The Role of Surface Topography on Deformation-Induced Magnetization under Inhomogeneous Elastic-Plastic Deformation
Abstract
1. Introduction
2. Materials and Methods
2.1. Material
2.2. Specimen Geometry and Preparation
2.3. Mechanical Loading
2.4. Magnetic Sensing
2.5. Strain Field Measurements
2.6. Topography Measurements
2.7. Experimental Sequence
3. Results
3.1. Mechanical Loading
3.2. Deformation-Induced Magnetic Stray Fields
3.2.1. Analysis of Individual Magnetic Field Profiles
3.2.2. Two-Dimensional Representation of Magnetic Field Distributions
As-Received State and Elastic Deformation
Plastic Deformation
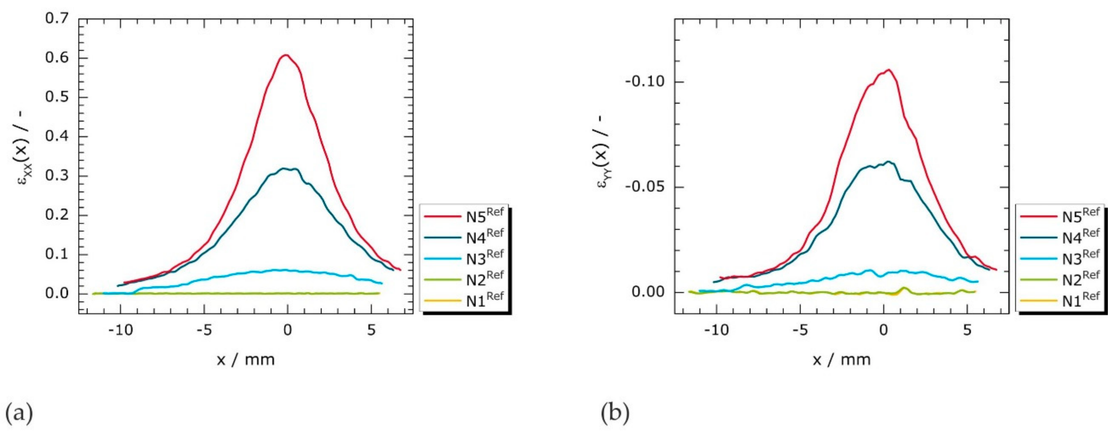
3.3. Strain Distribution
3.4. Topography Evolution During Necking
4. Discussion
4.1. The Role of Topography
4.2. Multiaxiality
5. Conclusions
- For the analysis and correlation of gradients (in, e.g., magnetic fields, stresses, strains), spatially-resolved measurement methods and two-dimensional data representations should be preferred over global examination methods and the analysis of individual profiles. They may reveal specific geometric features of characteristic structures (e.g., Lüders bands), particularly, when the (magnetic) changes are too small to be reliably distinguished from the measurement noise of the (magnetic) sensor used.
- Topographic changes due to localized plastic straining act as geometric discontinuities and must be considered as one of the basic causes for the observed magnetic stray field formation.
- Topographic changes may lead to variable distances between magnetic sensing device and analyzed specimens or component surfaces (lift-off). Since recorded magnetic intensities depend on the distance to the magnetic source, a variable lift-off may distort the magnetic signals qualitatively and quantitatively and, thus, may provoke misinterpretations.
- Therefore, quantitative stress or damage assessments on the basis of residual magnetic field distributions of inhomogeneously (plastically) deformed surfaces should be avoided until the magnetomechanical interrelations and the underlying mechanism of the stray field formation are sufficiently well understood. To this end, true multidisciplinary and multi-scale research is still required, for instance regarding:
- (i)
- options for the computational correction of topography-related artefacts;
- (ii)
- the correlation of magnetic field vectors (and their components) and stress-strain tensors (and their components);
- (iii)
- the role of locally emerging deformation textures with respect to local changes in magnetocrystalline anisotropy;
- (iv)
- the role of formation, growth and coalescence of voids during the ductile damage process and their influence on macroscopic magnetic quantities such as permeability, coercivity, saturation magnetization, and hysteresis loss; and
- (v)
- microscopic and macroscopic (statistical) changes in the magnetic domain structure (of polycrystalline ferromagnetic materials) caused by complex states of stress and strain.
Author Contributions
Funding
Acknowledgments
Conflicts of Interest
Appendix A

Appendix B
Appendix B1. Specimen Excitation by Earth’s Magnetic Field During Magnetic Measurements

Appendix B2. Offset-Correction
References
- Villari, E. Ueber die Aenderungen des magnetischen Moments, welche der Zug und das Hindurchleiten eines galvanischen Stroms in einem Stabe von Stahl oder Eisen hervorbringen. Ann. Phys. 1865, 202, 87–122. [Google Scholar] [CrossRef]
- Hinz, G.; Voigt, H. Magnetoelastic Sensors. In Sensors, A Comprehensive Survey; Göpel, W., Hesse, J., Zemel, J.N., Eds.; Wiley-VCH: Weinheim, Germany, 2008; Volume 5, pp. 105–106. ISBN 9783527620166. [Google Scholar]
- Umakoshi, Y.; Kronmüller, H. On magnetic domain patterns and dislocation structures in iron single crystals deformed at 195-K and 77-K. Phys. Status Solidi A 1981, 68, 159–172. [Google Scholar] [CrossRef]
- Miltat, J.; Kleman, M. Interaction of moving [110] 90° walls in Fe-Si single-crystals with lattice imperfections. J. Appl. Phys. 1979, 50, 7695–7697. [Google Scholar] [CrossRef]
- Iordache, V.E.; Hug, E.; Buiron, N. Magnetic behaviour versus tensile deformation mechanisms in a non-oriented Fe-(3 wt. %) Si steel. Mater. Sci. Eng. A 2003, 359, 62–74. [Google Scholar] [CrossRef]
- Makar, J.M.; Tanner, B.K. The effect of plastic deformation and residual stress on the permeability and magnetostriction of steels. J. Magn. Magn. Mater. 2000, 222, 291–304. [Google Scholar] [CrossRef]
- Jiles, D.C. Theory of the magnetomechanical effect. J. Phys. D Appl. Phys. 1995, 28, 1537–1546. [Google Scholar] [CrossRef]
- Birss, R.R.; Faunce, C.A.; Isaac, E.D. Magnetomechanical effects in iron and iron-carbon alloys. J. Phys. D Appl. Phys. 1971, 4, 1040. [Google Scholar] [CrossRef]
- Jiles, D.C.; Devine, M.K. The law of approach as a means of modelling the magnetomechanical effect. J. Magn. Magn. Mater. 1995, 140–144 Pt 3, 1881–1882. [Google Scholar] [CrossRef]
- Sablik, M.J.; Jiles, D.C. Coupled magnetoelastic theory of magnetic and magnetostrictive hysteresis. IEEE Trans. Magn. 1993, 29, 2113–2123. [Google Scholar] [CrossRef]
- Atherton, D.L.; Jiles, D.C. Effects of stress on the magnetization of steel. IEEE Trans. Magn. 1983, 19, 2021–2023. [Google Scholar] [CrossRef]
- Lee, E.W. Magnetostriction and magnetomechanical effects. Rep. Prog. Phys. 1955, 18, 184. [Google Scholar] [CrossRef]
- Wilson, J.W.; Tian, G.Y.; Barrans, S. Residual magnetic field sensing for stress measurement. Sens. Actuator A Phys. 2007, 135, 381–387. [Google Scholar] [CrossRef]
- Roskosz, M.; Bieniek, M. Evaluation of residual stress in ferromagnetic steels based on residual magnetic field measurements. NDT E Int. 2012, 45, 55–62. [Google Scholar] [CrossRef]
- Leng, J.; Xu, M.; Xu, M.; Zhang, J. Magnetic field variation induced by cyclic bending stress. NDT E Int. 2009, 42, 410–414. [Google Scholar] [CrossRef]
- Shi, C.L.; Dong, S.Y.; Xu, B.S.; He, P. Metal Magnetic Memory effect caused by static tension load in a case-hardened steel. J. Magn. Magn. Mater. 2010, 322, 413–416. [Google Scholar] [CrossRef]
- Leng, J.C.; Liu, Y.; Zhou, G.Q.; Gao, Y.T. Metal magnetic memory signal response to plastic deformation of low carbon steel. NDT E Int. 2013, 55, 42–46. [Google Scholar] [CrossRef]
- Wang, Z.D.; Yao, K.; Deng, B.; Ding, K.Q. Theoretical studies of metal magnetic memory technique on magnetic flux leakage signals. NDT E Int. 2010, 43, 354–359. [Google Scholar] [CrossRef]
- Yao, K.; Wang, Z.D.; Deng, B.; Shen, K. Experimental Research on Metal Magnetic Memory method. Exp. Mech. 2012, 52, 305–314. [Google Scholar] [CrossRef]
- Guo, P.; Chen, X.; Guan, W.; Cheng, H.; Jiang, H. Effect of tensile stress on the variation of magnetic field of low-alloy steel. J. Magn. Magn. Mater. 2011, 323, 2474–2477. [Google Scholar] [CrossRef]
- Shi, P.; Jin, K.; Zheng, X. A general nonlinear magnetomechanical model for ferromagnetic materials under a constant weak magnetic field. J. Appl. Phys. 2016, 119, 145103. [Google Scholar] [CrossRef]
- Dubov, A.; Kolokolnikov, S. Assessment of the material state of oil and gas pipelines based on the Metal Magnetic Memory method. Weld. World 2012, 56, 11–19. [Google Scholar] [CrossRef]
- Dubov, A.; Kolokolnikov, S. The metal magnetic memory method application for online monitoring of damage development in steel pipes and welded joints specimens. Weld. World 2013, 57, 123–136. [Google Scholar] [CrossRef]
- Dubov, A.A. A study of metal properties using the method of magnetic memory. Met. Sci. Heat Treat. 1997, 39, 401–405. [Google Scholar] [CrossRef]
- ISO 24497: 2007 Non-Destructive Testing—Metal Magnetic Memory; International Organization for Standardization: Geneva, Switzerland, 2007; Volume 24497.
- Wang, Z.D.; Yao, K.; Deng, B.; Ding, K.Q. Quantitative study of metal magnetic memory signal versus local stress concentration. NDT E Int. 2010, 43, 513–518. [Google Scholar] [CrossRef]
- Yang, L.J.; Liu, B.; Chen, L.J.; Gao, S.W. The quantitative interpretation by measurement using the magnetic memory method (MMM)-based on density functional theory. NDT E Int. 2013, 55, 15–20. [Google Scholar] [CrossRef]
- Roskosz, M.; Gawrilenko, P. Analysis of changes in residual magnetic field in loaded notched samples. NDT E Int. 2008, 41, 570–576. [Google Scholar] [CrossRef]
- Yao, K.; Deng, B.; Wang, Z.D. Numerical studies to signal characteristics with the metal magnetic memory-effect in plastically deformed samples. NDT E Int. 2012, 47, 7–17. [Google Scholar] [CrossRef]
- Wang, Z.D.; Deng, B.; Yao, K. Physical model of plastic deformation on magnetization in ferromagnetic materials. J. Appl. Phys. 2011, 109, 083928. [Google Scholar] [CrossRef]
- Roskosz, M.; Rusin, A.; Bieniek, M. Analysis of relationships between residual magnetic field and residual stress. Meccanica 2013, 48, 45–55. [Google Scholar] [CrossRef]
- Bao, S.; Liu, X.; Zhang, D. Variation of residual magnetic field of defective U75V steel subjected to tensile stress. Strain 2015, 51, 370–378. [Google Scholar] [CrossRef]
- Shui, G.S.; Li, C.W.; Yao, K. Non-destructive evaluation of the damage of ferromagnetic steel using metal magnetic memory and nonlinear ultrasonic method. Int. J. Appl. Electromagn. Mech. 2015, 47, 1023–1038. [Google Scholar] [CrossRef]
- Leng, J.; Xu, M.; Zhou, G.; Wu, Z. Effect of initial remanent states on the variation of magnetic memory signals. NDT E Int. 2012, 52, 23–27. [Google Scholar] [CrossRef]
- Young, W.C.; Budynas, R.G.; Roark, R.J. Roark’s Formulas for Stress and Strain, 7th ed.; McGraw-Hill: New York, NY, USA, 2002; ISBN 0-07-072542-X. [Google Scholar]
- Glenske, C.; Loreit, U. New 3D-magnetic field sensors with GMR-spin valve layers. In Proceedings of the 10th Symposium Magnetoresistive Sensors and Magnetic Systems, Wetzlar, Germany, 31 March 2009–1 April 2009; pp. 79–86. [Google Scholar]
- Stegemann, R.; Cabeza, S.; Pelkner, M.; Lyamkin, V.; Pittner, A.; Werner, D.; Wimpory, R.; Boin, M.; Kreutzbruck, M.; Bruno, G. Influence of the Microstructure on Magnetic Stray Fields of Low-Carbon Steel Welds. J. Nondestruct. Eval. 2018, 37, 66. [Google Scholar] [CrossRef]
- Reig, C.; Cardoso, S.; Mukhopadhyay, S.C. Giant Magnetoresistance (GMR) Sensors—From Basis to State-of-the-Art Applications, 1st ed.; Springer: Berlin/Heidelberg, Germany, 2013; p. 301. ISBN 9783642371721. [Google Scholar]
- Fermon, C.; Van de Voorde, M. Nanomagnetism—Applications and Perspectives; Wiley-VCH: Weinheim, Germany, 2017; ISBN 9783527339853. [Google Scholar]
- Bing, P.; Kemao, Q.; Huimin, X.; Anand, A. Two-dimensional digital image correlation for in-plane displacement and strain measurement: A review. Meas. Sci. Technol. 2009, 20, 062001. [Google Scholar] [CrossRef]
- Gorthi, S.S.; Rastogi, P. Fringe projection techniques: Whither we are? Opt. Lasers Eng. 2010, 48, 133–140. [Google Scholar] [CrossRef]
- Degroot, P.; Deck, L. Surface profiling by analysis of white-light interferograms in the spatial-frequency domain. J. Mod. Opt. 1995, 42, 389–401. [Google Scholar] [CrossRef]
- Lomer, W.M. The yield phenomenon in polycrystalline mild steel. J. Mech. Phys. Solids 1952, 1, 64–73. [Google Scholar] [CrossRef]
- Kronmüller, H.; Fähnle, M. Micromagnetism and the Microstructure of Ferromegnetic Solids, 1st ed.; Cambridge University Press: New York, NY, USA, 2009; p. 452. ISBN 9780521120470. [Google Scholar]
- Cullity, B.D.; Graham, C.D. Introduction to Magnetic Materials, 2nd ed.; Wiley-IEEE Press: Hoboken, NJ, USA, 2008; p. 568. ISBN 9780471477419. [Google Scholar]
- Kneller, E. Ferromagnetismus, 1st ed.; Springer: Berlin, Germany, 1962; p. 792. ISBN 9783642491290. [Google Scholar]
- Coey, J.M.D. Magnetism and Magnetic Materials, 1st ed.; Cambridge University Press: Cambridge, UK, 2010; p. 625. ISBN 9780521816144. [Google Scholar]
- Wang, Z.D.; Gu, Y.; Wang, Y.S. A review of three magnetic NDT technologies. J. Magn. Magn. Mater. 2012, 324, 382–388. [Google Scholar] [CrossRef]
- ASTM E570-15 Standard Practice for Flux Leakage Examination of Ferromagnetic Steel Tubular Products; ASTM International: West Conshohocken, PA, USA, 2016.
- Li, Y.; Wilson, J.; Tian, G.Y. Experiment and simulation study of 3D magnetic field sensing for magnetic flux leakage defect characterisation. NDT E Int. 2007, 40, 179–184. [Google Scholar] [CrossRef]
- Krolczyk, G.M.; Nieslony, P.; Krolczyk, J.B.; Samardzic, I.; Legutko, S.; Hloch, S.; Barrans, S.; Maruda, R.W. Influence of argon pollution on the weld surface morphology. Int. J. Impact Eng. 2015, 70, 203–213. [Google Scholar] [CrossRef]
- Kose, C. An investigation of the surface characterization of laser surface remelted and laser beam welded AISI 316L stainless steel. Int. J. Electrochem. Sci. 2016, 11, 3542–3554. [Google Scholar] [CrossRef]
- Seiler, M.; Patschger, A.; Tianis, L.; Rochholz, C.; Bliedtner, J. Experimental determination of influencing factors on the humping phenomenon during laser micro welding of thin metal sheets. J. Laser Appl. 2017, 29. [Google Scholar] [CrossRef]
- Gupta, N.K. IMPLAST symposia and large deformations—A perspective. Int. J. Impact Eng. 2002, 27, 901–918. [Google Scholar] [CrossRef]
- Boger, R.K.; Wagoner, R.H.; Barlat, F.; Lee, M.G.; Chung, K. Continuous, large strain, tension/compression testing of sheet material. Int. J. Plast. 2005, 21, 2319–2343. [Google Scholar] [CrossRef]
- Reid, S.R. Plastic deformation mechanisms in axially compressed metal tubes used as impact energy absorbers. Int. J. Mech. Sci. 1993, 35, 1035–1052. [Google Scholar] [CrossRef]
- Jeffrey, R.; Melchers, R.E. The changing topography of corroding mild steel surfaces in seawater. Corros. Sci. 2007, 49, 2270–2288. [Google Scholar] [CrossRef]
- Lamaka, S.V.; Zheludkevich, M.L.; Yasakau, K.A.; Montemor, M.F.; Ferreira, M.G.S. High effective organic corrosion inhibitors for 2024 aluminium alloy. Electrochim. Acta 2007, 52, 7231–7247. [Google Scholar] [CrossRef]
- Butler, G.; Stretton, P.; Beynon, J.G. Initiation and Growth of Pits on High-Purity Iron and its Alloys with Chromium and Copper in Neutral Chloride Solutions. Br. Corros. J. 1972, 7, 168–173. [Google Scholar] [CrossRef]
- Turnbull, A. Review of modelling of pit propagation kinetics. Br. Corros. J. 1993, 28, 297–308. [Google Scholar] [CrossRef]
- Grabke, H.J.; Wiemer, D.; Viefhaus, H. Segregation of sulfur during growth of oxide scales. Appl. Surf. Sci. 1991, 47, 243–250. [Google Scholar] [CrossRef]
- Man, J.; Obrtlík, K.; Polák, J. Study of surface relief evolution in fatigued 316L austenitic stainless steel by AFM. Mater. Sci. Eng. A 2003, 351, 123–132. [Google Scholar] [CrossRef]
- Man, J.; Vystavěl, T.; Weidner, A.; Kuběna, I.; Petrenec, M.; Kruml, T.; Polák, J. Study of cyclic strain localization and fatigue crack initiation using FIB technique. Int. J. Fatigue 2012, 39, 44–53. [Google Scholar] [CrossRef]
- Man, J.; Klapetek, P.; Man, O.; Weidner, A.; Obrtlík, K.; Polák, J. Extrusions and intrusions in fatigued metals. Part 2. AFM and EBSD study of the early growth of extrusions and intrusions in 316L steel fatigued at room temperature. Philos. Mag. 2009, 89, 1337–1372. [Google Scholar] [CrossRef]
- Polák, J.; Lepistö, T.; Kettunen, P. Surface topography and crack initiation in emerging persistent slip bands in copper single crystals. Mater. Sci. Eng. 1985, 74, 85–91. [Google Scholar] [CrossRef]
- Polák, J.; Mazánová, V.; Heczko, M.; Petráš, R.; Kuběna, I.; Casalena, L.; Man, J. The role of extrusions and intrusions in fatigue crack initiation. Eng. Fract. Mech. 2017, 185, 46–60. [Google Scholar] [CrossRef]
- Ren, S.; Ren, X. Studies on laws of stress-magnetization based on magnetic memory testing technique. J. Magn. Magn. Mater. 2018, 449, 165–171. [Google Scholar] [CrossRef]
- Roskosz, M.; Bieniek, M. Analysis of the similarity between residual magnetic field distribution and the stress and strain state for 7CrMoVTiB10-10 (T/P24) steel. Int. J. Appl. Electromagn. Mech. 2012, 39, 521–527. [Google Scholar] [CrossRef]
- Yusa, N.; Uchimoto, T.; Kikuchi, H. Electromagnetic Nondestructive Evaluation (XIX); Volume 41 of Studies in Applied Electromagnetics and Mechanics; IOS Press: Amsterdam, The Netherlands, 2016; ISBN 9781614996392. [Google Scholar]
- Joule, J.P. On the effects of magnetism upon the dimensions of iron and steel bars. Lond. Edinb. Dublin Philos. Mag. Ser. 3 1847, 30, 76–87. [Google Scholar] [CrossRef]
- Becker, R. Zur Theorie der Magnetisierungskurve. Z. Phys. 1930, 62, 253–269. [Google Scholar] [CrossRef]
- Jiles, D.C.; Li, L. A new approach to modeling the magnetomechanical effect. J. Appl. Phys. 2004, 95, 7058–7060. [Google Scholar] [CrossRef]
- Thompson, S.M.; Tanner, B.K. The magnetic properties of plastically deformed steels. J. Magn. Magn. Mater. 1990, 83, 221–222. [Google Scholar] [CrossRef]
- Thompson, S.M.; Tanner, B.K. The Magnetic-Properties of Specially Prepared Pearlitic Steels of Varying Carbon Content as a Function of Plastic-Deformation. J. Magn. Magn. Mater. 1994, 132, 71–88. [Google Scholar] [CrossRef]
- Roters, F.; Eisenlohr, P.; Hantcherli, L.; Tjahjanto, D.D.; Bieler, T.R.; Raabe, D. Overview of constitutive laws, kinematics, homogenization and multiscale methods in crystal plasticity finite-element modeling: Theory, experiments, applications. Acta Mater. 2010, 58, 1152–1211. [Google Scholar] [CrossRef]
- Anand, L. Single-crystal elasto-viscoplasticity: Application to texture evolution in polycrystalline metals at large strains. Comput. Methods Appl. Mech. Eng. 2004, 193, 5359–5383. [Google Scholar] [CrossRef]
- Becker, R.; Panchanadeeswaran, S. Effects of grain interactions on deformation and local texture in polycrystals. Acta Metall. Mater. 1995, 43, 2701–2719. [Google Scholar] [CrossRef]
- Suwas, S.; Ray, R.K. Deformation Textures. In Crystallographic Texture of Materials; Springer: London, UK, 2014; pp. 95–141. ISBN 9781447163145. [Google Scholar]
- Gurson, A.L. Continuum theory of ductile rupture by void nucleation and growth: Part I—Yield criteria and flow rules for porous ductile media. J. Eng. Mater. Technol. 1977, 99, 2–15. [Google Scholar] [CrossRef]
- Koplik, J.; Needleman, A. Void growth and coalescence in porous plastic solids. Int. J. Solids Struct. 1988, 24, 835–853. [Google Scholar] [CrossRef]
- Öchsner, A. Continuum Damage Mechanics. In Continuum Damage and Fracture Mechanics; Springer: Singapore, 2016; pp. 65–84. ISBN 9789812878656. [Google Scholar]
- Sonntag, N.; Cabeza, S.; Kuntner, M.; Mishurova, T.; Klaus, M.; Kling e Silva, L.; Skrotzki, B.; Genzel, C.; Bruno, G. Visualisation of deformation gradients in structural steel by macroscopic magnetic domain distribution imaging (Bitter technique). Strain 2018, in press. [Google Scholar]
- IGRF Declination Calculator. Available online: http://isdc.gfz-potsdam.de/geomagnetism/igrf-declination-calculator (accessed on 22 August 2018).
- Mease, P.S.; Krchnavek, R.R.; Kephart, J.T.; Ferrara, P. Sensor saturation for hysteresis reduction in GMR magnetometers. In Proceedings of the 2010 IEEE Sensors Applications Symposium (SAS), Limerick, Ireland, 23–25 February 2010; pp. 230–234. [Google Scholar] [CrossRef]












| Element | C | Si | Mn | P | S | Cr | Cu | Mo | Nb | Ni | Ti | V | Fe |
|---|---|---|---|---|---|---|---|---|---|---|---|---|---|
| mass% | 0.14 | 0.012 | 0.52 | 0.011 | 0.008 | 0.027 | 0.034 | 0.004 | 0.003 | 0.017 | <0.001 | 0.004 | 99.1 |
| Young’s Modulus, E in GPa | Upper Yield Strength, ReH in MPa | Strain at ReH in % | Lower Yield Strength, ReL in MPa | Strain at ReL in % | Ultimate Tensile Strength, UTS in MPa | Strain at UTS in % |
|---|---|---|---|---|---|---|
| 205.6 | 256 | 0.16 | 228 | 1.92 | 375 | 22.55 |
| Specimen | N1 | N2 | N3 | N4 | N5 |
|---|---|---|---|---|---|
| σn in MPa | 103 | 201 | 365 | 403 | 369 |
| εn in % | 0.05 | 0.07 | 2.68 | 9.66 | 13.56 |
© 2018 by the authors. Licensee MDPI, Basel, Switzerland. This article is an open access article distributed under the terms and conditions of the Creative Commons Attribution (CC BY) license (http://creativecommons.org/licenses/by/4.0/).
Share and Cite
Sonntag, N.; Skrotzki, B.; Stegemann, R.; Löwe, P.; Kreutzbruck, M. The Role of Surface Topography on Deformation-Induced Magnetization under Inhomogeneous Elastic-Plastic Deformation. Materials 2018, 11, 1518. https://doi.org/10.3390/ma11091518
Sonntag N, Skrotzki B, Stegemann R, Löwe P, Kreutzbruck M. The Role of Surface Topography on Deformation-Induced Magnetization under Inhomogeneous Elastic-Plastic Deformation. Materials. 2018; 11(9):1518. https://doi.org/10.3390/ma11091518
Chicago/Turabian StyleSonntag, Nadja, Birgit Skrotzki, Robert Stegemann, Peter Löwe, and Marc Kreutzbruck. 2018. "The Role of Surface Topography on Deformation-Induced Magnetization under Inhomogeneous Elastic-Plastic Deformation" Materials 11, no. 9: 1518. https://doi.org/10.3390/ma11091518
APA StyleSonntag, N., Skrotzki, B., Stegemann, R., Löwe, P., & Kreutzbruck, M. (2018). The Role of Surface Topography on Deformation-Induced Magnetization under Inhomogeneous Elastic-Plastic Deformation. Materials, 11(9), 1518. https://doi.org/10.3390/ma11091518

