Lead-Bismuth Eutectic: Atomic and Micro-Scale Melt Evolution
Abstract
1. Introduction
(i) Structural Correlations between Solid and Liquid during the Solidification of Pure Metals
(ii) Phase de-Mixing in Metal Systems with a Miscibility Gap in the Liquid State
(iii) Liquid–Liquid Phase Transitions in Pure Metals and Alloys
2. Materials and Methods
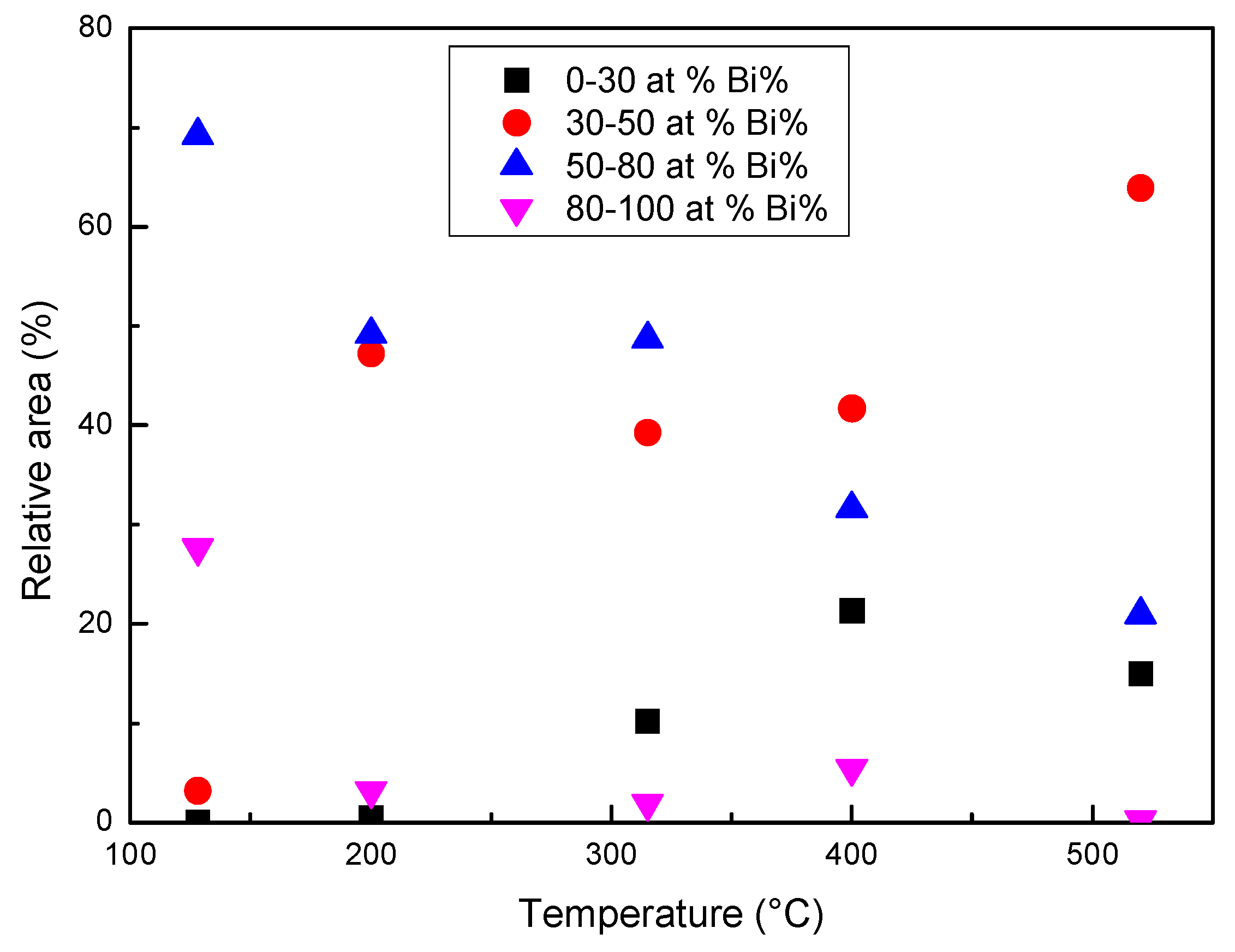
3. Results and Discussion
3.1. Structural Characterization
3.2. Chemical Characterization
4. Conclusions
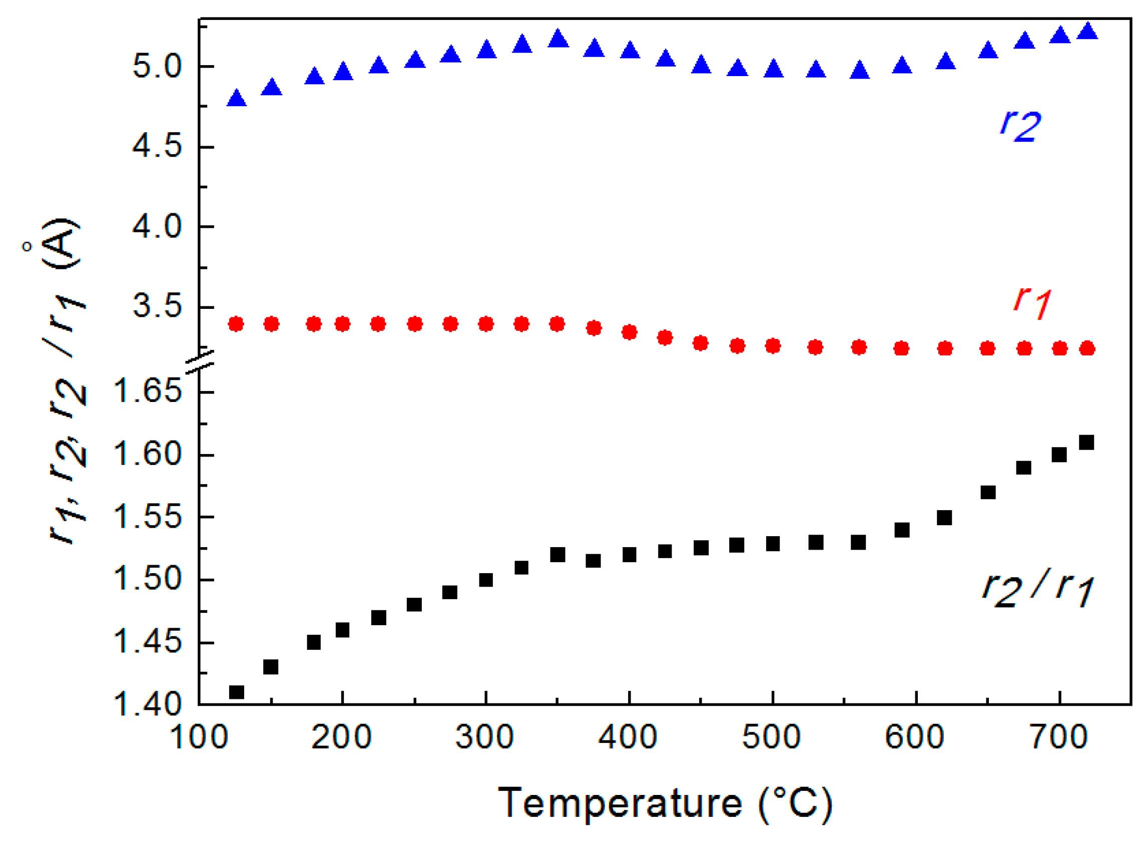
- After melting, the short-range order in liquid metal corresponds to a cuboctahedral arrangement of atoms that progressively evolves towards an icosahedral one as temperature increases. This structural transformation involves a negative expansion of the interatomic distances.
- This process is accompanied by variations of chemical distribution at the micro- and atomic scale, which take place in the temperature range of 350–520 °C.
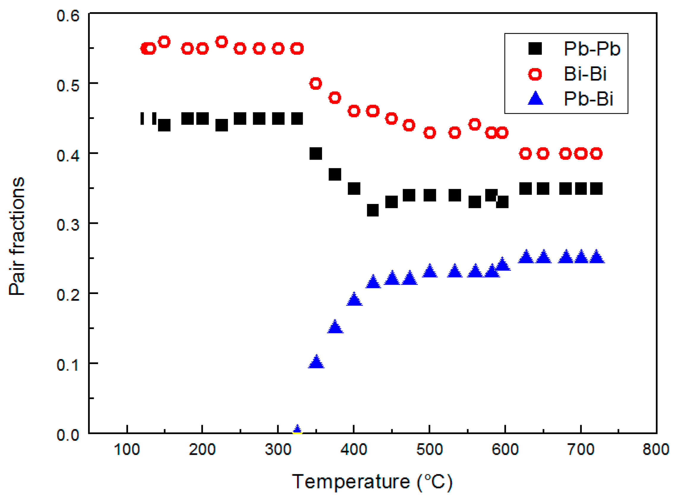
- A change of the relative number of Pb–Pb, Pb–Bi and Bi–Bi pairs is observed on an atomic scale. The Pb–Bi pairs are detected only at temperatures above ~350 °C and their fraction progressively increases, resulting in a more homogeneous distribution of the elements in the alloy.
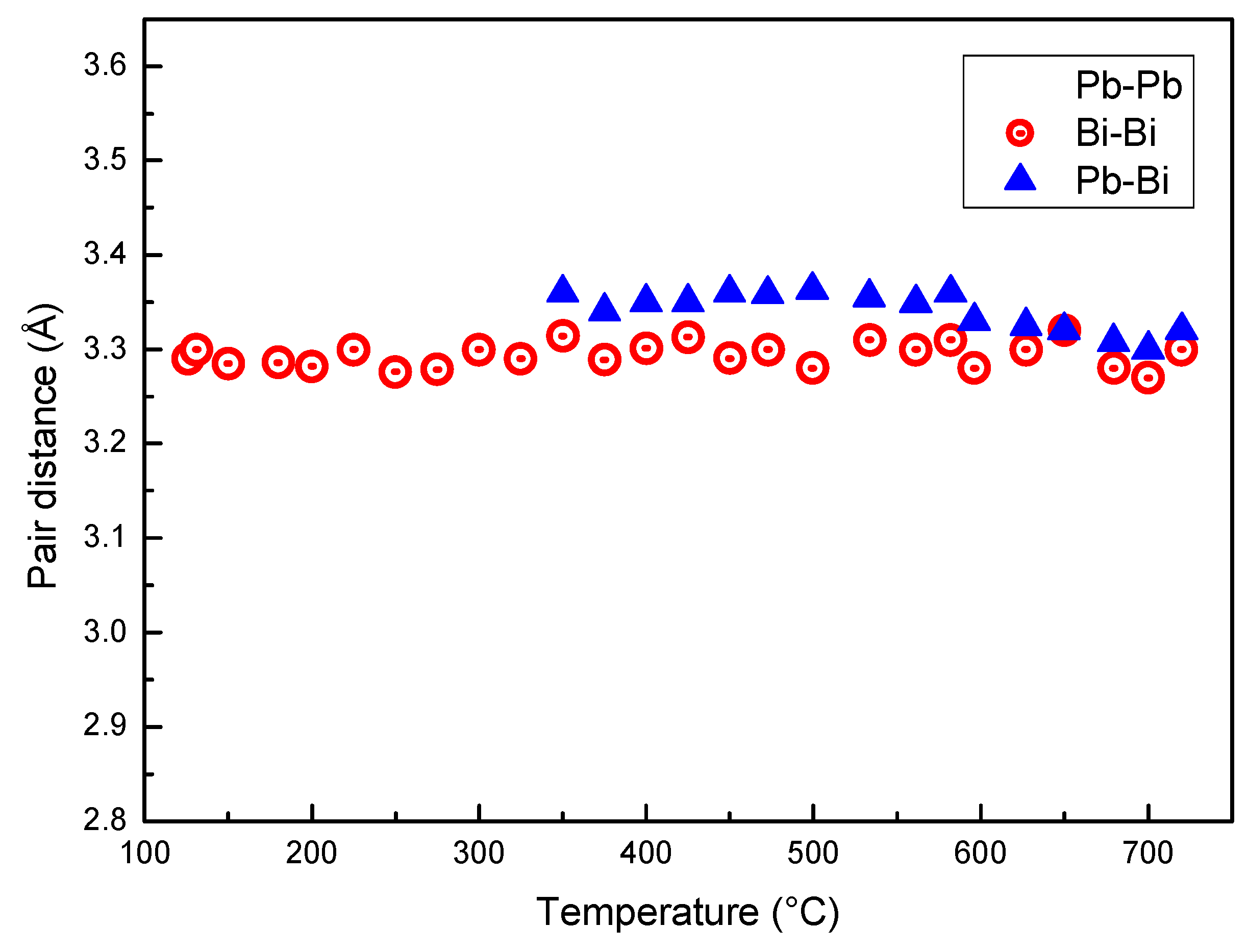
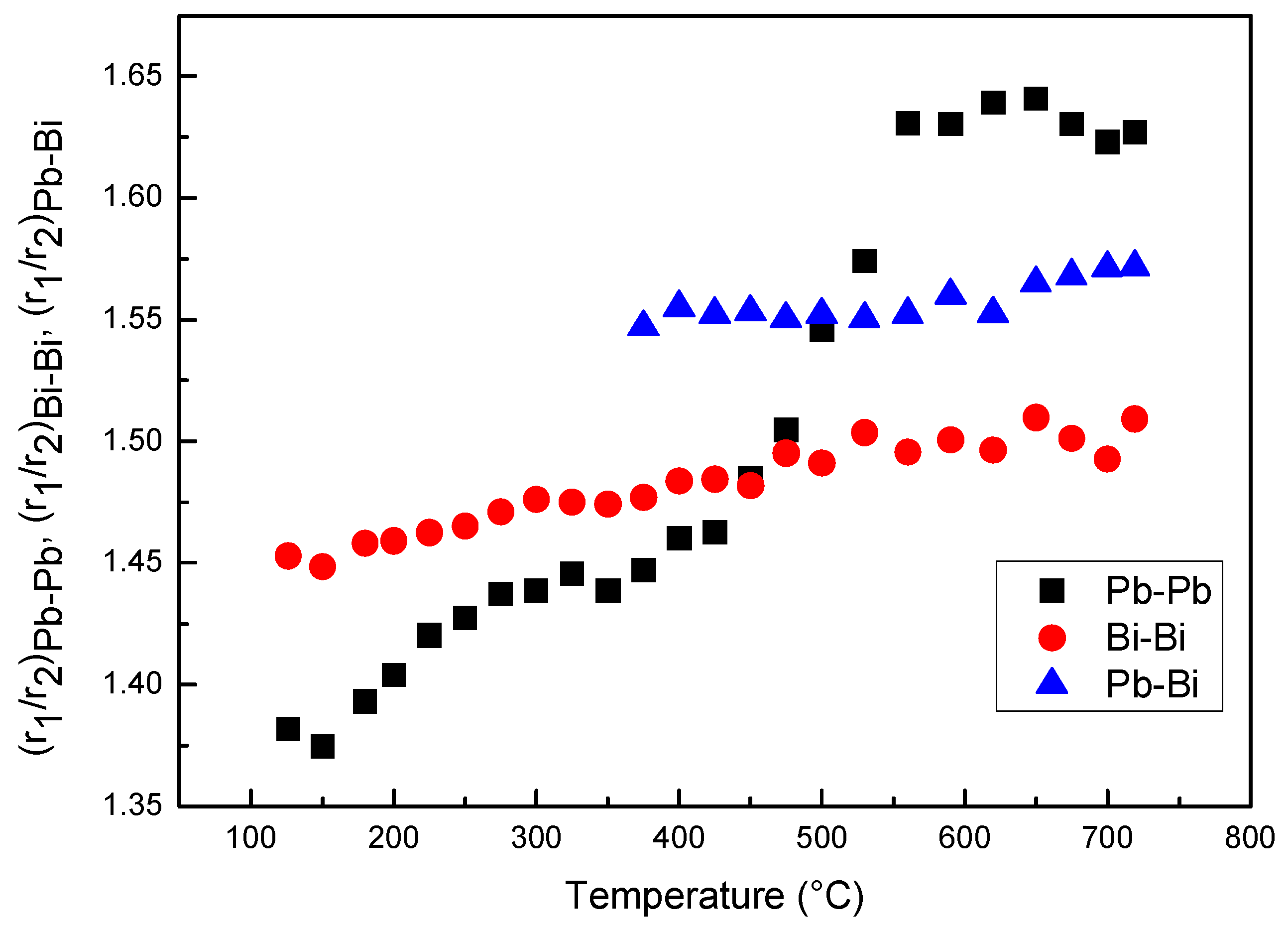
- The negative expansion of the interatomic distances in liquid LBE is mainly related to the atomic distance in Pb–Pb pairs, which drops from 350 to 520 °C, while Pb–Bi and Bi–Bi distances substantially do not change with temperature.
- The SPEM elemental maps, collected on the alloy surface after quenching from different temperatures, confirm a process of chemical homogenization on a micro-scale. The clusters rich in Bi and Pb are observed after alloy melting. They progressively dissolve as the temperature increases: Only a few residuals remain at 315 °C, and no more clusters are detected a 520 °C.
- Homogenization at the micro-scale seems to be the condition for the occurrence of that on an atomic scale.
Author Contributions
Funding
Acknowledgments
Conflicts of Interest
References
- Reichert, H.; Klein, O.; Dosch, H.; Denk, M.; Honkimaki, V.; Lippmann, T.; Reiter, G. Observation of five-fold local symmetry in liquid lead. Nature 2000, 408, 839–841. [Google Scholar] [CrossRef] [PubMed]
- Frank, F.C. Supercooling of liquids. Proc. R. Soc. Lond. A 1952, 215, 43–46. [Google Scholar]
- Bernal, J.D. Geometry of the Structure of Monatomic Liquids. Nature 1960, 185, 68–70. [Google Scholar] [CrossRef]
- Gafner, Y.Y.; Gafner, S.L.; Entel, P. Formation of an icosahedral structure during crystallizationof nickel nanoclusters. Phys. Solid State 2004, 46, 1327–1330. [Google Scholar] [CrossRef]
- Wang, Y.; Teitel, S.; Dellago, C. Melting of icosahedral gold nanoclusters from molecular dynamics simulations. J. Chem. Phys. 2005, 122, 214722. [Google Scholar] [CrossRef] [PubMed]
- Shen, Y.T.; Kim, T.H.; Gangopadhyay, A.K.; Kelton, K.F. Icosahedral order, frustration, and the glass transition: Evidence from time-dependent nucleation and supercooled liquid structure studies. Phys. Rev. Lett. 2009, 102, 057801. [Google Scholar] [CrossRef] [PubMed]
- Mauro, N.A.; Bendert, J.C.; Vogt, A.J.; Gewin, J.M.; Kelton, K.F. High energy X-ray scattering studies of the local order in liquid Al. Chem. Phys. 2011, 135, 044502. [Google Scholar] [CrossRef] [PubMed]
- Gondi, P.; Montanari, R.; Evangelista, E.; Buroni, G. X-ray study of structures in liquid metals with controlled convective motions. Microgravity Q. 1997, 7–4, 155. [Google Scholar]
- Montanari, R.; Costanza, G. XRD investigation on structural aspects of indiun melting. In Proceedings of the 1st International Symposium on Microgravity Research and Applications in Physical Sciences and Technologies, Sorrento, Italy, 10–15 September 2000; Volume 1, pp. 417–424. [Google Scholar]
- Gondi, P.; Montanari, R.; Costanza, G. X-ray characterization of indium during melting. Adv. Space Res. 2001, 29, 521–525. [Google Scholar] [CrossRef]
- Costanza, G.; Gauzzi, F.; Montanari, R. Structures of Solid and Liquid during Melting and Solidification of Indium. Ann. N. Y. Acad. Sci. 2002, 74, 68–78. [Google Scholar] [CrossRef]
- Montanari, R. Real-time XRD investigations on metallic melts. Int. J. Mater. Prod. Technol. 2004, 20, 452. [Google Scholar] [CrossRef]
- Montanari, R.; Gauzzi, F. XRD investigation of binary alloys solidification. In Proceedings of the ITP2007 Interdisciplinary Transport Phenomena V: Fluid, Thermal, Biological, Materials and Space Sciences, Bansko, Bulgaria, 12–19 October 2007. [Google Scholar]
- Mudryi, S.I.; Lutsishin, T.I.; Korolyshin, A.V. Structure of Sn-rich Sn—In melts. Inorg. Mater. 2004, 40, 1284–1286. [Google Scholar] [CrossRef]
- Cheng, S.; Bian, X.; Wang, W.; Qin, X. Effect of copper, aluminum and tin addition on thermal contraction of indium melt clusters. Phys. B Condens. Matter 2005, 366, 67–73. [Google Scholar] [CrossRef]
- Kulmanen, E.V.; Presnyakov, A.A.; Aubakirova, R.K.; Degtyareva, A.S.; Zhumartbaeva, T.V. X-ray studies of quenched melt of lead-tin eutectic. Fiz. Metallov Metalloved. 1991, 11, 112–116. [Google Scholar]
- Zhumartbaeva, T.V.; Presnyakov, A.A.; Degtyareva, A.S.; Aubakirova, R.K. Metastable Phases in the Eutectic Tin-Lead Alloy. Phys. Met. Metallogr. 1993, 75, 441–443. [Google Scholar]
- Presnyakov, A.A.; Kulmanen, E.V.; Zhumartbaeva, T.V.; Degtyareva, A.S.; Aubakirova, R.K. A Study of Intermetallic Compounds Pb3Sn2 and Sn 19) Pb Found in Melt-Quenched Eutectic Alloys. Phys. Met. Metallogr. 1994, 78, 69–72. [Google Scholar]
- Fredriksson, H.; Fredriksson, E. A model of liquid metals and its relation to the solidification process. Mater. Sci. Eng. A 2005, 413–414, 455–459. [Google Scholar] [CrossRef]
- Tian, X.L.; Shen, J.; Sun, J.F.; Li, Q.C. A New Model for Microstructure of Liquid Metals. Chin. Phys. Lett. 2004, 21, 700–703. [Google Scholar]
- Wang, L. Estimating the Energy State of Liquids. Metals 2014, 4, 570–585. [Google Scholar] [CrossRef]
- Popel, P.S.; Calvo-Dahlborg, M.; Dahlborg, U. Metastable microheterogeneity of melts in eutectic and monotectic systems and its influence on the properties of the solidified alloy. J. Non Cryst. Solids 2007, 353, 3243–3253. [Google Scholar] [CrossRef]
- Mattern, N. Structure formation in liquid and amorphous metallic alloys. J. Non Cryst. Solids 2007, 353, 1723–1731. [Google Scholar] [CrossRef]
- Bhattacharya, V.; Chattopadhyay, K. Microstructure and wear behaviour of aluminium alloys containing embedded nanoscaled lead dispersoid. Acta Mater. 2004, 52, 2293–2304. [Google Scholar] [CrossRef]
- Grimsditch, M. Polymorphism in Amorphous SiO2. Phys. Rev. Lett. 1984, 52, 2379–2381. [Google Scholar] [CrossRef]
- Winter, R.; Szornel, C.; Pilgrim, W.C.; Howells, W.S.; Egelstaff, P.A.; Bodensteiner, T. The structural properties of liquid sulphur. J. Phys. Condens. Matter 1990, 2, 8427–8437. [Google Scholar] [CrossRef]
- Harrington, S.; Zhang, R.; Poole, P.H.; Sciortino, F.; Stanley, H.E. Liquid-Liquid Phase Transition: Evidence from Simulations. Phys. Rev. Lett. 1997, 78, 2409–2412. [Google Scholar] [CrossRef]
- Brazhkin, V.V.; Popova, S.V.; Voloshin, R.N. High-pressure transformations in simple melts. High Press. Res. 1997, 15, 267–305. [Google Scholar] [CrossRef]
- Katayama, Y.; Mizutani, T.; Utsumi, W.; Shimomura, O.; Yamakata, M.; Funakoshi, K. A first-order liquid-liquid phase transition in phosphorus. Nature 2000, 403, 170–172. [Google Scholar] [CrossRef]
- Mishima, O. The relationship between liquid, supercooled and glassy water. Nature 1998, 396, 239–335. [Google Scholar] [CrossRef]
- Glosili, N.J.; Ree, F.H. Liquid-Liquid Phase Transformation in Carbon. Phys. Rev. Lett. 1999, 82, 4659–4662. [Google Scholar] [CrossRef]
- Zu, F.Q.; Zhu, Z.G.; Guo, L.J.; Qin, X.B.; Yang, H.; Shan, W.J. Observation of an Anomalous Discontinuous Liquid-Structure Change with Temperature. Phys. Rev. Lett. 2002, 89, 125505. [Google Scholar] [CrossRef]
- Zu, F.Q.; Li, X.F.; Guo, L.J.; Yang, H.; Qin, X.B.; Zhu, Z.G. Temperature dependence of liquid structures in In–Sn20: Diffraction experimental evidence. Phys. Lett. A 2004, 324, 472–478. [Google Scholar] [CrossRef]
- Zu, F.Q.; Guo, L.J.; Zhu, Z.G.; Feng, Y. Relative Energy Dissipation: Sensitive to Structural Changes of Liquids. Chin. Phys. Lett. 2002, 19, 94–97. [Google Scholar]
- Zu, F.Q.; Zhu, Z.G.; Feng, Y. Post-melting anomaly of Pb-Bi alloys observed by internal friction technique. J. Phys. Condens. Matter 2001, 13, 11435–11442. [Google Scholar] [CrossRef]
- Zu, F.Q. Temperature-Induced Liquid-Liquid Transition in Metallic Melts: A Brief Review on the New Physical Phenomenon. Metals 2015, 5, 395–417. [Google Scholar] [CrossRef]
- Zhang, J. Review of the studies on fundamental issues in LBE corrosion. Nucl. Mater. 2008, 373, 351–377. [Google Scholar] [CrossRef]
- Montanari, R.; Varone, A. Mechanical Spectroscopy Investigation of Liquid Pb-Bi Alloys. Solid State Phenom. 2012, 184, 434–439. [Google Scholar] [CrossRef]
- Plevachuk, Y.; Sklyarchuk, V.; Eckert, S.; Gerbeth, G. Some physical data of the near eutectic liquid lead–bismuth. J. Nucl. Mater. 2008, 373, 335–342. [Google Scholar] [CrossRef]
- Li, Q.; Zu, F.Q.; Li, X.F.; Xi, Y. The electrical resistivity of liquid Pb-Bi alloy. Mod. Phys. Lett. B 2006, 20, 151–158. [Google Scholar] [CrossRef]
- Kaciulis, S.; Mezzi, A.; Donnini, R.; Deodati, P.; Montanari, R.; Ucciardello, N.; Amati, M.; Kazemian-Abyaneh, M.; Testani, C. Microchemical characterisation of carbon – metal interface in Ti6Al4V –SiCf composites. Surf. Interface Anal. 2010, 42, 707–711. [Google Scholar] [CrossRef]
- Kaciulis, S.; Mezzi, A.; Amati, M.; Montanari, R.; Angella, G.; Maldini, M. Relation between the microstructure and microchemistry in Ni-based superalloy. Surf. Interface Anal. 2012, 44, 982–985. [Google Scholar] [CrossRef]
- Gao, Y.; Raos, G.; Cavallotti, C.; Takahashi, M. Molecular Dynamics Simulation on Physical Properties of Liquid Lead, Bismuth and Lead-bismuth Eutectic (LBE). Procedia Eng. 2016, 157, 214–221. [Google Scholar] [CrossRef]
- Gregoratti, L.; Marsi, M.; Cautero, G.; Kiskinova, M.; Morrison, G.R.; Potts, A.W. Spectromicroscopy of interfaces with synchrotron radiation: Multichannel data acquisition. Nucl. Instrum. Methods Phys. Res. A 2001, 467, 884–888. [Google Scholar] [CrossRef]
- Gudowski, W.; Mellergard, A.; Dzugutov, M.; Howells, W.S.; Zetterstrom, P. The structure of molten bismuth-lead alloys. J. Non Cryst. Solids 1993, 156–158, 130–132. [Google Scholar] [CrossRef]
- Betts, F.; Bienenstock, A.; Keating, D.T.; de Neufville, J.P. Neutron and X-ray diffraction radial distribution study of amorphous Ge0.17Te0.83. J. Non Cryst. Solids 1972, 7, 417–432. [Google Scholar] [CrossRef]
- Lou, H.; Wang, X.; Cao, Q.; Zhang, D.; Zhang, J.; Hu, T.; Mao, H.K.; Jiang, J.Z. Negative expansions of interatomic distances in metallic melts. Proc. Natl. Acad. Sci. USA 2013, 110, 10068–10072. [Google Scholar] [CrossRef]
- NEA. Handbook on Lead-Bismuth Eutectic Alloy and Lead Properties, Thermal-Hydraulics and Technologies, 2015 Edition; NEA No. 7268; OCED: Paris, France, 2015. [Google Scholar]
- Song, C.; Li, D.; Xu, Y.; Pan, B.C.; Liu, C.S.; Wang, Z. Ab initio molecular dynamics study of temperature dependent structure properties of liquid lead–bismuth eutectic alloy. Phys. B Condens. Matter 2013, 429, 6–11. [Google Scholar] [CrossRef]
- Han, J.H.; Oda, T. Chemical states of 3d transition metal impurities in a liquid lead–bismuth eutectic analyzed using first principles calculations. Phys. Chem. Chem. Phys. 2017, 19, 9945. [Google Scholar] [CrossRef]
- Trybula, M.E. Structure and transport properties of the liquid Al80Cu20 alloy—A molecular dynamics study. Comput. Mater. Sci. 2016, 122, 341–352. [Google Scholar] [CrossRef]
- Trybula, M.E.; Szafranski, P.W.; Korzhavyi, P.A. Structure and chemistry of liquid Al–Cu alloys: Molecular dynamics study versus thermodynamics based modelling. J. Mater. Sci. 2018, 53, 8285–8301. [Google Scholar] [CrossRef]
- Wang, W.Y.; Han, J.J.; Fang, H.Z.; Wang, J.; Liang, Y.F.; Shang, S.L.; Wang, Y.; Liu, X.J.; Kecskes, L.J.; Mathaudhu, S.N.; et al. Anomalous structural dynamics in liquid Al80Cu20: An ab initio molecular dynamics study. Acta Mater. 2015, 97, 75–85. [Google Scholar] [CrossRef]
- Gregoratti, L.; Barinov, A.; Benfatto, E.; Cautero, G.; Fava, C.; Lacovig, P.; Lonza, D.; Kiskinova, M.; Tommasini, R.; Mahl, S.; et al. 48-Channel electron detector for photoemission spectroscopy and microscopy. Rev. Sci. Instrum. 2004, 75, 64–68. [Google Scholar] [CrossRef]














© 2019 by the authors. Licensee MDPI, Basel, Switzerland. This article is an open access article distributed under the terms and conditions of the Creative Commons Attribution (CC BY) license (http://creativecommons.org/licenses/by/4.0/).
Share and Cite
Montanari, R.; Varone, A.; Gregoratti, L.; Kaciulis, S.; Mezzi, A. Lead-Bismuth Eutectic: Atomic and Micro-Scale Melt Evolution. Materials 2019, 12, 3158. https://doi.org/10.3390/ma12193158
Montanari R, Varone A, Gregoratti L, Kaciulis S, Mezzi A. Lead-Bismuth Eutectic: Atomic and Micro-Scale Melt Evolution. Materials. 2019; 12(19):3158. https://doi.org/10.3390/ma12193158
Chicago/Turabian StyleMontanari, Roberto, Alessandra Varone, Luca Gregoratti, Saulius Kaciulis, and Alessio Mezzi. 2019. "Lead-Bismuth Eutectic: Atomic and Micro-Scale Melt Evolution" Materials 12, no. 19: 3158. https://doi.org/10.3390/ma12193158
APA StyleMontanari, R., Varone, A., Gregoratti, L., Kaciulis, S., & Mezzi, A. (2019). Lead-Bismuth Eutectic: Atomic and Micro-Scale Melt Evolution. Materials, 12(19), 3158. https://doi.org/10.3390/ma12193158

