Numerical Investigation on Static and Rotor-Dynamic Characteristics of Convergent-Tapered and Divergent-Tapered Hole-Pattern Gas Damper Seals
Abstract
1. Introduction
2. Theoretical Models for the Rotor-Dynamic Coefficients of Annular Gas Seals
2.1. The Linear Model of the Reaction Force and Rotordynamic Coefficients
2.2. Mathematical Expressions of Rotor Whirl Orbit
2.3. Single-Frequency Elliptical Orbit Whirl Model
2.4. Multi-Frequency Elliptical Orbit Whirl Model
3. Numerical Model for the Rotor-Dynamic Coefficients of Annular Gas Seals
3.1. Seal Geometry
3.2. Computational Grid
3.3. Numerical Method
3.4. Boundary Conditions
4. Results and Discussion
4.1. Streamlines and Pressure Distribution Features of Hole-Pattern Damper Seals
4.2. Influence of Taper Degrees on the Leakage Rate of the Hole-Pattern Damper Seal
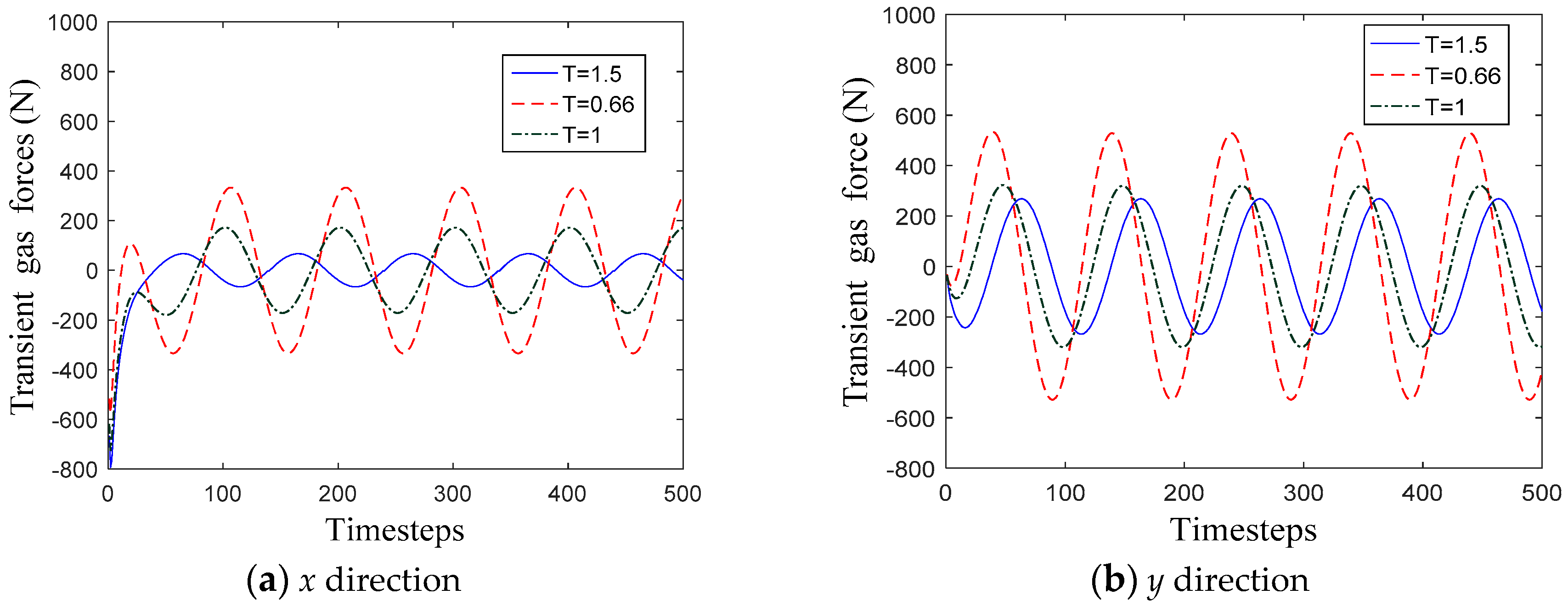
4.3. Whirl Displacement and Reaction Force of Hole-Pattern Damper Seal
4.4. The Relation between Whirl Frequency and Rotor-Dynamic Coefficients
4.5. Influence of Taper Degree on Natural Frequency of the Rotor System
4.6. Influence of Taper Degrees on Rotordynamic Coefficients of the Hole-Pattern Damper Seal
5. Conclusions
Author Contributions
Funding
Conflicts of Interest
Nomenclature
References
- Bai, G.C.; Fei, C.W. Distributed collaborative response surface method for mechanical dynamic assembly reliability design. Chin. J. Mech. Eng. 2013, 26, 1160–1168. [Google Scholar] [CrossRef]
- Migliorini, P.J.; Untaroiu, A.; Wood, H.G. A Numerical Study on the Influence of Hole Depth on the Static and Dynamic Performance of Hole-Pattern Seals. J. Tribol. Trans ASME 2015, 137, 7. [Google Scholar] [CrossRef]
- Aslan-zada, F.E.; Mammadov, V.A.; Dohnal, F. Brush seals and labyrinth seals in gas turbine applications. Proc. Inst. Mech. Eng. Part A J. Power Energy 2013, 227, 216–230. [Google Scholar] [CrossRef]
- Chochua, G.; Soulas, T.A. Numerical modeling of rotordynamic coefficients for deliberately roughened stator gas annular seals. J. Tribol. Trans ASME 2007, 129, 424–429. [Google Scholar] [CrossRef]
- Chupp, R.E.; Hendricks, R.C.; Lattime, S.B.; Steinetz, B.M. Sealing in turbomachinery. J. Propul Power 2006, 22, 313–349. [Google Scholar] [CrossRef]
- Zhang, W.F.; Yang, J.G.; Tian, Y.W.; Cao, H.; Gu, J.G. Research on the leakage and dynamic characteristics of a new kind of radial annular seal and comparisons with labyrinth seals. Proc. Inst. Mech. Eng. Part A J. Power Energy 2013, 227, 261–271. [Google Scholar] [CrossRef]
- Childs, D.; Elrod, D.; Hale, K. Annular honeycomb seals-test-results for leakage and rotordynamic coefficients- comparisons to labyrinth and smooth configurations. J. Tribol. Trans ASME 1989, 111, 293–301. [Google Scholar] [CrossRef]
- Memmott, E.A. Stability analysis and testing of a train of centrifugal compressors for high pressure gas injection. J. Eng. Gas Turbines Power Trans ASME 1999, 121, 509–514. [Google Scholar] [CrossRef][Green Version]
- Childs, D.W.; Moyer, D.S. Vibration characteristics of the HPOTP (high-pressure Oxygen turbopump of the SSME (space-shuttle main engine). J. Eng. Gas Turbines Power Trans. ASME 1985, 107, 152–159. [Google Scholar] [CrossRef]
- Soto, E.A.; Childs, D.W. Experimental rotordynamic coefficient results for (a) a labyrinth seal with and without shunt injection and (b) a honeycomb seal. J. Eng. Gas Turbines Power 1999, 121, 153–159. [Google Scholar] [CrossRef]
- Untaroiu, A.; Migliorini, P.; Wood, H.G.; Allaire, P.E.; Kocur, J.A., Jr. Hole-pattern seals: A three dimensional CFD approach for computing rotordynamic coefficient and leakage characteristics. N. Y. Am. Soc. Mech. Eng. 2010, 981–990. [Google Scholar]
- Yu, Z.; Childs, D.W. A comparison of experimental rotordynamic coefficients and leakage characteristics between hole-pattern gas damper seals and a honeycomb seal. J. Eng. Gas Turbines Power Trans ASME 1998, 120, 778–783. [Google Scholar] [CrossRef]
- Ha, T.W.; Morrison, G.L.; Childs, D.W. Friction-Factor Characteristics for Narrow Channels With Honeycomb Surfaces. J. Tribol. 1992, 114, 714–721. [Google Scholar] [CrossRef]
- Ha, T.W.; Childs, D.W.; Scharrer, J.K. Friction-factor data for flat-plate tests-plate tests of smooth and honeycomb surfaces. J. Tribol. Trans ASME 1992, 114, 722–730. [Google Scholar] [CrossRef]
- Childs, D.W.; Wade, J. Rotordynamic-coefficient and leakage characteristics for hole-pattern-stator annular gas seals - Measurements versus predictions. J. Tribol. Trans ASME 2004, 126, 326–333. [Google Scholar] [CrossRef]
- Childs, D.W.; Arthur, S.; Mehta, N.J. The Impact of Hole Depth on the Rotordynamic and Leakage Characteristics of Hole-Pattern-Stator Gas Annular Seals. J. Eng. Gas Turbines Power Trans ASME 2014, 136, 6. [Google Scholar] [CrossRef]
- Hirs, G.G. A Bulk-Flow Theory for Turbulence in Lubricant Films. J. Lubr. Technol. 1973, 95, 137–145. [Google Scholar] [CrossRef]
- Nelson, C.C. Analysis for leakage and rotordynamic coefficients of surface-roughened tapered annular gas seals. J. Eng. Gas Turbines Power 1984, 106, 927–934. [Google Scholar] [CrossRef][Green Version]
- Kleynhans, G.F.; Childs, D.W. The acoustic influence of cell depth on the rotordynamic characteristics of smooth-rotor/honeycomb-stator annular gas seals. J. Eng. Gas Turbines Power 1997, 119, 949–956. [Google Scholar] [CrossRef]
- Li, Z.G.; Li, J.; Feng, Z.P. Comparisons of Rotordynamic Characteristics Predictions for Annular Gas Seals Using the Transient Computational Fluid Dynamic Method Based on Different Single-Frequency and Multifrequency Rotor Whirling Models. J. Tribol. Trans ASME 2016, 138, 18. [Google Scholar] [CrossRef]
- Subramanian, S.; Sekhar, A.S.; Prasad, B. Rotordynamic characteristics of rotating labyrinth gas turbine seal with centrifugal growth. Tribol. Int. 2016, 97, 349–359. [Google Scholar] [CrossRef]
- Nielsen, K.K.; Jonck, K.; Underbakke, H. Hole-Pattern and Honeycomb Seal Rotordynamic Forces: Validation of CFD-Based Prediction Techniques. J. Eng. Gas Turbines Power 2012, 134, 10. [Google Scholar] [CrossRef]
- Yan, X.; Li, J.; Feng, Z.P. Investigations on the Rotordynamic Characteristics of a Hole-Pattern Seal Using Transient CFD and Periodic Circular Orbit Model. J. Vib. Acoust. 2011, 133, 9. [Google Scholar] [CrossRef]
- Yan, X.; He, K.; Li, J.; Feng, Z.P. Numerical Investigations on Rotordynamic Characteristic of Hole-Pattern Seals with Two Different Hole-Diameters. J. Turbomach. 2015, 137, 18. [Google Scholar] [CrossRef]
- Li, Z.G.; Li, J.; Yan, X. Multiple Frequencies Elliptical Whirling Orbit Model and Transient RANS Solution Approach to Rotordynamic Coefficients of Annual Gas Seals Prediction. J. Vib. Acoust. 2013, 135, 14. [Google Scholar] [CrossRef]
- Vannini, G.; Mazzali, C.; Underbakke, H. Rotordynamic Computational and Experimental Characterization of a Convergent Honeycomb Seal Tested with Negative Preswirl, High Pressure With Static Eccentricity and Angular Misalignment. J. Eng. Gas Turbines Power 2017, 139, 10. [Google Scholar] [CrossRef]
- Camatti, M.; Vannini, G.; Fulton, J.W.; Hopenwasser, F. Instability of A High Pressure Compressor Equipped With Honeycomb Seals. In Proceedings of the 32nd Turbomachinery Symposium, George R. Brown Convention Center, Houston, TX, USA, 8–11 September 2003; pp. 39–48. [Google Scholar]
- Tecza, J.; Soulas, T.; Eldridge, T. Statistical Analysis of Damper Seal Clearance Divergence and Impact Upon Rotordynamic Stability. In Proceedings of the ASME 2004 International Mechanical Engineering Congress and Exposition, Anaheim, CA, USA, 13–19 November 2004; pp. 141–150. [Google Scholar]
- Kocur, J.A.; Hayles, G.C. Low Frequency Instability in A Process Compressor. In Proceedings of the 33rd Turbomachinery Symposium, George R. Brown Convention Center, Houston, TX, USA, 20–23 September 2004; pp. 25–32. [Google Scholar]
- Sun, D.; Wang, X.D.; Fei, C.W.; Wang, S.; Ai, Y.T. A novel negative dislocated seal and influential parameter analyses of static/rotordynamic characteristics. J. Mech. Sci. Technol. 2018, 32, 4125–4134. [Google Scholar] [CrossRef]
- Hirano, T.; Guo, Z.L.; Kirk, R.G. Application of computational fluid dynamics analysis for rotating machinery - Part II: Labyrinth seal analysis. J. Eng. Gas Turbines Power 2005, 127, 820–826. [Google Scholar] [CrossRef]
- Seifert, B.A. Measurements versus predictions for rotordynamic coefficients and leakage rates for a novel hole-pattern gas seal. Available online: http://hdl.handle.net/1969.1/4782 (accessed on 18 March 2019).
- Lomakin, A. Calculation of Critical Number of Revolutions and the Conditions Necessary for Dynamic Stability of Rotors in High-Pressure Hydraulic Machines When Taking into Account Forces Originating in Sealings. Energo-mashinostroenie 1958, 4, 1–5. [Google Scholar]













| Parameters | Values | Parameters | Values |
|---|---|---|---|
| Seal length (mm) | 85.7 | Inlet pressure (MPa) | 7.0 |
| Rotor diameter (mm) | 114.7 | Inlet temperature (°C) | 17.4 |
| Seal clearance (mm) | 0.2 | Inlet preswirl | 0 |
| Hole diameter (mm) | 3.302 | Outlet pressure (MPa) | 3.15 |
| Hole numbers | 2668 | Rotor speed (r/min) | 20,200 |
| Hole area ratio (%) | 69 | Whirl frequencies (Hz) | 40,80,120,160,200 |
| Number of Elements (×106) | Leakage Rates (kg/s) | Relative Error Compared with Experiment [15] (%) |
|---|---|---|
| 3.2 | 0.345 | 15.65 |
| 4.7 | 0.370 | 9.54 |
| 5.5 | 0.380 | 7.09 |
| 6.9 | 0.390 | 4.65 |
| 8 | 0.392 | 4.16 |
| 9.76 | 0.393 | 3.91 |
© 2019 by the authors. Licensee MDPI, Basel, Switzerland. This article is an open access article distributed under the terms and conditions of the Creative Commons Attribution (CC BY) license (http://creativecommons.org/licenses/by/4.0/).
Share and Cite
Sun, D.; Li, S.-Y.; Zhao, H.; Fei, C.-W. Numerical Investigation on Static and Rotor-Dynamic Characteristics of Convergent-Tapered and Divergent-Tapered Hole-Pattern Gas Damper Seals. Materials 2019, 12, 2324. https://doi.org/10.3390/ma12142324
Sun D, Li S-Y, Zhao H, Fei C-W. Numerical Investigation on Static and Rotor-Dynamic Characteristics of Convergent-Tapered and Divergent-Tapered Hole-Pattern Gas Damper Seals. Materials. 2019; 12(14):2324. https://doi.org/10.3390/ma12142324
Chicago/Turabian StyleSun, Dan, Sheng-Yuan Li, Huan Zhao, and Cheng-Wei Fei. 2019. "Numerical Investigation on Static and Rotor-Dynamic Characteristics of Convergent-Tapered and Divergent-Tapered Hole-Pattern Gas Damper Seals" Materials 12, no. 14: 2324. https://doi.org/10.3390/ma12142324
APA StyleSun, D., Li, S.-Y., Zhao, H., & Fei, C.-W. (2019). Numerical Investigation on Static and Rotor-Dynamic Characteristics of Convergent-Tapered and Divergent-Tapered Hole-Pattern Gas Damper Seals. Materials, 12(14), 2324. https://doi.org/10.3390/ma12142324

