Tunable Two-Layer Dual-Band Metamaterial with Negative Modulus
Abstract
1. Introduction
2. Model and Simulation
3. Results and Discussion
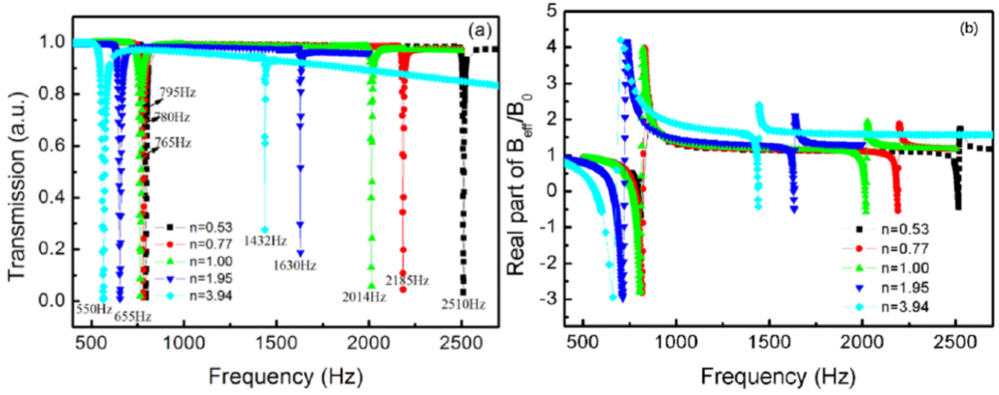
3.1. Effect of the Same Hole Diameters of TLSHSs on Transmission Properties
3.2. Effect of the Hole Diameters of TLSHSs on Transmission Properties
3.2.1. Inner Hole Diameters
3.2.2. Outer Hole Diameters
3.3. Effect of the Relative Volume of TLSHSs on Transmission Properties
4. Conclusions
Author Contributions
Funding
Conflicts of Interest
References
- Liu, Z.Y.; Zhang, X.X.; Mao, Y.W.; Zhu, Y.Y.; Yang, Z.Y.; Chan, C.T.; Sheng, P. Locally resonant sonic materials. Science 2000, 289, 1734–1736. [Google Scholar] [CrossRef] [PubMed]
- Fang, N.; Xi, D.; Xu, J.; Ambati, M.; Srituravanich, W.; Sun, C.; Zhang, X. Ultrasonic metamaterials with negative modulus. Nat. Mater. 2006, 5, 452–456. [Google Scholar] [CrossRef] [PubMed]
- Shoichi, K.; Naoki, M.; Hiroshi, S. Sparse sound field decomposition for super-resolution in recording and reproduction. J. Acoust. Soc. Am. 2018, 143, 3780–3795. [Google Scholar]
- Farhat, M.; Enoch, S.; Guenneau, S.; Movchan, A.B. Broadband cylindrical acoustic cloak for linear surface waves in a fluid. Phys. Rev. Lett. 2008, 101, 134501. [Google Scholar] [CrossRef] [PubMed]
- Zhu, J.; Christensen, J.; Jung, J.; Martin-Moreno, L.; Yin, X.; Fok, L.; Garcia-Vidal, F.J. A holey-structured metamaterial for acoustic deep-subwavelength imaging. Nat. Phys. 2011, 7, 52–55. [Google Scholar] [CrossRef]
- Shelby, R.A.; Smith, D.R.; Schultz, S. Experimental verification of a negative index of refraction. Science 2001, 292, 77–79. [Google Scholar] [CrossRef]
- Brunet, T.; Merlin, A.; Mascaro, B.; Zimny, K.; Leng, J.; Poncelet, O.; Aristegui, C.; Mondain-Monval, O. Soft 3D acoustic metamaterial with negative index. Nat. Mater. 2015, 14, 384–388. [Google Scholar] [CrossRef]
- Zhai, S.L.; Zhao, X.P.; Liu, S.; Shen, F.L.; Li, L.L.; Luo, C.R. Inverse doppler effects in broadband acoustic metamaterials. Sci. Rep. 2016, 6, 32388. [Google Scholar] [CrossRef]
- Liu, C.R.; Wu, J.H.; Lu, K.; Zhao, Z.T.; Huang, Z. Acoustical siphon effect for reducing the thickness in membrane-type metamaterials with low-frequency broadband absorption. Appl. Acoust. 2019, 148, 1–8. [Google Scholar] [CrossRef]
- Lee, S.H.; Park, C.M.; Yong, M.S.; Zhi, G.W.; Kim, C.K. Acoustic metamaterial with negative modulus. J. Phys. Condens. Matter 2009, 21, 175704. [Google Scholar] [CrossRef]
- Lee, S.H.; Park, C.M.; Yong, M.S.; Zhi, G.W.; Kim, C.K. Acoustic metamaterial with negative density. Phys. Lett. A 2009, 373, 4464–4469. [Google Scholar] [CrossRef]
- Candido de Sousa, V.; Sugino, C.; Junior, C.D.M.; Erturk, A. Adaptive locally resonant metamaterials leveraging shape memory alloys. J. Appl. Phys. 2018, 124, 064505. [Google Scholar] [CrossRef]
- Ding, C.L.; Dong, Y.B.; Song, K.; Zhai, S.L.; Wang, Y.B.; Zhao, X.P. Mutual Inductance and Coupling Effects in Acoustic Resonant Unit Cells. Materials 2019, 12, 1558. [Google Scholar] [CrossRef] [PubMed]
- Liu, C.R.; Wu, J.H.; Chen, X.; Ma, F. A thin low-frequency broadband metasurface with multi-order sound absorption. J. Phys. D Appl. Phys. 2019, 52, 105302. [Google Scholar] [CrossRef]
- Jing, X.; Meng, Y.; Sun, X. Soft resonator of omnidirectional resonance for acoustic metamaterials with a negative bulk modulus. Sci. Rep. 2015, 5, 16110. [Google Scholar] [CrossRef] [PubMed]
- Fan, L.; Chen, Z.; Zhang, S.; Ding, J.; Li, X.; Zhang, H. An acoustic metamaterial composed of multi-layer membrane-coated perforated plates for low-frequency sound insulation. Appl. Phys. Lett. 2015, 106, 151908. [Google Scholar] [CrossRef]
- Yang, Z.; Dai, H.M.; Chan, N.H.; Ma, G.C.; Sheng, P. Acoustic metamaterial panels for sound attenuation in the 50–1000 Hz regime. Appl. Phys. Lett. 2010, 96, 041906. [Google Scholar] [CrossRef]
- Lewińska, M.A.; Kouznetsova, V.G.; Dommelen Van, J.A.W.; Krushynska, A.O.; Geers, M.G.D. The attenuation performance of locally resonant acoustic metamaterials based on generalised viscoelastic modelling. Int. J. Solids. Stru. 2017, 126, 163–174. [Google Scholar] [CrossRef]
- Ren, S.W.; Meng, H.; Xin, F.X.; Lu, T.J. Ultrathin multi-slit metamaterial as excellent sound absorber: Influence of micro-structure. J. Appl. Phys. 2016, 119, 014901. [Google Scholar] [CrossRef]
- Shen, C.; Jing, Y. Side branch-based acoustic metamaterials with a broad-band negative bulk modulus. Appl. Phys. A 2014, 117, 1885–1891. [Google Scholar] [CrossRef]
- Ding, C.L.; Zhao, X.P. Multi-band and broadband acoustic metamaterial with resonant structures. J. Phys. D Appl. Phys. 2011, 44, 215402. [Google Scholar] [CrossRef]
- Hao, L.M.; Men, M.L.; Zuo, Y.J.; Yan, X.L.; Zhang, P.L.; Chen, Z. Multibands acoustic metamaterial with multilayer structure. J. Phys. D Appl. Phys. 2018, 51, 385104. [Google Scholar] [CrossRef]
- Krushynska, A.O.; Miniaci, M.; Kouznetsova, V.G.; Geers MG, D. Multilayered inclusions in locally resonant metamaterials: Two-dimensional versus three-dimensional modeling. J. Vib. Acoust. 2017, 139, 024501. [Google Scholar] [CrossRef]
- Huang, J.B.; Su, Z.; Wang, S.L. Research on spring oscillator chai. Phys. Exp. 2016, 36, 32–36. (In Chinese) [Google Scholar]
- Xu, M.B.; Selamet, A.; Kim, H. Dual Helmholtz resonator. Appl. Acoust. 2010, 71, 822–829. [Google Scholar] [CrossRef]
- Krushynska, A.O. Between Science and Art: Thin Sound Absorbers Inspired by Slavic Ornaments. Front. Mater. 2019, 6, 182. [Google Scholar] [CrossRef]
- Starkey, T.A.; Smith, J.D.; Hibbins, A.P.; Sambles, J.R.; Rance, H.J. Thin structured rigid body for acoustic absorption. Appl. Phys. Lett. 2017, 110, 041902. [Google Scholar] [CrossRef]
- Ding, C.L.; Hao, L.M.; Zhao, X.P. Two-dimensional acoustic metamaterial with negative modulus. J. Appl. Phys. 2010, 108, 074911. [Google Scholar]











© 2019 by the authors. Licensee MDPI, Basel, Switzerland. This article is an open access article distributed under the terms and conditions of the Creative Commons Attribution (CC BY) license (http://creativecommons.org/licenses/by/4.0/).
Share and Cite
Hao, L.; Men, M.; Wang, Y.; Ji, J.; Yan, X.; Xie, Y.; Zhang, P.; Chen, Z. Tunable Two-Layer Dual-Band Metamaterial with Negative Modulus. Materials 2019, 12, 3229. https://doi.org/10.3390/ma12193229
Hao L, Men M, Wang Y, Ji J, Yan X, Xie Y, Zhang P, Chen Z. Tunable Two-Layer Dual-Band Metamaterial with Negative Modulus. Materials. 2019; 12(19):3229. https://doi.org/10.3390/ma12193229
Chicago/Turabian StyleHao, Limei, Meiling Men, Yazhe Wang, Jiayu Ji, Xiaole Yan, You Xie, Pengli Zhang, and Zhi Chen. 2019. "Tunable Two-Layer Dual-Band Metamaterial with Negative Modulus" Materials 12, no. 19: 3229. https://doi.org/10.3390/ma12193229
APA StyleHao, L., Men, M., Wang, Y., Ji, J., Yan, X., Xie, Y., Zhang, P., & Chen, Z. (2019). Tunable Two-Layer Dual-Band Metamaterial with Negative Modulus. Materials, 12(19), 3229. https://doi.org/10.3390/ma12193229

