The Triple Mechanisms of Atenolol Adsorption on Ca-Montmorillonite: Implication in Pharmaceutical Wastewater Treatment
Abstract
:1. Introduction
2. Materials and Methods
2.1. Materials
2.2. Batch AT Adsorption Experiments
2.3. Methods of Analyses
3. Results and Discussion
3.1. Batch Studies
3.1.1. AT Adsorption Kinetics
3.1.2. AT Equilibrium Adsorption
3.1.3. Desorbed Cations
3.1.4. Effect of Solution pH and Ionic Strength on AT Adsorption
3.1.5. Influence of Temperature on AT Uptake on SAz-2
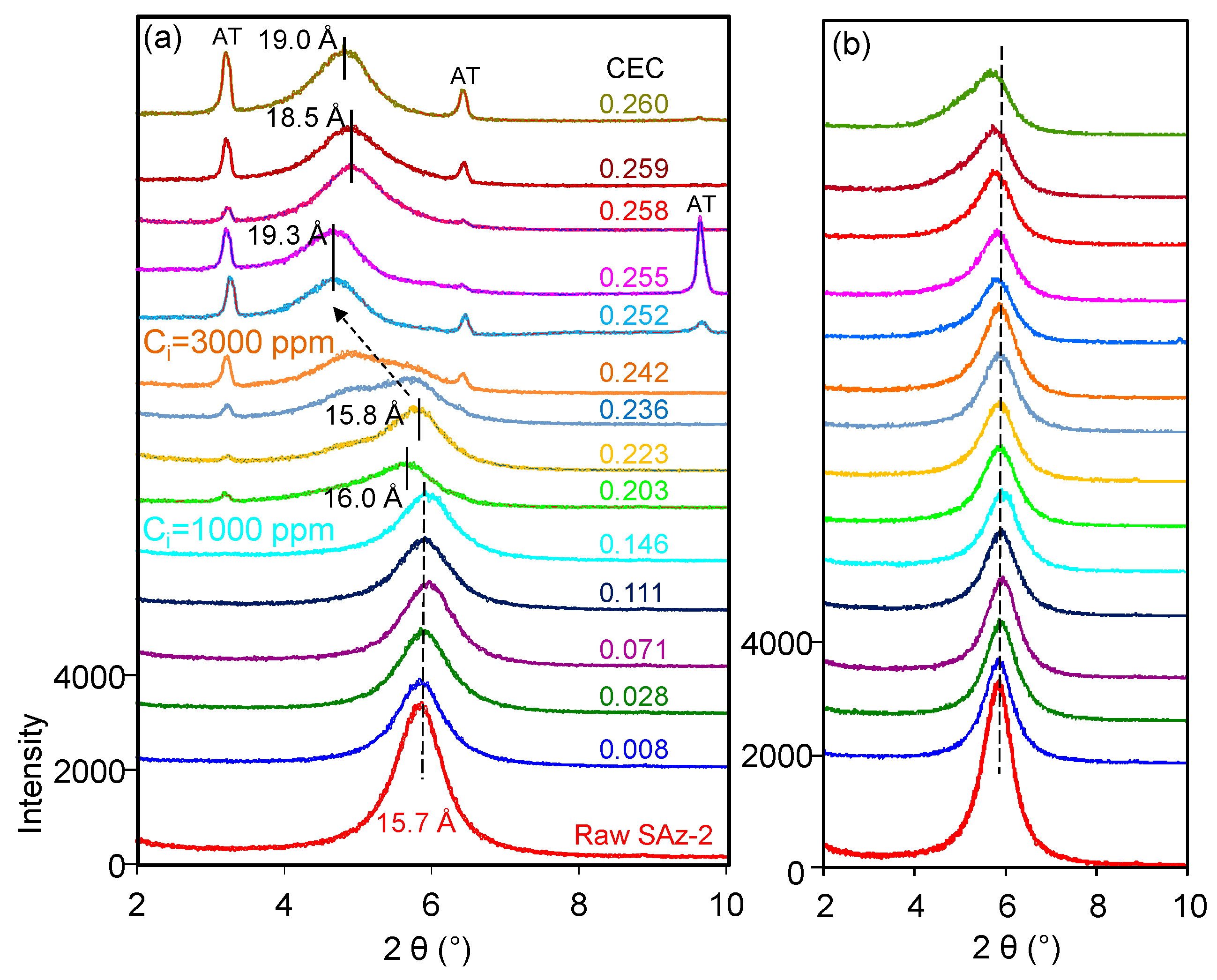
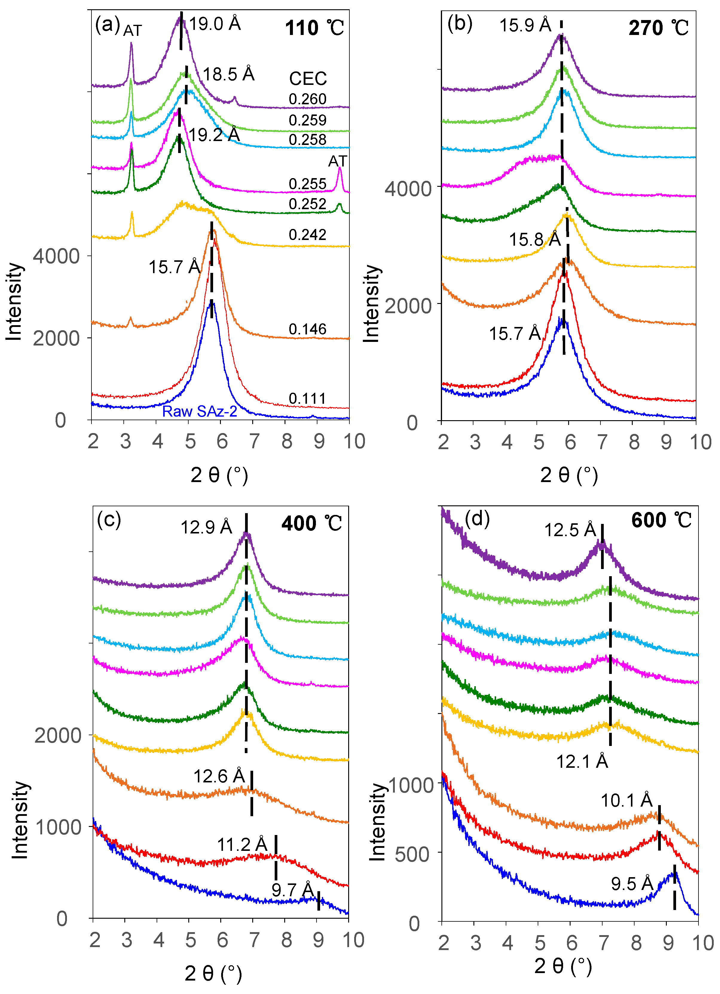
3.2. XRD Analyses
3.3. Thermogravimetric (TG) Analyses and Possible Exfoliation
3.4. FTIR Analyses
4. Adsorption Mechanism
5. Conclusions
- (1)
- The maximum AT adsorption on SAz-2 was 330 mmol/kg at pH 10. The adsorption data was well described by the Langmuir model. Cation exchange, hydrogen bonding and strong and weak adsorption sites were the mechanisms of AT removal by SAz-2 at pH 10.
- (2)
- Adsorption of AT on SAz-2 was strongly dependent on solution pH and ionic strength.
- (3)
- The basal spacing of SAz-2 remained unchanged after equilibrated with AT at different initial AT concentrations due to the lower adsorption capacity of the clay mineral. The AT intercalation without interlayer expansion was evidenced by a heating experiment with AT-adsorbed SAz-2 samples.
- (4)
- The exfoliation of SAz-2 was indirectly confirmed based upon the basal spacing changes from ordered to mix-layers condition with increasing heating temperature of the samples at the same adsorption capacity. The recrystallization of AT played a significant role on the ordered or disordered conditions of d001.
Supplementary Materials
Author Contributions
Funding
Acknowledgments
Conflicts of Interest
References
- Ariasa, R.; Jiméneza, R.M.; Alonsoa, R.M.; Télezb, M.; Arrietab, I.; Floresc, P.; Eduardo, O.L. Determination of the β-blocker atenolol in plasma by capillary zone electrophoresis. J. Chromatogr. A 2001, 916, 297–304. [Google Scholar] [CrossRef]
- Kenawy, E.R.; El-Newehy, M.H.; Al-Deyab, S.S. Controlled release of atenolol from freeze/thawed poly(vinyl alcohol) hydrogel. J. Saudi Chem. Soc. 2010, 14, 237–240. [Google Scholar] [CrossRef]
- Hernando, M.D.; Mezcu, M.; Fernández-Alba, A.R.; Barceló, D. Environmental risk assessment of pharmaceutical residues in wastewater effluents, surface waters and sediments. Talanta 2006, 69, 334–342. [Google Scholar] [CrossRef] [PubMed]
- Hernando, M.D.; Gómez, M.J.; Agüera, A.; Fernández-Alba, A.R. LC-MS analysis of basic pharmaceuticals (beta-blockers and anti-ulcer agents) in wastewater and surface water. Trends Analyt. Chem. 2007, 26, 581–594. [Google Scholar] [CrossRef]
- Maurer, M.; Escher, B.I.; Richle, P.; Schaffner, C.; Alder, A.C. Elimination of β-blockers in sewage treatment plants. Water Res. 2007, 41, 1614–1622. [Google Scholar] [CrossRef] [PubMed]
- Palmer, P.M.; Wilson, L.R.; O’Keefe, P.; Sheridan, R.; King, T.; Chen, C.-Y. Sources of pharmaceutical pollution in the New York City Watershed. Sci. Total Environ. 2008, 394, 90–102. [Google Scholar] [CrossRef] [PubMed]
- Snyder, S.A. Occurrence, treatment, and toxicological relevance of EDCs and pharmaceuticals in water. Ozone Sci. Eng. 2008, 30, 65–69. [Google Scholar] [CrossRef]
- Gros, M.; Petrović, M.; Barceló, D. Development of a multi-residue analytical methodology based on liquid chromatography–tandem mass spectrometry (LC–MS/MS) for screening and trace level determination of pharmaceuticals in surface and wastewaters. Talanta 2006, 70, 678–690. [Google Scholar] [CrossRef]
- Cahill, J.D.; Furlong, E.T.; Burkhardt, M.R.; Kolpin, D.; Anderson, L.G. Determination of pharmaceutical compounds in surface- and ground-water samples by solid-phase extraction and high-performance liquid chromatography–electrospray ionization mass spectrometry. J. Chromatogr. A 2004, 1041, 171–180. [Google Scholar] [CrossRef]
- Castiglioni, S.; Bagnati, R.; Calamari, D.; Fanelli, R.; Zucatto, F.; Zucatto, E. Removal of pharmaceuticals in sewage treatment plants in Italy. Environ. Sci. Technol. 2006, 40, 357–363. [Google Scholar] [CrossRef]
- Farré, M.; Ferrer, I.; Ginebreda, A.; Figueras, M.; Olivella, L.; Tirapu, L.; Vilanova, M.; Barceló, D. Determination of drugs in surface water and wastewater samples by liquid chromatography–mass spectrometry: methods and preliminary results including toxicity studies with Vibrio fischeri. J. Chromatogr. A 2001, 938, 187–197. [Google Scholar] [CrossRef]
- Öllers, S.; Singer, H.P.; Fässler, P.; Müller, S.R. Simultaneous quantification of neutral and acidic pharmaceuticals and pesticides at the low-ng/l level in surface and waste water. J. Chromatogr. A 2001, 911, 225–234. [Google Scholar] [CrossRef]
- Ternes, T.A. Occurrence of drugs in German sewage treatment plants and rivers. Water Res. 1998, 32, 3245–3260. [Google Scholar] [CrossRef]
- Radjenović, J.; Petrović, M.; Barcelć, D. Fate and distribution of pharmaceuticals in wastewater and sewage sludge of the conventional activated sludge (CAS) and advanced membrane bioreactor (MBR) treatment. Water Res. 2009, 43, 831–841. [Google Scholar] [CrossRef] [PubMed]
- Scheurer, M.; Ramil, M.; Metcalfe, C.D.; Groh, S.; Ternes, T.A. The challenge of analyzing beta-blocker drugs in sludge and wastewater. Anal. Bioanal. Chem. 2010, 396, 845–856. [Google Scholar] [CrossRef] [PubMed]
- Reeves, P.R.; McAinsh, J.; McIntosh, D.A.D.; Winrow, M.J. Metabolism of atenolol in man. Xenobiotica 1978, 8, 313–320. [Google Scholar] [CrossRef]
- Rakić, V.; Rajić, N.; Daković, A.; Uroux, A. The adsorption of salicylic acid, acetylsalicylic acid and atenolol from aqueous solutions onto natural zeolites and clays: Clinoptilolite, bentonite and kaolin. Microporous Mesoporous Mater. 2013, 166, 185–194. [Google Scholar] [CrossRef]
- Chang, P.-H.; Li, Z.; Jiang, W.-T.; Sarkar, B. Chapter 7—Clay minerals for pharmaceutical wastewater treatment. In Modified Clay and Zeolite Nanocomposite Materials; Mercurio, M., Sarkar, B., Langella, A., Eds.; Elsevier: Amsterdam, The Netherlands, 2019; pp. 167–196. [Google Scholar]
- Raković, J.; Rac, V.; Damjanović, L.; Rakić, V. ZSM-5 Zeolites as agents for treatment of waters polluted by pharmaceutically active compounds. In Proceedings of the 5th Serbian-Croatian-Slovenian Symposium on Zeolites, Belgrade, Serbia, 30 May–2 June 2013; pp. 100–103. [Google Scholar]
- Pasti, L.; Sarti, E.; Cavazzini, A.; Marchetti, N.; Dondi, F.; Martucci, A. Factors affecting drug adsorption on beta zeolites. J. Separ. Sci. 2013, 36, 1604–1611. [Google Scholar] [CrossRef]
- Chang, P.-H.; Jiang, W.-T.; Li, Z.; Kuo, C.-Y.; Jean, J.-S.; Chen, W.-R.; Lv, G.-C. Mechanism of amitriptyline adsorption on Ca-montmorillonite (SAz-2). J. Hazard. Mater. 2014, 277, 44–52. [Google Scholar] [CrossRef]
- Chang, P.-H.; Li, Z.; Jiang, W.-T.; Kuo, C.-Y.; Jean, J.-S. Adsorption of tetracycline on montmorillonite: Influence of exchangeable cations, solution pH, temperature and ionic strength. Desal. Water Treat. 2015, 55, 1380–1392. [Google Scholar]
- Lennernäs, H.; Ahrenstedt, Ö.; Ungell, A.L. Intestinal drug absorption during induced net water absorption in man; a mechanistic study using antipyrine, atenolol and enalaprilat. Br. J. Clin. Pharmacol. 1994, 37, 589–596. [Google Scholar] [CrossRef] [PubMed]
- USP 28 The United States Pharmacopoeia, 28th ed.; United Stated Pharmacopoeial Convenction, INC.: Rockville, MD, USA, 2005.
- McFarland, J.W. Estimating the water solubilities of crystalline compounds from their chemical structures alone. J. Chem. Inf. Model. 2001, 41, 1355–1359. [Google Scholar] [CrossRef]
- Palm, K.; Stenberg, P.; Luthman, K.; Artursson, P. Ploar molecular surface properties predict the intestinal adsorption of drugs in humans. Pharm. Res. 1997, 14, 568–571. [Google Scholar] [CrossRef] [PubMed]
- Mosquera, V.; Ruso, J.M.; Attwood, D.; Jones, M.N.; Prieto, G.; Sarmiento, F. Thermodynamics of micellization of surfactants of low aggregation number: the aggregation of propranolol hydrochloride. J. Colloid Interface Sci. 1999, 210, 97–102. [Google Scholar] [CrossRef] [PubMed]
- El-Leithy, E.S.; Nasr, M.; El-Moneum, R.A. Development and characterization of solid lipid dispersion as delivery system for hydrophilic antihypertensive drug atenolol. Inter. J. Drug Del. 2012, 4, 219–228. [Google Scholar]
- Figueroa, R.A.; Mackay, A.A. Sorption of oxytetracycline to iron oxides and iron oxide-rich soils. Environ. Sci. Technol. 2005, 39, 6664–6671. [Google Scholar] [CrossRef] [PubMed]
- Ho, Y.-S.; McKay, G. Pseudo-second order model for sorption processes. Process Biochem. 1999, 34, 451–465. [Google Scholar] [CrossRef]
- Park, Y.; Ayoko, G.A.; Horváth, E.; Kurdi, R.; Kristof, J.; Frost, R.L. Structural characterisation and environmental application of organoclays for the removal of phenolic compounds. J. Colloid Interface Sci. 2013, 393, 319–334. [Google Scholar] [CrossRef]
- Machida, M.; Kikuchi, Y.; Aikawa, M.; Tatsumoto, H. Kinetics of adsorption and desorption of Pb(II) in aqueous solution on activated carbon by two-site adsorption model. Colloids Surf. A Physicochem. Eng. Asp. 2004, 240, 179–186. [Google Scholar] [CrossRef]
- Turku, I.; Sainio, T.; Paatero, E. Thermodynamics of tetracycline adsorption on silica. Environ. Chem. Lett. 2007, 5, 225–228. [Google Scholar] [CrossRef]
- Chang, P.-H.; Li, Z.; Jiang, W.-T.; Jean, J.-S. Adsorption and intercalation of tetracycline by swelling clay minerals. Appl. Clay Sci. 2009, 46, 27–36. [Google Scholar] [CrossRef]
- Kibbey, T.C.; Paruchuri, R.; Sabatini, D.A.; Chen, L. Adsorption of beta blockers to environmental surfaces. Environ. Sci. Technol. 2007, 41, 5349–5356. [Google Scholar] [CrossRef] [PubMed]
- Hari, A.C.; Paruchuri, R.A.; Sabatini, D.A.; Kibbey, T.C. Effects of pH and cationic and nonionic surfactants on the adsorption of pharmaceuticals to a natural aquifer material. Environ. Sci. Technol. 2005, 39, 2592–2598. [Google Scholar] [CrossRef] [PubMed]
- Pereira, R.N.; Valente, B.R.; Cruz, A.P.; Foppa, T.; Murakami, F.S.; Silva, M.A.S. Thermoanalytical Study of Atenolol and Commercial Tablets. Lat. Am. J. Pharmacy 2007, 26, 382–386. [Google Scholar]
- Guggenheim, S.; Groos, A.F.K. Baseline studies of the clay minerals society source clays: Thermal analysis. Clays Clay Miner. 2001, 49, 433–443. [Google Scholar] [CrossRef]
- Chang, P.-H.; Jean, J.-S.; Jiang, W.-T.; Li, Z. Mechanism of tetracycline sorption on rectorite. Colloids Surf. A Physicochem. Eng. Asp. 2009, 339, 94–99. [Google Scholar] [CrossRef]
- Cozar, O.; Szabó, L.; Cozar, I.B.; Leopold, N.; David, L.; Căinap, C.; ChiŞ, V. Spectroscopic and DFT study of atenolol and metoprolol and their copper complexes. J. Mol. Struct. 2011, 993, 357–366. [Google Scholar] [CrossRef]
- Fagerholm, U.; Nilsson, D.; Knutson, L.; Lennernäs, H. Jejunal permeability in humans in vivo and rats in situ: investigation of molecular size selectivity and solvent drag. Acta Physiol. Scand. 1999, 165, 315–324. [Google Scholar] [CrossRef]
- Madejová, J.; Komadel, P. Basaline studies of the clay minerals society source clays: Infrared methods. Clays Clay Miner. 2001, 49, 410–432. [Google Scholar] [CrossRef]
- Ghedini, E.; Signoretto, M.; Pinna, F.; Crocellà, V.; Bertinetti, L.; Cerrato, G. Controlled release of metoprolol tartrate from nanoporous silica matrices. Microporous Mesoporous Mater. 2010, 132, 258–267. [Google Scholar] [CrossRef]
- Wang, C.-J.; Li, Z.; Jiang, W.-T.; Jean, J.-S.; Liu, C.-C. Cation exchange interaction between antibiotic ciprofloxacin and montmorillonite. J. Hazard. Mater. 2010, 183, 309–314. [Google Scholar] [CrossRef] [PubMed]











| pH | Ln(Kd) (L/Kg) | △G° (kJ/mol) | △H° (kJ/mol) | △S° (KJ/mol K) | |||||
|---|---|---|---|---|---|---|---|---|---|
| 298 K | 318 K | 333 K | 298 K | 318 K | 333 K | ||||
| AT | 3 | 5.05 | 4.60 | 4.05 | −12.62 | −11.91 | −11.37 | −23.23 | −0.04 |
| 7 | 5.45 | 5.33 | 5.23 | −13.51 | −14.08 | −14.50 | −5.13 | 0.03 | |
| 10 | 4.14 | 4.39 | 4.60 | −10.25 | −11.66 | −12.71 | 10.72 | 0.07 | |
| Crystalline SAz-2 | Samples | Possible band assignment [42] |
| 1629 | 1644 | OH deformation of water |
| 988 | 992 | Si-O stretching |
| Crystalline AT | Samples | Possible band assignment [40] |
| 3338 | 3473 | NH bending vibration |
| 3155 | 3380 | N–H valence vibrations |
| 2972 | 3010 | C–H stretching |
| 1637 | 1666 | ν(CO) |
| 1612 | 1615 | ν(CC ring) |
| 1583 | 1589 | ν(CC ring) |
| 1514 | 1520 | ν(CC ring) + δ(CH ring) + δ(CH2) |
| 1458 | δ(CH3) | |
| 1418 | 1463 | δ(COH) + ω(CH2) |
| 1381 | 1427 | δ(COH) + ω(CH2) |
| 1286 | 1398 | δ(OCNH2) +δ(CCC ring) |
| 1236 | 1244 | ω(CH2) |
| 917 | δ(OH) | |
| 883 | ρ(NH2) |
© 2019 by the authors. Licensee MDPI, Basel, Switzerland. This article is an open access article distributed under the terms and conditions of the Creative Commons Attribution (CC BY) license (http://creativecommons.org/licenses/by/4.0/).
Share and Cite
Chang, P.-H.; Jiang, W.-T.; Sarkar, B.; Wang, W.; Li, Z. The Triple Mechanisms of Atenolol Adsorption on Ca-Montmorillonite: Implication in Pharmaceutical Wastewater Treatment. Materials 2019, 12, 2858. https://doi.org/10.3390/ma12182858
Chang P-H, Jiang W-T, Sarkar B, Wang W, Li Z. The Triple Mechanisms of Atenolol Adsorption on Ca-Montmorillonite: Implication in Pharmaceutical Wastewater Treatment. Materials. 2019; 12(18):2858. https://doi.org/10.3390/ma12182858
Chicago/Turabian StyleChang, Po-Hsiang, Wei-Teh Jiang, Binoy Sarkar, Wendong Wang, and Zhaohui Li. 2019. "The Triple Mechanisms of Atenolol Adsorption on Ca-Montmorillonite: Implication in Pharmaceutical Wastewater Treatment" Materials 12, no. 18: 2858. https://doi.org/10.3390/ma12182858
APA StyleChang, P.-H., Jiang, W.-T., Sarkar, B., Wang, W., & Li, Z. (2019). The Triple Mechanisms of Atenolol Adsorption on Ca-Montmorillonite: Implication in Pharmaceutical Wastewater Treatment. Materials, 12(18), 2858. https://doi.org/10.3390/ma12182858

