodology for Adapting Hydrological Impacts and Adapting Hydrological Model to Risk Assessment. 2005. Available online: https://www.researchgate.net/publication/237783832_Methodology_for_adapting_hydrological_impacts_and_adapting_hydrological_model_to_risk_assessment (accessed on 9 September 2019).
- Wang, Y.; Li, H.; Abdelhady, A.; Harvey, J. Initial evaluation methodology and case studies for life cycle impact of permeability of permeable pavements. Int. J. Transp. Sci. Technol. 2018, 7, 169–178. [Google Scholar] [CrossRef]
- Shakrani, S.A.; Ayob, A.; Rahim, M.A.A. A review of nanoclay applications in the pervious concrete pavement. AIP Conf. Proc. 2017, 1885, 020049. [Google Scholar] [CrossRef]
- Li, H. Chapter 2 Literature Review on Cool Pavement Research. In Pavement Material for Heat Island Mitigation; Li, H., Ed.; Butterworth-Heinemann: Boston, MA, USA, 2016; pp. 15–42. [Google Scholar] [CrossRef]
- Kubba, S. Chapter 6 Choosing Materials and Products. In Green Construction Project Managament and Cost Oversight; Kubba, S., Ed.; Architectural Press: Boston, MA, USA, 2010; pp. 221–266. [Google Scholar] [CrossRef]
- Li, H. Chapter 5 Permeable Pavements and Permeability. In Pavement Material for Heat Island Mitigation; Li, H., Ed.; Butterworth-Heinemann: Boston, MA, USA, 2016; pp. 79–96. [Google Scholar] [CrossRef]
- Plati, C. Sustainability factors in pavement materials, design, and preservation strategies: A literature review. Constr. Build. Mater. 2019, 211, 539–555. [Google Scholar] [CrossRef]
- Yuan, L.; Huang, D.; Guo, W.; Yang, Q.; Yu, J. TiO2/montmorillonite nanocomposite for removal of organic pollutant. Appl. Clay Sci. 2011, 53, 272–278. [Google Scholar] [CrossRef]
- Papatzani, S.; Badogiannis, E.G.; Paine, K. The pozzolanic properties of inorganic and organomodified nano-montmorillonite dispersions. Constr. Build. Mater. 2018, 167, 299–316. [Google Scholar] [CrossRef]
- Papatzani, S.; Paine, K. Dispersed Inorganic or Organomodified Montmorillonite Clay Nanoparticles for Blended Portland Cement Pastes: Effects on Microstructure and Strength. In Nanotechnology in Construction; Sobolev, K., Shah, S.P., Eds.; Springer International Publishing: Cham, Switzerland, 2015; pp. 131–139. [Google Scholar] [CrossRef]
- Papatzani, S.; Paine, K. Inorganic and organomodified nano-montmorillonite dispersions for use as supplementary cementitious materials—A novel theory based on nanostructural studies. Nanocomposites 2017, 3, 2–19. [Google Scholar] [CrossRef]
- He, X.; Shi, X. Chloride permeability and microstructure of Portland cement mortars incorporating nanomaterials. Transp. Res. Rec. J. Transp. Res. Board. 2008, 2070, 13–21. [Google Scholar] [CrossRef]
- Yu, P.; Wang, Z.; Lai, P.; Zhang, P.; Wang, J. Evaluation of mechanic damping properties of montmorillonite/organo-modified montmorillonite-reinforced cement paste. Constr. Build. Mater. 2019, 203, 356–365. [Google Scholar] [CrossRef]
- Papatzani, S.; Paine, K. From Nanostructural Characterization of Nanoparticles to Performance Assessment of Low Clinker Fiber–Cement Nanohybrids. Appl. Sci. 2019, 9, 22. [Google Scholar] [CrossRef]
- Calabria-Holley, J.; Papatzani, S. Effects of nanosilica on the calcium silicate hydrates in Portland cement-fly ash systems. Adv. Cem. Res. 2014, 26, 1–14. [Google Scholar]
- Zhang, J.; Scherer, G.W. Comparison of methods for arresting hydration of cement. Cem. Concr. Res. 2011, 41, 1024–1036. [Google Scholar] [CrossRef]
- Struble, L.; Livesey, P.; Del Strother, P.; Bye, G. Portland Cement; ICE Publishing: London, UK, 2011. [Google Scholar] [CrossRef]
- Papatzani, S.; Paine, K. Lowering cement clinker: A thorough, performance based study on the use of nanoparticles of SiO2 or montmorillonite in Portland limestone nanocomposites. Eur. Phys. J. Plus. 2018, 133, 430. [Google Scholar] [CrossRef]
- Mohamed, A.M. Influence of nano materials on flexural behavior and compressive strength of concrete. HBRC J. 2016, 12, 212–225. [Google Scholar] [CrossRef]
- Tonoli, G.H.D.; Pizzol, V.D.; Urrea, G.; Santos, S.F.; Mendes, L.M.; Santos, V.; John, V.M.; Frías, M.; Savastano, H. Rationalizing the impact of aging on fiber-matrix interface and stability of cement-based composites submitted to carbonation at early ages. J. Mater. Sci. 2016, 51, 1–15. [Google Scholar] [CrossRef]
- Wild, S. A discussion of the paper: Mercury porosimetry: an inappropriate method for the measurement of pore size distributions in cement-based materials. Cem. Concr. Res. 2001, 31, 1653–1656. [Google Scholar] [CrossRef]
- Diamond, S. Mercury porosimetry: An inappropriate method for the measurement of pore size distributions in cement-based materials. Cem. Concr. Res. 2000, 30, 1517–1525. [Google Scholar] [CrossRef]
- Farzadnia, N.; Abang Ali, A.A.; Demirboga, R.; Anwar, M.P. Effect of halloysite nanoclay on mechanical properties, thermal behavior and microstructure of cement mortars. Cem. Concr. Res. 2013, 48, 97–104. [Google Scholar] [CrossRef]
- DeJong, M.J.; Ulm, F.-J. The nanogranular behavior of C-S-H at elevated temperatures (up to 700 °C). Cem. Concr. Res. 2007, 37, 1–12. [Google Scholar] [CrossRef]

















| Sample | PC (%) | LS (%) | FA (%) | nMt (%solids) | SP (%) | PVA (%) | W/S |
|---|---|---|---|---|---|---|---|
| F.PC60LS20FA20PVA3SP2 | 60 | 20 | 20 | 0.0 | 2 | 3 | 0.3 |
| F.PC60LS19.5FA20PVA3SP2 + 0.5% nMt | 60 | 19.5 | 20 | 0.5 | 2 | 3 | 0.3 |
| F.PC60LS39PVA3SP2 + 1%n Mt | 60 | 19 | 20 | 1.0 | 2 | 3 | 0.3 |
| F.PC60LS18FA20PVA3SP2 + 2% nMt | 60 | 18 | 20 | 2.0 | 2 | 3 | 0.3 |
| F.PC60LS16FA20PVA3SP2 + 4% nMt | 60 | 16 | 20 | 4.0 | 2 | 3 | 0.3 |
| Sample | PC (%) | LS (%) | FA (%) | nC1 (%solids) | LnS (%solids) | SP (%) | PVA (%) | W/S |
|---|---|---|---|---|---|---|---|---|
| F.PC60LS20FA20PVA4SP2 | 60 | 20 | 20 | 0.0 | 0.0 | 2 | 4 | 0.3 |
| F.PC60LS19.5FA20PVA4SP2 + 2.0% nC1 | 60 | 19.5 | 20 | 2.0 | 0.0 | 2 | 4 | 0.3 |
| F.PC60LS17.5FA20PVA4SP2 + 2.0% nC1 + 0.5% LnS | 60 | 17.5 | 20 | 2.0 | 0.5 | 2 | 4 | 0.3 |
| F.PC60LS17FA20PVA4SP2 + 2% nC1 + 1.0% LnS | 60 | 17 | 20 | 2.0 | 1.0 | 2 | 4 | 0.3 |
© 2019 by the authors. Licensee MDPI, Basel, Switzerland. This article is an open access article distributed under the terms and conditions of the Creative Commons Attribution (CC BY) license (http://creativecommons.org/licenses/by/4.0/).
Share and Cite
Papatzani, S.; Grammatikos, S.; Paine, K. Permeable Nanomontmorillonite and Fibre Reinforced Cementitious Binders. Materials 2019, 12, 3245. https://doi.org/10.3390/ma12193245
Papatzani S, Grammatikos S, Paine K. Permeable Nanomontmorillonite and Fibre Reinforced Cementitious Binders. Materials. 2019; 12(19):3245. https://doi.org/10.3390/ma12193245
Chicago/Turabian StylePapatzani, Styliani, Sotirios Grammatikos, and Kevin Paine. 2019. "Permeable Nanomontmorillonite and Fibre Reinforced Cementitious Binders" Materials 12, no. 19: 3245. https://doi.org/10.3390/ma12193245
APA StylePapatzani, S., Grammatikos, S., & Paine, K. (2019). Permeable Nanomontmorillonite and Fibre Reinforced Cementitious Binders. Materials, 12(19), 3245. https://doi.org/10.3390/ma12193245
