Low-Noise Mid-Infrared Photodetection in BP/h-BN/Graphene van der Waals Heterojunctions
Abstract
1. Introduction
2. Experiment
2.1. Materials and Methods
2.2. Characterizations
3. Results and Discussion
3.1. Operational Principle
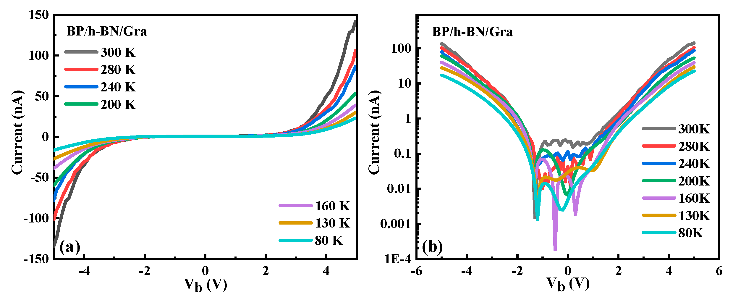
3.2. Electronic Performance of Dark Current
3.3. Photocurrent and Photoresponsivity
3.4. Noise Mechanism and Detector Sensitivity
4. Conclusions
Supplementary Materials
Author Contributions
Funding
Acknowledgments
Conflicts of Interest
References
- Allen, M.G. Diode laser absorption sensors for gas-dynamic and combustion flows. Meas. Sci. Technol. 1998, 9, 545–562. [Google Scholar] [CrossRef] [PubMed]
- Schliesser, A.; Picqué, N.; Hänsch, T.W. Mid-infrared frequency combs. Nat. Photonics 2012, 6, 440–449. [Google Scholar] [CrossRef]
- Sun, X.; Abshire, J.B.; Beck, J.D.; Mitra, P.; Reiff, K.; Yang, G. HgCdTe avalanche photodiode detectors for airborne and spaceborne lidar at infrared wavelengths. Opt. Express 2017, 25, 16589–16602. [Google Scholar] [CrossRef] [PubMed]
- Liu, X.; Kuyken, B.; Roelkens, G.; Baets, R.; Osgood, R.M., Jr.; Green, W.M. Bridging the mid-infrared-to-telecom gap with silicon nanophotonic spectral translation. Nat. Photonics 2012, 6, 667–671. [Google Scholar] [CrossRef]
- Jiang, X.; Li, S.S.; Tidrow, M.Z. Investigation of a multistack voltage-tunable four-color quantum-well infrared photodetector for mid-and long-wavelength infrared detection. IEEE J. Quantum Electron. 1999, 35, 1685–1692. [Google Scholar] [CrossRef]
- Jabbarzadeh, F.; Siahsar, M.; Dolatyari, M.; Rostami, G.; Rostami, A. Modification of graphene oxide for applying as mid-infrared photodetector. Appl. Phys. B 2015, 120, 637–643. [Google Scholar] [CrossRef]
- Yu, Y.; Miao, F.; He, J.; Ni, Z. Photodetecting and light-emitting devices based on two-dimensional materials. Chin. Phys. B 2017, 26, 036801. [Google Scholar] [CrossRef]
- Wang, J.; Fang, H.; Wang, X.; Chen, X.; Lu, W.; Hu, W. Recent Progress on Localized Field Enhanced Two-dimensional Material Photodetectors from Ultraviolet—Visible to Infrared. Small 2017, 13, 1700894. [Google Scholar] [CrossRef] [PubMed]
- Zhang, Y.; Liu, T.; Meng, B.; Li, X.; Liang, G.; Hu, X.; Wang, Q.J. Broadband high photoresponse from pure monolayer graphene photodetector. Nat. Commun. 2013, 4, 1811. [Google Scholar] [CrossRef]
- Pradhan, A.; Roy, A.; Tripathi, S.; Som, A.; Sarkar, D.; Mishra, J.K.; Ghosh, A. Ultra-high sensitivity infra-red detection and temperature effects in a graphene–tellurium nanowire binary hybrid. Nanoscale 2017, 9, 9284–9290. [Google Scholar] [CrossRef]
- Youngblood, N.; Chen, C.; Koester, S.J.; Li, M. Waveguide-integrated black phosphorus photodetector with high responsivity and low dark current. Nat. Photonics 2015, 9, 247–252. [Google Scholar] [CrossRef]
- Chen, X.; Lu, X.; Deng, B.; Sinai, O.; Shao, Y.; Li, C.; Naveh, D. Widely tunable black phosphorus mid-infrared photodetector. Nat. Commun. 2017, 8, 1672. [Google Scholar] [CrossRef] [PubMed]
- Xu, M.; Gu, Y.; Peng, R.; Youngblood, N.; Li, M. Black phosphorus mid-infrared photodetectors. Appl. Phys. B 2017, 123, 130. [Google Scholar] [CrossRef]
- Buscema, M.; Groenendijk, D.J.; Steele, G.A.; Van Der Zant, H.S.; Castellanos-Gomez, A. Photovoltaic effect in few-layer black phosphorus PN junctions defined by local electrostatic gating. Nat. Commun. 2014, 5, 4651. [Google Scholar] [CrossRef] [PubMed]
- Yuan, H.; Liu, X.; Afshinmanesh, F.; Li, W.; Xu, G.; Sun, J.; Shen, Z. Polarization-sensitive broadband photodetector using a black phosphorus vertical p–n junction. Nat. Nanotechnol. 2015, 10, 707–713. [Google Scholar] [CrossRef] [PubMed]
- Yuan, S.; Shen, C.; Deng, B.; Chen, X.; Guo, Q.; Ma, Y.; Nilges, T. Air-stable room-temperature mid-infrared photodetectors based on hBN/black arsenic phosphorus/hBN heterostructures. Nano Lett. 2018, 18, 3172–3179. [Google Scholar] [CrossRef]
- Liu, Y.; Shivananju, B.N.; Wang, Y.; Zhang, Y.; Yu, W.; Xiao, S.; Zhang, H. Highly Efficient and Air-Stable Infrared Photodetector Based on 2D Layered Graphene–Black Phosphorus Heterostructure. ACS Appl. Mater. Interfaces 2017, 9, 36137–36145. [Google Scholar] [CrossRef]
- Tan, W.C.; Huang, L.; Ng, R.J.; Wang, L.; Hasan, D.M.N.; Duffin, T.J.; Ang, K.W. A Black Phosphorus Carbide Infrared Phototransistor. Adv. Mater. 2018, 30, 1705039. [Google Scholar] [CrossRef]
- Lee, A.Y.; Ra, H.S.; Kwak, D.H.; Jeong, M.H.; Park, J.H.; Kang, Y.S.; Lee, J.S. Hybrid Black Phosphorus/Zero-Dimensional Quantum Dot Phototransistors: Tunable Photodoping and Enhanced Photoresponsivity. ACS Appl. Mater. Interfaces 2018, 10, 16033–16040. [Google Scholar] [CrossRef]
- Liu, C.; Wang, L.; Chen, X.; Zhou, J.; Tang, W.; Guo, W.; Lu, W. Top-gated black phosphorus phototransistor for sensitive broadband detection. Nanoscale 2018, 10, 5852–5858. [Google Scholar] [CrossRef]
- Martinez, A.; Fuse, K.; Yamashita, S. Mechanical exfoliation of graphene for the passive mode-locking of fiber lasers. Appl. Phys. Lett. 2011, 99, 121107. [Google Scholar] [CrossRef]
- Castellanos-Gomez, A.; Buscema, M.; Molenaar, R.; Singh, V.; Janssen, L.; Van Der Zant, H.S.; Steele, G.A. Deterministic transfer of two-dimensional materials by all-dry viscoelastic stamping. 2D Mater. 2014, 1, 011002. [Google Scholar] [CrossRef]
- Wu, J.; Mao, N.; Xie, L.; Xu, H.; Zhang, J. Identifying the Crystalline Orientation of Black Phosphorus Using Angle-Resolved Polarized Raman Spectroscopy. Angew. Chem. 2015, 54, 2366–2369. [Google Scholar] [CrossRef] [PubMed]
- Britnell, L.; Gorbachev, R.V.; Jalil, R.; Belle, B.D.; Schedin, F.; Katsnelson, M.I.; Castro Neto, A.H.; Andre, K. Electron tunneling through ultrathin boron nitride crystalline barriers. Nano Lett. 2012, 12, 1707–1710. [Google Scholar] [CrossRef] [PubMed]
- Britnell, L.; Gorbachev, R.V.; Jalil, R.; Belle, B.D.; Schedin, F.; Mishchenko, A.; Peres, N.M.R. Field-effect tunneling transistor based on vertical graphene heterostructures. Science 2012, 335, 947–950. [Google Scholar] [CrossRef]
- Kharche, N.; Nayak, S.K. Quasiparticle band gap engineering of graphene and graphene on hexagonal boron nitride substrate. Nano Lett. 2011, 11, 5274–5278. [Google Scholar] [CrossRef] [PubMed]
- Lee, G.H.; Yu, Y.J.; Lee, C.; Dean, C.; Shepard, K.L.; Kim, P.; Hone, J. Electron tunneling through atomically flat and ultrathin hexagonal boron nitride. App. Phys. Lett. 2011, 99, 243114. [Google Scholar] [CrossRef]
- Pandey, S.; Biswas, C.; Ghosh, T.; Bae, J.J.; Rai, P.; Kim, G.H.; Arepalli, S. Transition from direct to Fowler-Nordheim tunneling in chemically reduced graphene oxide film. Nanoscale 2014, 6, 3410–3417. [Google Scholar] [CrossRef]
- Afanas’ ev, V.V.; Stesmans, A.; Bassler, M.; Pensl, G.; Schulz, M.J. Shallow electron traps at the 4H-SiC/SiO2 interface. Appl. Phys. Lett. 2000, 76, 336–338. [Google Scholar] [CrossRef]
- Graetzel, M.; Janssen, R.A.; Mitzi, D.B.; Sargent, E.H. Materials interface engineering for solution-processed photovoltaics. Nature 2012, 488, 304–312. [Google Scholar] [CrossRef]
- Liu, Y.; Xu, F.; Zhang, Z.; Penev, E.S.; Yakobson, B.I. Two-dimensional mono-elemental semiconductor with electronically inactive defects: The case of phosphorus. Nano Lett. 2014, 14, 6782–6786. [Google Scholar] [CrossRef] [PubMed]
- Zhou, S.Y.; Zhang, J.; Bai, Y.; Zhao, J. Atomic structures and electronic properties of phosphorene grain boundaries. 2D Mater. 2016, 3, 025008. [Google Scholar]
- Dutta, P.; Horn, P.M. Low-frequency fluctuations in solids: 1 f noise. Rev. Mod. Phys. 1981, 53, 497. [Google Scholar] [CrossRef]
- Balandin, A.A. Low-frequency 1/f noise in graphene devices. Nat. Nanotechnol. 2013, 8, 549–555. [Google Scholar] [CrossRef] [PubMed]
- Zahid Hossain, M.; Rumyantsev, S.; Shur, M.S.; Balandin, A.A. Reduction of 1/f noise in graphene after electron-beam irradiation. Appl. Phys. Lett. 2013, 102, 153512. [Google Scholar] [CrossRef]
- Kim, K.K.; Hsu, A.; Jia, X.; Kim, S.M.; Shi, Y.; Dresselhaus, M.; Kong, J. Synthesis and characterization of hexagonal boron nitride film as a dielectric layer for graphene devices. ACS Nano 2012, 6, 8583–8590. [Google Scholar] [CrossRef] [PubMed]






© 2019 by the authors. Licensee MDPI, Basel, Switzerland. This article is an open access article distributed under the terms and conditions of the Creative Commons Attribution (CC BY) license (http://creativecommons.org/licenses/by/4.0/).
Share and Cite
Lu, Q.; Yu, L.; Liu, Y.; Zhang, J.; Han, G.; Hao, Y. Low-Noise Mid-Infrared Photodetection in BP/h-BN/Graphene van der Waals Heterojunctions. Materials 2019, 12, 2532. https://doi.org/10.3390/ma12162532
Lu Q, Yu L, Liu Y, Zhang J, Han G, Hao Y. Low-Noise Mid-Infrared Photodetection in BP/h-BN/Graphene van der Waals Heterojunctions. Materials. 2019; 12(16):2532. https://doi.org/10.3390/ma12162532
Chicago/Turabian StyleLu, Qin, Li Yu, Yan Liu, Jincheng Zhang, Genquan Han, and Yue Hao. 2019. "Low-Noise Mid-Infrared Photodetection in BP/h-BN/Graphene van der Waals Heterojunctions" Materials 12, no. 16: 2532. https://doi.org/10.3390/ma12162532
APA StyleLu, Q., Yu, L., Liu, Y., Zhang, J., Han, G., & Hao, Y. (2019). Low-Noise Mid-Infrared Photodetection in BP/h-BN/Graphene van der Waals Heterojunctions. Materials, 12(16), 2532. https://doi.org/10.3390/ma12162532
