Large-Strain Hyperelastic Constitutive Model of Envelope Material under Biaxial Tension with Different Stress Ratios
Abstract
1. Introduction
2. Materials and Methods
2.1. Material
2.2. Biaxial Tensile Tests
2.3. Dimension of Cruciform Specimen
2.4. Result of Biaxial Tensile Test
3. A New Constitutive Model for Envelope Materials under Large Strains
- Bonding between the substrate fabric and any other functional layers was assumed to be perfect.
- The envelope material was made up of matrix and fabric components. In addition to the fabric layer, other functional layers are regarded as the matrix.
- The shear stress mainly contributed to the matrix stress. In this work, the modulus of shear was kept constant.
- The failure mode of the envelope material during biaxial tension was a brittle fracture. The failure of the matrix and fiber stress occurred at the same time.
3.1. Constitutive Model Theory with Equal Stress Ratios
3.2. Constitutive Model Theory with Different Stress Ratios
3.3. Identification of the New Constitutive Model Parameters
- (1)
- k11 (warp fiber initial stiffness) and k12 (weft fiber initial stiffness) represent the initial fiber stiffness. The two parameters can be obtained by the initial slope of the biaxial tensile tests.
- (2)
- c1 (matrix shear modulus) and k (fiber-fiber interaction parameter in equal stress ratio) can be solved by the small strain in the biaxial tensile tests. The two parameters can be obtained by the following equation [21]:
- (3)
- Parameters k21 (warp fiber large strain control parameter) and k22 (weft fiber large strain control parameter) are related to the slope of stress–strain curves under large strains. The two parameters can be obtained by biaxial tensile tests with large strain slopes.
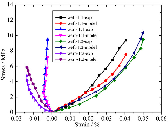
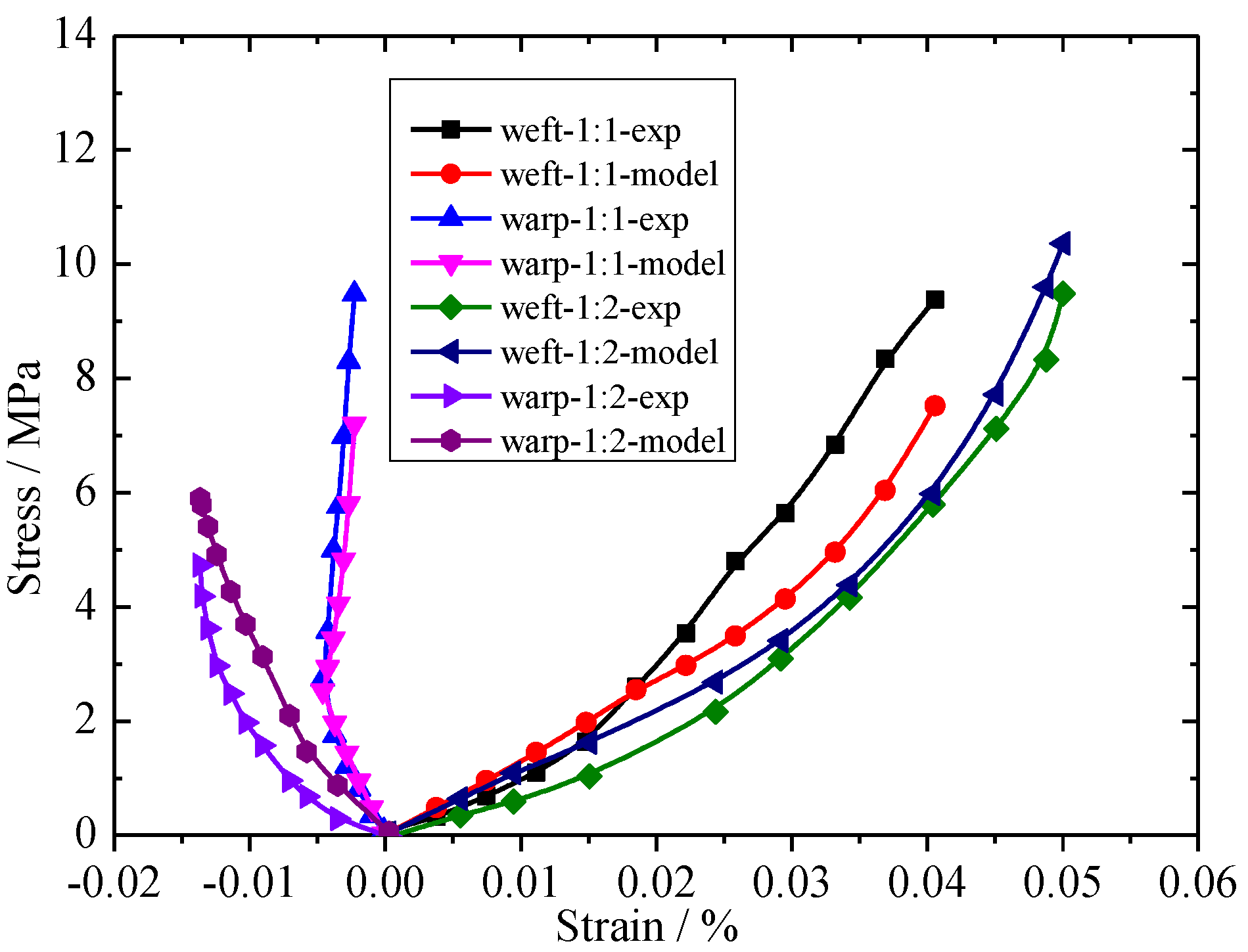
3.4. Validation of New Constitutive Model
4. Results and Discussion
5. Conclusions
Author Contributions
Funding
Acknowledgments
Conflicts of Interest
References
- Reinhardt, H.W. On the biaxial testing and strength of coated fabrics. Exp. Mech. 1976, 16, 71–74. [Google Scholar] [CrossRef]
- Zouani, A.; Bui-Quoc, T.; Bernard, M. A Proposed Biaxial-Tensile Device for Fatigue Testing; American Society of Mechanical Engineers: New York, NY, USA, 1996; pp. 331–339. [Google Scholar]
- Lecompte, D.; Smits, A.; Sol, H.; Vantomme, J.; Hemelrijck, D. Mixed numerical-experimental technique for orthotropic parameter identification using biaxial tensile tests on cruciform specimens. Int. J. Solids Struct. 2007, 44, 1643–1656. [Google Scholar] [CrossRef]
- Makris, A.; Vandenbergh, T.; Ramault, C.; Van Hemelrijck, D.; Lamkanfi, E.; Van Paepegem, W. Shape optimisation of a biaxially loaded cruciform specimen. Polym. Test. 2010, 29, 216–223. [Google Scholar] [CrossRef]
- Kawabata, S.; Niwa, M.; Kawai, H. 4—The finite-deformation theory of plain-weave fabrics. Part II: The uniaxial-deformation theory. J. Text. Inst. 1973, 64, 47–61. [Google Scholar] [CrossRef]
- Moreno, M.C.S.; Cela, J.J.L. Failure envelope under biaxial tensile loading for chopped glass-reinforced polyester composites. Compos. Sci. Technol. 2012, 72, 91–96. [Google Scholar] [CrossRef]
- Galliot, C.; Luchsinger, R.H. A simple model describing the non-linear biaxial tensile behavior of PVC-coated polyester fabrics for use in finite element analysis. Compos. Struct. 2009, 90, 438–447. [Google Scholar] [CrossRef]
- Dinh, T.D.; Rezaei, A.; De Laet, L.; Mollaert, M.; Van Hemelrijck, D.; Van Paepegem, W. A new elasto-plastic material model for coated fabric. Eng. Struct. 2014, 71, 222–233. [Google Scholar] [CrossRef]
- Chen, J.; Chen, W.; Zhang, D. Experimental study on uniaxial and biaxial tensile properties of coated fabric for airship envelopes. J. Reinf. Plast. Compos. 2014, 33, 630–647. [Google Scholar] [CrossRef]
- Chen, J.; Chen, W.; Wang, M.; Ding, Y.; Zhou, H.; Zhao, B.; Fan, J. Mechanical Behaviors and Elastic Parameters of Laminated Fabric URETEK3216LV Subjected to Uniaxial and Biaxial Loading. Appl. Compos. Mater. 2017, 24, 1107–1136. [Google Scholar] [CrossRef]
- Shi, T.; Chen, W.; Gao, C.; Hu, J.; Zhao, B.; Wang, P.A.; Wang, M. Biaxial strength determination of woven fabric composite for airship structural envelope based on novel specimens. Compos. Struct. 2017, 184, 1126–1136. [Google Scholar] [CrossRef]
- Pu, X.; Peng, X.; Jian, C. A non-orthogonal constitutive model for characterizing woven composites. Compos. Part A Appl. Sci. Manuf. 2003, 34, 183–193. [Google Scholar]
- Nayfeh, A.H.; Kress, G.R. Non-linear constitutive model for plain-weave composites. Compos. Part B Eng. 1997, 28, 627–634. [Google Scholar] [CrossRef]
- Guo, Z.; Peng, X.; Moran, B. Large deformation response of a hyperelastic fibre reinforced composite: Theoretical model and numerical validation. Compos. Part A Appl. Sci. Manuf. 2007, 38, 1842–1851. [Google Scholar] [CrossRef]
- Li, J.; Kwok, K.; Pellegrino, S. Thermoviscoelastic models for polyethylene thin films. Mech. Time-Depend. Mater. 2016, 20, 13–43. [Google Scholar] [CrossRef]
- Milani, A.S.; Nemes, J.A. An intelligent inverse method for characterization of textile reinforced thermoplastic composites using a hyperelastic constitutive model. Compos. Sci. Technol. 2004, 64, 1565–1576. [Google Scholar] [CrossRef]
- Hosoi, A.; Kawada, H. Fatigue Life Prediction for Transverse Crack Initiation of CFRP Cross-Ply and Quasi-Isotropic Laminates. Materials 2018, 11, 1182. [Google Scholar] [CrossRef] [PubMed]
- Spencer, A.J.M. Constitutive Theory for Strongly Anisotropic Solids. In Continuum Theory of the Mechanics of Fibre-Reinforced Composites; Springer: Vienna, Austria, 1984; pp. 1–32. [Google Scholar]
- Holzapfel, G.A. Nonlinear Solid Mechanics: A Continuum Approach for Engineering Science. Meccanica 2002, 37, 489–490. [Google Scholar] [CrossRef]
- Holzapfel, G.A.; Gasser, T.C.; Ogden, R.W. A New Constitutive Framework for Arterial Wall Mechanics and a Comparative Study of Material Models. J. Elast. Phys. Sci. Solids 2000, 61, 1–48. [Google Scholar]
- Colasante, G. Tensile Structures: Biaxial Testing and Constitutive Modelling of Coated Fabrics at Finite Strains. Ph.D. Thesis, Politecnico di Milano, Milano, Italy, 2014. [Google Scholar]
- Peng, X.Q.; Guo, Z.Y.; Moran, B. An Anisotropic Hyperelastic Constitutive Model with Fiber-Matrix Shear Interaction for the Human Annulus Fibrosus. J. Appl. Mech. 2006, 73, 815–824. [Google Scholar] [CrossRef]
- Chen, S.; Ding, X.; Fangueiro, R.; Yi, H.; Ni, J. Tensile behavior of PVC-coated woven membrane materials under uni- and bi-axial loads. J. Appl. Polym. Sci. 2008, 107, 2038–2044. [Google Scholar] [CrossRef]












| Loading Ratios | Warp (N·mm−1/min) | Weft (N·mm−1/min) | Number of Test Specimens |
|---|---|---|---|
| 1:1 | 40 | 40 | 3 |
| 1.5:1 | 40 | 27 | 3 |
| 2:1 | 40 | 20 | 3 |
| c1 | k11 | k21 | k12 | k22 | k | kc (c = 0.5) |
|---|---|---|---|---|---|---|
| (MPa) | (Mpa) | (1) | (Mpa) | (1) | (Mpa) | (1) |
| 11 | 32 | 10 | 28 | −20 | 36 | 7 |
| Loading Ratio | c1 | k11 | k21 | k12 | k22 | k | R2 |
|---|---|---|---|---|---|---|---|
| (MPa) | (MPa) | (1) | (MPa) | (1) | (MPa) | (1) | |
| 1:1 | 146.48 ± 18.62 | 25.57 ± 4.86 | 17.14 ± 1.23 | 40.53 ± 12.52 | 24.78 ± 2.32 | 76.00 ± 9.71 | 0.98 |
| Loading Ratios | kc (MPa) | |
|---|---|---|
| Tests | Predicted | |
| 1.5:1 | 47.77 ± 4.86 | 50.72 ± 6.94 |
| 2:1 | 37.86 ± 2.98 | 38.05 ± 4.03 |
© 2018 by the authors. Licensee MDPI, Basel, Switzerland. This article is an open access article distributed under the terms and conditions of the Creative Commons Attribution (CC BY) license (http://creativecommons.org/licenses/by/4.0/).
Share and Cite
Qu, Z.; He, W.; Lv, M.; Xiao, H. Large-Strain Hyperelastic Constitutive Model of Envelope Material under Biaxial Tension with Different Stress Ratios. Materials 2018, 11, 1780. https://doi.org/10.3390/ma11091780
Qu Z, He W, Lv M, Xiao H. Large-Strain Hyperelastic Constitutive Model of Envelope Material under Biaxial Tension with Different Stress Ratios. Materials. 2018; 11(9):1780. https://doi.org/10.3390/ma11091780
Chicago/Turabian StyleQu, Zhipeng, Wei He, Mingyun Lv, and Houdi Xiao. 2018. "Large-Strain Hyperelastic Constitutive Model of Envelope Material under Biaxial Tension with Different Stress Ratios" Materials 11, no. 9: 1780. https://doi.org/10.3390/ma11091780
APA StyleQu, Z., He, W., Lv, M., & Xiao, H. (2018). Large-Strain Hyperelastic Constitutive Model of Envelope Material under Biaxial Tension with Different Stress Ratios. Materials, 11(9), 1780. https://doi.org/10.3390/ma11091780
