The Computation of Complex Dispersion and Properties of Evanescent Lamb Wave in Functionally Graded Piezoelectric-Piezomagnetic Plates
Abstract
1. Introduction
2. Mathematics and Formulation of the Problem
3. Numerical Results and Discussion
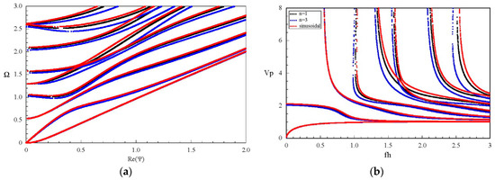
3.1. Approach Validation and Convergence of the Problem
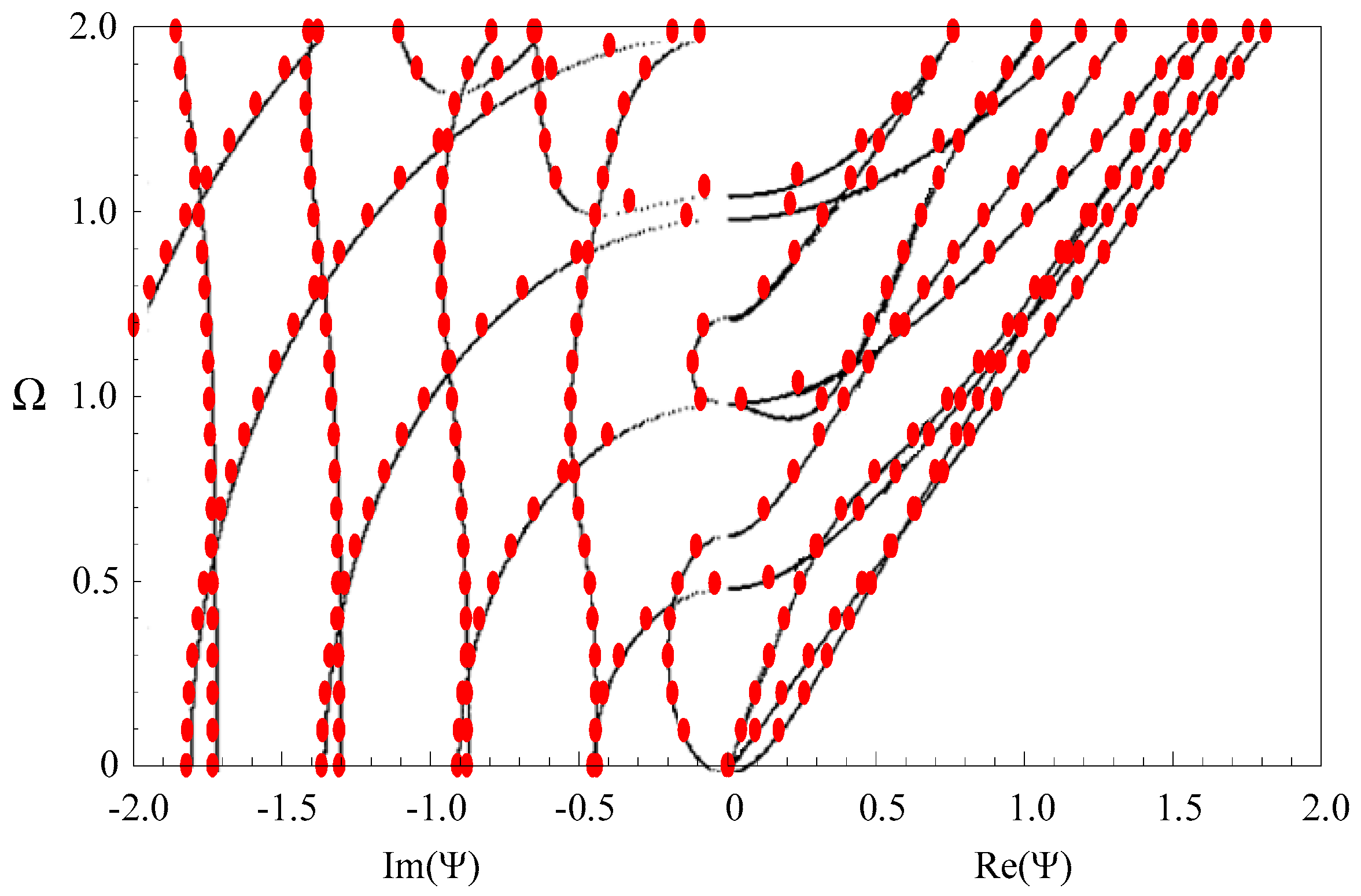
3.2. Full Dispersion Curves of Lamb Wave
3.3. Influences of Graded Field on Dispersion Curves and the Electromechanical Coupling Factor
3.4. Wave Structure Analysis
3.5. Merits of the Presented Method
- (1)
- The complex mathematical issue is reduced to solve an eigenvalue problem, which is capable of accurately determining all the real, imaginary and complex solutions of a transcendental dispersion equation.
- (2)
- The conventional approaches (root-finding routines or finite element simulations) require an iterative search procedure or a far greater coding effort, to find complex roots. The present method can avoid tedious iterative two-variable search and is simple to program. It needs to take a larger polynomial order to obtain solutions of the higher modes, which will cause more computer memory and long time.
- (3)
- The method is easy to implement and can be extended to complex structures such as multilayered or curved structures.
4. Conclusions
- (1)
- Superior to the conventional methods that necessitate an iterative search procedure to solve the complex roots of a dispersion equation, the presented analytic method can transform the set of differential equations for the acoustic waves into an eigenvalue problem in the form AX = kX to find the complex solutions.
- (2)
- Complex branches of the Lamb wave usually collapse onto the extremum of the real branches. They exhibit both local vibration and local propagation, and some can propagate a quite long distance (more than ten times of the plate thickness). They will turn into the propagating modes with increasing frequency.
- (3)
- Some evanescent modes have a noticeably higher phase velocity than the propagating modes. The phase velocity of the low order evanescent modes is more than four times larger than that of the propagating modes. Also, the wave dispersion of the evanescent mode is quite weak in a certain frequency range.
- (4)
- The magneto-electromechanical coupling factor of the guided wave in a FGPPM plate may be improved by adjusting the graded field. The coupling factor reaches a maximum from 4.4% for the sinusoidal graded field to 9.5% for the cubic graded field. The maximum of the magneto-electromechanical coupling factor for the S0 mode shifts to lower frequencies with increasing the gradient index.
Author Contributions
Conflicts of Interest
References
- Wang, J.G.; Chen, L.F.; Fang, S.S. State vector approach to analysis of multilayered magneto-electro-elastic plates. Int. J. Solids Struct. 2003, 40, 1669–1680. [Google Scholar] [CrossRef]
- Tornabene, F. Free vibration analysis of functionally graded conical, cylindrical shell and annular plate structures with a four-parameter power-law distribution. Comput. Methods Appl. Mech. Eng. 2009, 198, 2911–2935. [Google Scholar] [CrossRef]
- Kandasamy, R.; Dimitri, R.; Tornabene, F. Numerical study on the free vibration and thermal buckling behavior of moderately thick functionally graded structures in thermal environments. Compos. Struct. 2016, 157, 207–221. [Google Scholar] [CrossRef]
- Čanađija, M.; Barretta, R.; Sciarra, F.M.D. On functionally graded timoshenko nonisothermal nanobeams. Compos. Struct. 2016, 135, 286–296. [Google Scholar] [CrossRef]
- Barretta, R.; Čanađija, M.; Feo, L.; Lucianod, R.; de Sciarraa, F.M.; Pennac, R. Exact solutions of inflected functionally graded nano-beams in integral elasticity. Compos. Part B 2018, 142, 273–286. [Google Scholar] [CrossRef]
- Rostami, J.; Pwt, T.; Fang, Z. Sparse and dispersion-based matching pursuit for minimizing the dispersion effect occurring when using guided wave for pipe inspection. Materials 2017, 10, 622. [Google Scholar] [CrossRef] [PubMed]
- Chen, J.Y.; Guo, J.H.; Pan, E.N. Wave propagation in magneto-electro-elastic multilayered plates with nonlocal effect. J. Sound Vib. 2017, 400, 550–563. [Google Scholar] [CrossRef]
- Wang, L.G.; Rokhlin, S.I. Recursive geometric integrators for wave propagation in a functionally graded multilayered elastic medium. J. Mech. Phys. Solids 2004, 52, 2473–2506. [Google Scholar] [CrossRef]
- Pan, E.; Han, F. Exact solution for functionally graded and layered magneto-electro-elastic plates. Int. J. Eng. Sci. 2005, 43, 321–339. [Google Scholar] [CrossRef]
- Bhangale, R.K.; Ganesan, N. Free vibration of simply supported functionally graded and layered magneto-electro-elastic plates by finite element method. J. Sound Vib. 2006, 294, 1016–1038. [Google Scholar] [CrossRef]
- Wu, B.; Yu, J.G.; He, C.F. Wave propagation in non-homogeneous magneto-electro-elastic plates. J. Sound Vib. 2008, 317, 250–264. [Google Scholar]
- Cao, X.S.; Shi, J.P.; Jin, F. Lamb wave propagation in the functionally graded piezoelectric-piezomagnetic material plate. Acta Mech. 2012, 223, 1081–1091. [Google Scholar] [CrossRef]
- Singh, B.M.; Rokne, J. Propagation of SH waves in layered functionally gradient piezoelectric-piezomagnetic structures. Philos. Mag. 2013, 93, 1690–1700. [Google Scholar] [CrossRef]
- Xiao, D.L.; Han, Q.; Liu, Y.J.; Li, C. Guided wave propagation in an infinite functionally graded magneto-electro-elastic plate by the Chebyshev spectral element method. Compos. Struct. 2016, 153, 704–711. [Google Scholar] [CrossRef]
- Roshchupkin, D.; Ortega, L.; Snigirev, A.; Snigirev, I. X-ray imaging of the surface acoustic wave propagation in La3Ga5SiO14 crystal. Appl. Phys. Lett. 2013, 103, 154101. [Google Scholar] [CrossRef]
- Glushkov, E.; Glushkova, N.; Zhang, C.Z. Surface and pseudo-surface acoustic waves piezoelectrically excited in diamond-based structures. J. Appl. Phys. 2012, 112, 064911–064920. [Google Scholar] [CrossRef]
- Auld, B.A. Acoustic Fields and Waves in Solids, 2nd ed.; Krieger Publishing Company: Malabar, FL, USA, 1990. [Google Scholar]
- Lyon, R.H. Response of an elastic plate to localized driving forces. J. Acoust. Soc. Am. 1955, 27, 259–265. [Google Scholar] [CrossRef]
- Mindlin, R.D.; Medick, M.A. Extensional vibrations of elastic plates. J. Appl. Mech. 1959, 26, 561–569. [Google Scholar]
- Freedman, A. The vibration, with the Poisson ratio, of Lamb modes in a free plate, I: General spectra. J. Sound Vib. 1990, 137, 209–230. [Google Scholar] [CrossRef]
- Quintanilla, F.H.; Lowe, M.J.S.; Craster, R.V. Full 3D dispersion curve solutions for guided waves in generally anisotropic media. J. Sound Vib. 2016, 363, 545–559. [Google Scholar] [CrossRef]
- Yan, X.; Yuan, F.G. Conversion of evanescent Lamb waves into propagating waves via a narrow aperture edge. J. Acoust. Soc. Am. 2015, 137, 3523–3533. [Google Scholar] [CrossRef] [PubMed]
- Yan, X.; Yuan, F.G. A semi-analytical approach for SH guided wave mode conversion from evanescent into propagating. Ultrasonics 2018, 84, 430–437. [Google Scholar] [CrossRef] [PubMed]
- Chen, H.; Wang, J.; Du, J.K.; Yang, J. Propagation of shear-horizontal waves in piezoelectric plates of cubic crystals. Arch. Appl. Mec. 2016, 86, 517–528. [Google Scholar] [CrossRef]
- Datta, S.; Hunsinger, B.J. Analysis of surface waves using orthogonal functions. J. Appl. Phys. 1978, 49, 475–479. [Google Scholar] [CrossRef]
- Li, J.Y.; Dunn, M.L. Micromechanics of Magnetoelectroelastic Composite Materials: Average Fields and Effective Behavior. J. Intell. Mater. Syst. Struct. 1998, 9, 404–416. [Google Scholar] [CrossRef]
- Han, X.; Liu, G.R. Elastic waves in a functionally graded piezoelectric cylinder. Smart Mater. Struct. 2003, 12, 962–971. [Google Scholar] [CrossRef]
- Guo, Y.Q.; Chen, W.Q.; Zhang, Y.L. Guided wave propagation in multilayered piezoelectric structures. Sci. China Ser. G Phys. Mech. Astron. 2009, 52, 1094–1104. [Google Scholar] [CrossRef]
- Ezzin, H.; Amor, M.B.; Ghozlen, M.H.B. Propagation behavior of SH waves in layered piezoelectric/piezomagnetic plates. Acta Mech. 2017, 228, 1071–1081. [Google Scholar] [CrossRef]













| Materials | Property | ||||||||
| C11 | C12 | C13 | C22 | C23 | C33 | C44 | C55 | C66 | |
| Ba2TiO3 | 166 | 77 | 78 | 166 | 78 | 162 | 43 | 43 | 44.6 |
| CoFe2O4 | 286 | 173 | 170 | 286 | 170 | 269 | 45.3 | 45.3 | 46.5 |
| Property | |||||||||
| e15 | e24 | e31 | e32 | e33 | ∈11 | ∈22 | ∈33 | ρ | |
| Ba2TiO3 | 11.6 | 11.6 | −4.4 | −4.3 | 18.6 | 196 | 201 | 28 | 5.8 |
| CoFe2O4 | 0 | 0 | 0 | 0 | 0 | 0.8 | 0.8 | 0.93 | 5.3 |
| Property | |||||||||
| q15 | q24 | q31 | q32 | q33 | μ11 | μ22 | μ33 | ||
| Ba2TiO3 | 0 | 0 | 0 | 0 | 0 | 5 | 5 | 10 | |
| CoFe2O4 | 550 | 550 | 580.3 | 580.3 | 699.7 | −590 | −590 | 157 | |
| Material | Property | ||||||||
| C11 | C12 | C13 | C22 | C23 | C33 | C44 | C55 | C66 | |
| PZT-4 | 139 | 78 | 74 | 139 | 74 | 115 | 25.6 | 25.6 | 30.5 |
| Property | |||||||||
| e15 | e24 | e31 | e32 | e33 | ∈11 | ∈22 | ∈33 | ρ | |
| PZT-4 | 12.7 | 12.7 | −5.2 | −5.2 | 15.1 | 65 | 65 | 56 | 7.5 |
| M | Mode | |||||
|---|---|---|---|---|---|---|
| 1 | 2 | 3 | 4 | 5 | 6 | |
| 10 | 0.31308 +0.67653i | 0.32055 +1.23591i ™ | 0.16593 +1.87713i ™ | 0.33292 +2.58928i ™ | 0.34536 +3.14395i ™ | 0.24222 +3.74226i ™ |
| 11 | 0.31308 +0.67653i | 0.32055 +1.23591i ™ | 0.16593 +1.87713i ™ | 0.33184 +2.59041i | 0.34722 +3.14407i ™ | 0.24481 +3.73460i ™ |
| 12 | 0.31308 +0.67653i | 0.32055 +1.23591i ™ | 0.16593 +1.87713i ™ | 0.33063 +2.59061i | 0.35203 +3.14418i ™ | 0.25047 +3.72524i |
| 13 | 0.31308 +0.67653i | 0.32055 +1.23591i ™ | 0.16593 +1.87713i ™ | 0.33063 +2.59061i | 0.35211 +3.14436i ™ | 0.25504 +3.72496i ™ |
| 14 | 0.31308 +0.67653i | 0.32055 +1.23591i ™ | 0.16593 +1.87713i ™ | 0.33063 +2.59061i | 0.35211 +3.14436i ™ | 0.25561 +3.72471i ™ |
| 20 | 0.31308 +0.67653i | 0.32055 +1.23591i ™ | 0.16593 +1.87713i ™ | 0.33063 +2.59061i | 0.35211 +3.14436i ™ | 0.25561 +3.72471i ™ |
© 2018 by the authors. Licensee MDPI, Basel, Switzerland. This article is an open access article distributed under the terms and conditions of the Creative Commons Attribution (CC BY) license (http://creativecommons.org/licenses/by/4.0/).
Share and Cite
Zhang, X.; Li, Z.; Yu, J. The Computation of Complex Dispersion and Properties of Evanescent Lamb Wave in Functionally Graded Piezoelectric-Piezomagnetic Plates. Materials 2018, 11, 1186. https://doi.org/10.3390/ma11071186
Zhang X, Li Z, Yu J. The Computation of Complex Dispersion and Properties of Evanescent Lamb Wave in Functionally Graded Piezoelectric-Piezomagnetic Plates. Materials. 2018; 11(7):1186. https://doi.org/10.3390/ma11071186
Chicago/Turabian StyleZhang, Xiaoming, Zhi Li, and Jiangong Yu. 2018. "The Computation of Complex Dispersion and Properties of Evanescent Lamb Wave in Functionally Graded Piezoelectric-Piezomagnetic Plates" Materials 11, no. 7: 1186. https://doi.org/10.3390/ma11071186
APA StyleZhang, X., Li, Z., & Yu, J. (2018). The Computation of Complex Dispersion and Properties of Evanescent Lamb Wave in Functionally Graded Piezoelectric-Piezomagnetic Plates. Materials, 11(7), 1186. https://doi.org/10.3390/ma11071186

