Electrical and Self-Sensing Properties of Alkali-Activated Slag Composite with Graphite Filler
Abstract
1. Introduction
2. Experimental Part
2.1. Materials
2.2. Sample Preparation and Testing Procedures
3. Results
3.1. Mechanical Properties
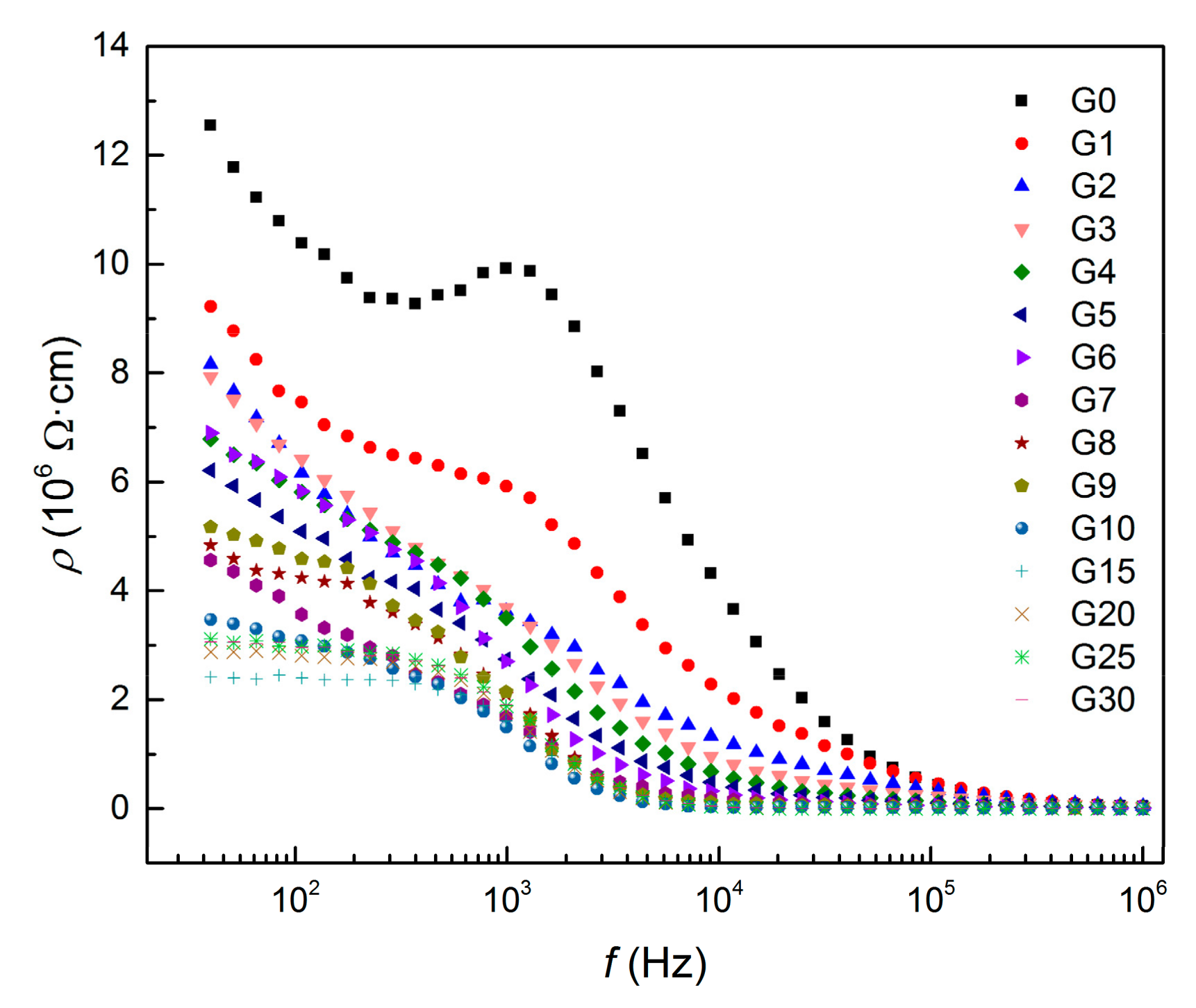
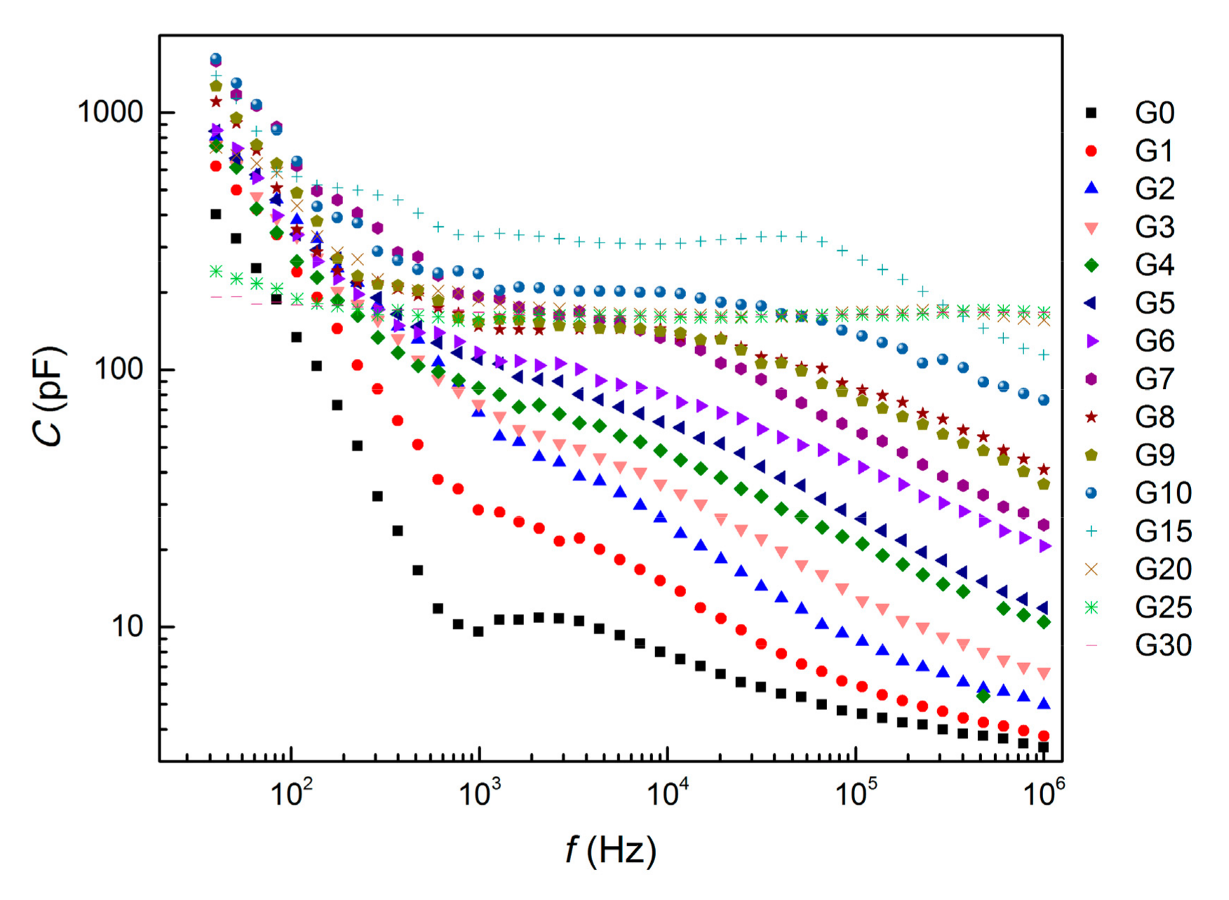
3.2. Electrical Properties
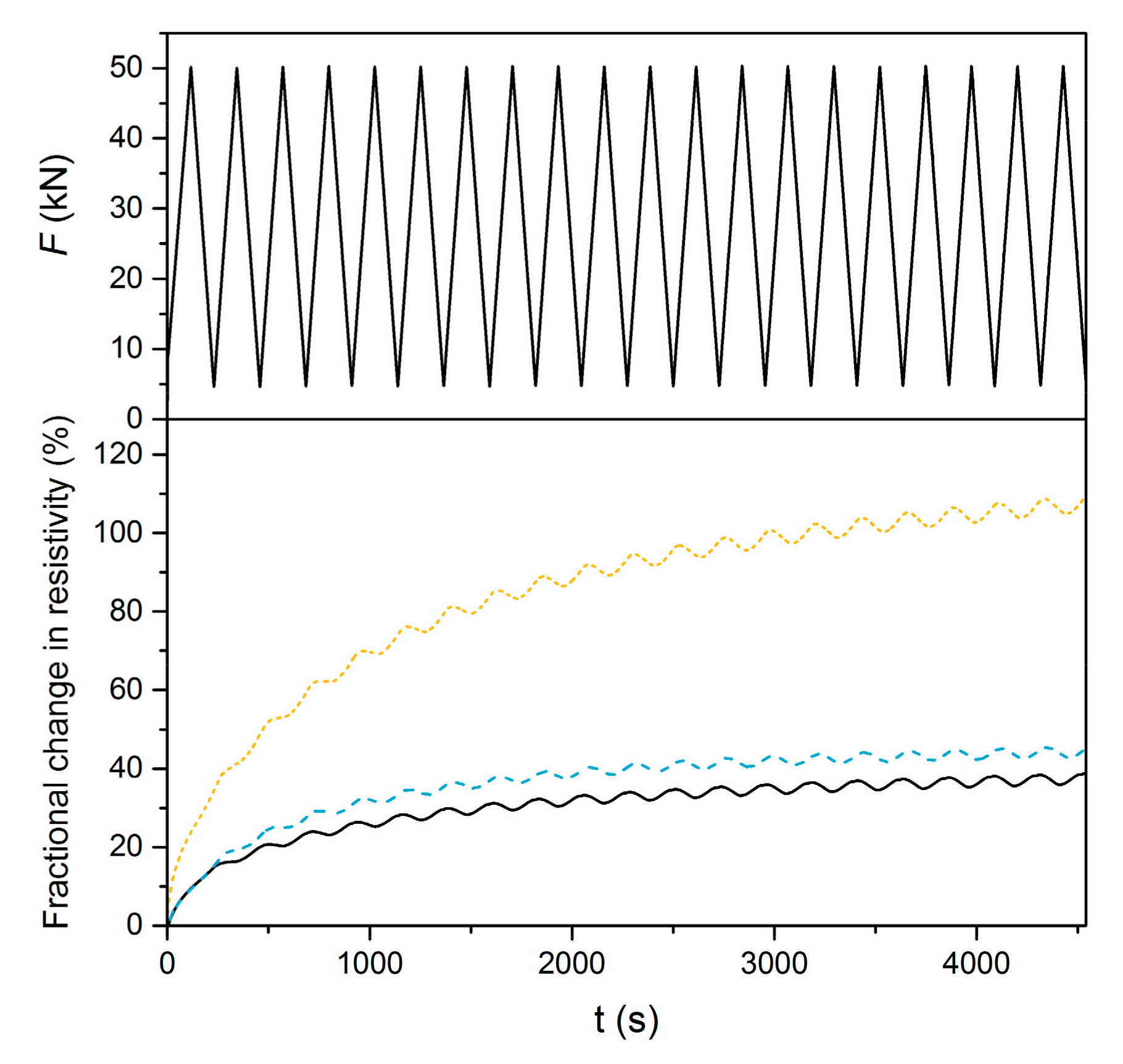
3.3. Self-Sensing Properties in Compression
3.4. Microstructure
4. Conclusions
- The addition of graphite to AAS mortars leads to the deterioration of compressive strength, which can be attributed mainly to the resultant increased demand for mixing water and the consequent increased porosity of the AAS composite. The flexural strength is not affected unless more than 10 wt% of graphite is added, but then it significantly drops due to the weak bond between the graphite and the AAS matrix, and due to the lamellar structure of graphite particles.
- A considerable increase in the porosity of AAS composite determined by mercury intrusion porosimetry was achieved after the addition of graphite powder, especially when more than 10 wt% of graphite was present. This effect can be attributed mainly to the higher amount of water required in order to achieve the same workability as for the reference mixture, and also to the formation of solid foam due to the application of surfactant used for the better dispersion of hydrophobic graphite particles.
- The electrical resistivity of alkali-activated slag composite decreases as the amount of graphite powder and the frequency of the AC source increase; however, at frequencies over 100 kHz, the differences in the resistivities of all tested composites become quite negligible. The electrical capacitance rises when the amount of graphite powder increases until the percolation threshold is reached, whereupon it decreases again. It also generally decreases with AC frequency, but for the mixtures with very high graphite content it is frequency independent. Based on the influence of the conductive admixture on electrical resistivity and capacitance, the percolation threshold was assessed for the mixture containing approximately 12 wt% of graphite powder.
- Self-sensing properties were tested for a reference sample of pure AAS and two mixtures containing 3 wt% and 10 wt% of graphite powder in both the DC and the AC setup with two different frequencies (50 Hz and 1 kHz). Despite the large differences in resistivity, sensing properties were achieved for all three mixtures; however, the sensing sensitivity under repeated compressive loading depended on the frequency used. For the DC measurements, the sensitivity was independent of the amount of graphite admixture but the sensing properties were affected by strong polarization. In the case of the AC measurements at 1 kHz, the polarization was eliminated and the sensing sensitivity increased with the addition of graphite, being three times higher for the mixture with 10 wt% of graphite than for the reference mixture.
- The measurement of sensing properties under monotonous compression showed some extraordinary behaviour from the reference AAS mortar. After an initial drop in the fractional change in resistivity, a local maximum was observed, indicating some primary damage that occurred to the AAS matrix during compressive loading. After the addition of graphite, this maximum diminished. However, when the graphite content was near the percolation threshold (G10 mixture), the limiting conductivity was reached at 10 MPa and the sensitivity of the composite to compressive stress disappeared.
- The best sensing properties were achieved for the mixture with a graphite content almost reaching the percolation threshold, but the self-sensing properties were limited to very low compressive stress in the range of 0–6 MPa.
Author Contributions
Funding
Conflicts of Interest
References
- Han, B.; Yu, X.; Ou, J. Self-Sensing Concrete in Smart Structures; Butterworth Heinemann: Oxford, UK, 2014. [Google Scholar]
- Ding, Y.; Chen, Z.; Han, Z.; Zhang, Y.; Pacheco-Torgal, F. Nano-carbon black and carbon fiber as conductive materials for the diagnosing of the damage of concrete beam. Constr. Build. Mater. 2013, 43, 233–241. [Google Scholar]
- He, Y.; Lu, L.; Jin, S.; Hu, S. Conductive aggregate prepared using graphite and clay and its use in conductive mortar. Constr. Build. Mater. 2014, 53, 131–137. [Google Scholar] [CrossRef]
- Whittington, H.W.; McCarter, J.; Forde, M.C. The conduction of electricity through concrete. Mag. Concr. Res. 1981, 33, 48–60. [Google Scholar] [CrossRef]
- Monfore, G.E. The electrical resistivity of concrete. J. PCA Res. Dev. Lab. 1968, 10, 35–48. [Google Scholar]
- Hou, Z.; Li, Z.; Wang, J. Electrical Conductivity of the Carbon Fiber Conductive Concrete. J. Wuhan Univ. Technol.-Mater. Sci. Ed. 2007, 22, 346–349. [Google Scholar] [CrossRef]
- Tian, X.; Hu, H. Test and study on electrical property of conductive concrete. Proc. Earth Planet. Sci. 2012, 5, 83–87. [Google Scholar] [CrossRef]
- Han, B.; Ding, S.; Yu, X. Intrinsic self-sensing concrete and structures: A review. Measurement 2015, 59, 110–128. [Google Scholar] [CrossRef]
- Sun, M.; Mu, X.; Wang, X.; Hou, Z.; Li, Z. Experimental studies on the indoor electrical floor heating system with carbon black mortar slabs. Energ. Build. 2008, 40, 1094–1100. [Google Scholar]
- Tumidajski, P.J.; Xie, P.; Arnott, M.; Beaudoin, J.J. Overlay current in a conductive concrete snow melting system. Cem. Concr. Res. 2003, 33, 1807–1809. [Google Scholar]
- Hong, L.; Zhao, Y. The electrical properties and snow melting of graphite slurry infiltrated steel fiber concrete. J. Wuhan Univ. Technol.-Mater. Sci. Ed. 2010, 25, 609–612. [Google Scholar] [CrossRef]
- Won, J.-P.; Kim, C.-K.; Lee, S.-J.; Lee, J.-H.; Kim, R.-W. Thermal characteristics of a conductive cement-based composite for a snow-melting heated pavement system. Compos. Struct. 2014, 118, 106–111. [Google Scholar] [CrossRef]
- Chung, D.D.L. Electromagnetic interference shielding effectiveness of carbon materials. Carbon 2001, 39, 279–285. [Google Scholar] [CrossRef]
- Guan, H.; Liu, S.; Duan, Y.; Cheng, J. Cement based electromagnetic shielding and absorbing building materials. Cem. Concr. Compos. 2006, 28, 468–474. [Google Scholar] [CrossRef]
- Han, B.; Yu, X.; Kwon, E. A self-sensing carbon nanotube/cement composite for traffic monitoring. Nanotechnology 2009, 20, 445501–445505. [Google Scholar] [CrossRef]
- Sun, S.; Han, B.; Jiang, S.; Yu, X.; Wang, Y.; Li, H.; Ou, J. Nano graphite platelets-enabled piezoresistive cementitious composites for structural health monitoring. Constr. Build. Mater. 2017, 136, 314–328. [Google Scholar] [CrossRef]
- Liu, X.; Wu, S. Study on the graphite and carbon fiber modified asphalt concrete. Constr. Build. Mater. 2011, 25, 1807–1811. [Google Scholar] [CrossRef]
- Liu, X.; Liu, W.; Wu, S.; Wang, C. Effect of carbon fillers on electrical and road properties of conductive asphalt materials. Constr. Build. Mater. 2014, 68, 301–306. [Google Scholar] [CrossRef]
- El-Dieb, A.S.; El-Ghareeb, M.A.; Abdel-Rahman, M.A.H.; Nasr, E.A. Multifunctional electrically conductive concrete using different fillers. J. Build. Eng. 2018, 15, 61–69. [Google Scholar] [CrossRef]
- Chen, M.; Gao, P.; Geng, F.; Zhang, L.; Liu, H. Mechanical and smart properties of carbon fiber and graphite conductive concrete for internal damage monitoring of structure. Constr. Build. Mater. 2017, 142, 320–327. [Google Scholar] [CrossRef]
- Hanjitsuwan, S.; Chindaprasirt, P.; Pimraksa, K. Electrical conductivity and dielectric property of fly ash geopolymer pastes. Int. J. Miner. Metal. Mater. 2011, 18, 94–99. [Google Scholar] [CrossRef]
- Saafi, M.; Andrew, K.; Tang, P.L.; McGhon, D.; Taylor, S.; Rahman, M.; Yang, S.; Zhou, X. Multifunctional properties of carbon nanotube/fly ash geopolymeric nanocomposites. Constr. Build. Mater. 2013, 49, 46–55. [Google Scholar] [CrossRef]
- Vilaplana, J.L.; Baeza, F.J.; Galao, O.; Zornoza, E.; Garcés, P. Self-Sensing Properties of Alkali Activated Blast Furnace Slag (BFS) Composites Reinforced with Carbon Fibers. Materials 2013, 6, 4776–4786. [Google Scholar] [CrossRef]
- MacKenzie, K.J.D.; Bolton, M.J. Electrical and mechanical properties of aluminosilicate inorganic polymer composites with carbon nanotubes. J. Mater. Sci. 2009, 44, 2851–2857. [Google Scholar] [CrossRef]
- Saafi, M.; Tang, L.; Fung, J.; Rahman, M.; Sillars, F.; Liggat, J.; Zhou, X. Graphene/fly ash geopolymeric composites as self-sensing structural materials. Smart Mater. Struct. 2014, 23, 065006. [Google Scholar] [CrossRef]
- McLellan, B.C.; Williams, R.P.; Lay, J.; van Riessen, A.; Corder, G.D. Costs and carbon emissions for geopolymer pastes in comparison to ordinary Portland cement. J. Clean. Prod. 2011, 19, 1080–1090. [Google Scholar] [CrossRef]
- Keun-Hyeok, Y.; Jin-Kyu, S.; Keum-Il, S. Assessment of CO2 reduction of alkali-activated concrete. J. Clean. Prod. 2013, 39, 265–272. [Google Scholar]
- Rovnaníková, P.; Bayer, P.; Rovnaník, P.; Novák, J. Properties of alkali-activated aluminosilicate materials with fire-resistant aggregate after high temperature loading. In Proceedings of the International Conference on Cement Combinations for Durable Concrete, Dundee, UK, 5–7 July 2005; Dhir, R.K., Harrison, T.A., Newlands, M.D., Eds.; Thomas Telford: London, UK, 2005; pp. 277–286, ISBN 0-7277-3401-6. [Google Scholar]
- Bakharev, T.; Sanjayan, J.G.; Cheng, Y.B. Sulfate attack on alkali-activated slag concrete. Cem. Concr. Res. 2002, 32, 211–216. [Google Scholar] [CrossRef]
- Bakharev, T.; Sanjayan, J.G.; Cheng, Y.B. Resistance of alkali-activatedslag concrete to acid attack. Cem. Concr. Res. 2003, 33, 1607–1611. [Google Scholar] [CrossRef]
- El-Didamony, H.; Amer, A.A.; Ela-ziz, H.A. Properties and durability of alkali-activated slag pastes immersed in sea water. Ceram. Int. 2012, 38, 3773–3780. [Google Scholar] [CrossRef]
- Li, Z.H.; Peethamparan, S. Leaching resistance of alkali-activated slag and fly ash mortars exposed to organic acid. Green Mater. 2018, 6, 117–130. [Google Scholar] [CrossRef]
- Rovnanik, P.; Bayer, P.; Rovnaníková, P. Characterization of alkali activated slag paste after exposure to high temperatures. Constr. Build. Mat. 2013, 47, 1479–1487. [Google Scholar] [CrossRef]
- Zuda, L.; Bayer, P.; Rovnaník, P.; Černý, R. Effect of high temperatures on the properties of alkali activated aluminosilicate with electrical porcelain filler. Int. J. Thermophys. 2008, 29, 693–705. [Google Scholar] [CrossRef]
- Zuda, L.; Rovnaník, P.; Bayer, P.; Černý, R. Thermal properties of alkali-activated aluminosilicate composite with lightweight aggregates at elevated temperatures. Fire Mater. 2011, 35, 231–244. [Google Scholar] [CrossRef]
- Guerrieri, M.; Sanjayan, J.; Collins, F. Residual strength properties of sodium silicate alkali activated slag paste exposed to elevated temperatures. Mater. Struct. 2010, 43, 765–773. [Google Scholar] [CrossRef]
- Rashad, A.M.; Bai, Y.; Basheer, P.A.M.; Collier, N.C.; Milestone, N.B. Chemical and mechanical stability of sodium sulfate activated slag after exposure to elevated temperature. Cem. Concr. Res. 2012, 42, 333–343. [Google Scholar] [CrossRef]
- Wang, S.; Wen, S.; Chung, D.D.L. Resistance heating using electrically conductive cements. Adv. Cem. Res. 2004, 16, 161–166. [Google Scholar] [CrossRef]
- Saleem, M.; Shameem, M.; Hussain, S.E.; Maslehuddin, M. Effect of moisture, chloride and sulphate contamination on the electrical resistivity of Portland cement concrete. Constr. Build. Mater. 1996, 10, 209–214. [Google Scholar] [CrossRef]
- Brunauer, S.; Emmett, P.H.; Teller, E. Adsorption of gases in multimolecular layers. J. Am. Chem. Soc. 1938, 60, 309–319. [Google Scholar] [CrossRef]
- EN 196-1:2005—Methods of Testing Cement—Part 1: Determination of Strength; European Committee for Standardization: Brussel, Belgium, 2005.
- Demirezen, S.; Kaya, A.; Yeriskin, S.A.; Balbasi, M.; Uslu, I. Frequency and voltage dependent profile of dielectric properties, electric modulus and AC electrical conductivity in the PrBaCoO nanofiber capacitors. Res. Phys. 2016, 6, 180–185. [Google Scholar] [CrossRef]
- Afandiyeva, I.M.; Bülbül, M.M.; Altindal, S.; Bengi, S. Frequency dependent dielectric properties and electrical conductivity of platinum silicide/Si contact structures with diffusion barrier. Microelectron. Eng. 2012, 93, 50–55. [Google Scholar] [CrossRef]
- Wen, S.; Chung, D.D.L. Self-sensing of flexural damage and strain in carbon fiber reinforced cement and effect of embedded steel reinforcing bars. Carbon 2006, 44, 1496–1502. [Google Scholar] [CrossRef]
- Cao, J.; Wen, S.; Chung, D.D.L. Defect dynamics and damage of cement-based materials, studied by electrical resistance measurement. J. Mater. Sci. 2001, 36, 4351–4360. [Google Scholar] [CrossRef]
- Li, G.Y.; Wang, P.M.; Zhao, X.H. Pressure-sensitive properties and microstructure of carbon nanotube reinforced cement composites. Cem. Concr. Compos. 2007, 29, 377–382. [Google Scholar] [CrossRef]
- Wen, S.; Chung, D.D.L. Electric polarization in carbon fibre-reinforced cement. Cem. Concr. Res. 2001, 31, 141–147. [Google Scholar] [CrossRef]
- Rovnaník, P.; Kusák, I.; Bayer, P.; Schmid, P.; Fiala, L. Comparison of Electrical and Self-Sensing Properties of Portland Cement and Alkali-Activated Slag Mortars. Cem. Concr. Res. 2019, 118, 84–91. [Google Scholar] [CrossRef]
- Reza, F.; Batson, G.B.; Yamamuro, J.A.; Lee, J.S. Resistance changes during compression of carbon fiber cement composites. J. Mater. Civ. Eng. 2003, 15, 476–483. [Google Scholar] [CrossRef]
- Han, B.; Zhang, K.; Yu, X.; Kwon, E.; Ou, J. Electrical characteristics and pressure-sensitive response measurements of carboxyl MWNT/cement composites. Cem. Concr. Compos. 2012, 34, 794–800. [Google Scholar] [CrossRef]
- Han, B.G.; Han, B.Z.; Ou, J.P. Novel piezoresistive composite with high sensitivity to stress/strain. Mater. Sci. Technol. 2010, 26, 865–870. [Google Scholar] [CrossRef]
















| SiO2 | Al2O3 | Fe2O3 | CaO | MgO | K2O | Na2O | MnO | SO3 |
|---|---|---|---|---|---|---|---|---|
| 39.75 | 6.61 | 0.46 | 39.03 | 10.45 | 0.63 | 0.38 | 0.37 | 0.71 |
| Mix | Slag | Water Glass | Sand | Graphite | Triton X-100 | Lukosan S | Water |
|---|---|---|---|---|---|---|---|
| (g) | (g) | (g) | (g) | (mL) | (mL) | (mL) | |
| G0 | 450 | 90 | 1350 | 0 | 0 | 0 | 185 |
| G1 | 4.5 | 30 | 5 | 150 | |||
| G2 | 9 | 30 | 5 | 155 | |||
| G3 | 13.5 | 30 | 5 | 160 | |||
| G4 | 18 | 30 | 5 | 165 | |||
| G5 | 22.5 | 60 | 10 | 135 | |||
| G6 | 27 | 60 | 10 | 140 | |||
| G7 | 31.5 | 90 | 15 | 110 | |||
| G8 | 36 | 90 | 15 | 115 | |||
| G9 | 40.5 | 120 | 20 | 85 | |||
| G10 | 45 | 120 | 20 | 90 | |||
| G15 | 67.5 | 180 | 30 | 75 | |||
| G20 | 90 | 240 | 40 | 70 | |||
| G25 | 112.5 | 300 | 40 | 70 | |||
| G30 | 135 | 390 | 40 | 70 |
© 2019 by the authors. Licensee MDPI, Basel, Switzerland. This article is an open access article distributed under the terms and conditions of the Creative Commons Attribution (CC BY) license (http://creativecommons.org/licenses/by/4.0/).
Share and Cite
Rovnaník, P.; Kusák, I.; Bayer, P.; Schmid, P.; Fiala, L. Electrical and Self-Sensing Properties of Alkali-Activated Slag Composite with Graphite Filler. Materials 2019, 12, 1616. https://doi.org/10.3390/ma12101616
Rovnaník P, Kusák I, Bayer P, Schmid P, Fiala L. Electrical and Self-Sensing Properties of Alkali-Activated Slag Composite with Graphite Filler. Materials. 2019; 12(10):1616. https://doi.org/10.3390/ma12101616
Chicago/Turabian StyleRovnaník, Pavel, Ivo Kusák, Patrik Bayer, Pavel Schmid, and Lukáš Fiala. 2019. "Electrical and Self-Sensing Properties of Alkali-Activated Slag Composite with Graphite Filler" Materials 12, no. 10: 1616. https://doi.org/10.3390/ma12101616
APA StyleRovnaník, P., Kusák, I., Bayer, P., Schmid, P., & Fiala, L. (2019). Electrical and Self-Sensing Properties of Alkali-Activated Slag Composite with Graphite Filler. Materials, 12(10), 1616. https://doi.org/10.3390/ma12101616

