Thermal Energy Storage of R1234yf, R1234ze, R134a and R32/MOF-74 Nanofluids: A Molecular Simulation Study
Abstract
1. Introduction
2. Materials and Methods
2.1. MD Computational Details
2.2. GCMC Computational Details
3. Results and Discussion
3.1. Thermodynamic Energy of MOF-74
3.2. Adsorption Isotherms
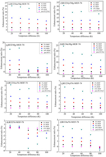
3.3. Thermal Energy Storage Properties of MOHCs
4. Conclusions
Author Contributions
Funding
Acknowledgments
Conflicts of Interest
Abbreviations
| ΔhMOHCs | The enthalpy change of MOHCs (kJ/kg) |
| ΔhFluid | The enthalpy change of pure organic fluid (kJ/kg) |
| Δhdesorption | The enthalpy of desorption (kJ/mol) |
| T | Temperature (K) |
| Cp | The heat capacity of MOFs (kJ/(mol·K)) |
| x | The mass fraction of MOFs particle in MOHCs |
| ρ | Density (g/cm3) |
Appendix A. Enthalpy of Desorption Calculated by GCMC Simulations
| MOHCs | 293 KSim | 313 KSim | 333 KSim | 353 KSim | 373 KSim | 393 KSim |
|---|---|---|---|---|---|---|
| R1234ze/Co | 128.19 | 127.90 | 127.03 | 127.26 | 127.10 | 126.84 |
| R1234yf/Co | 117.61 | 116.50 | 116.47 | 115.96 | 115.47 | 114.57 |
| R32/Co | 75.67 | 75.20 | 73.86 | 75.39 | 73.66 | 74.39 |
| R134a/Co | 124.93 | 123.61 | 123.31 | 123.14 | 123.03 | 122.40 |
| R1234ze/Mg | 279.73 | 279.42 | 278.58 | 278.25 | 277.57 | 276.74 |
| R1234yf/Mg | 235.72 | 234.14 | 237.97 | 233.39 | 230.97 | 230.39 |
| R32/Mg | 177.06 | 176.96 | 174.94 | 173.94 | 173.61 | 171.57 |
| R134a/Mg | 257.38 | 256.32 | 258.36 | 259.78 | 258.09 | 256.47 |
| R1234ze/Ni | 127.00 | 126.54 | 126.26 | 125.93 | 125.02 | 124.87 |
| R1234yf/Ni | 116.32 | 115.67 | 115.37 | 115.01 | 114.14 | 113.70 |
| R32/Ni | 76.00 | 75.89 | 75.64 | 75.59 | 74.41 | 71.17 |
| R134a/Ni | 123.42 | 123.42 | 123.09 | 122.68 | 122.48 | 122.20 |
| R1234ze/Zn | 128.18 | 127.67 | 127.28 | 126.82 | 126.11 | 125.84 |
| R1234yf/Zn | 117.87 | 117.37 | 117.21 | 116.61 | 115.99 | 115.39 |
| R32/Zn | 116.89 | 116.58 | 116.27 | 114.68 | 114.06 | 115.62 |
| R134a/Zn | 155.11 | 153.91 | 153.90 | 153.87 | 153.45 | 152.49 |
References
- Chan, C.W.; Ling-Chin, J.; Roskilly, A.P. A review of chemical heat pumps, thermodynamic cycles and thermal energy storage technologies for low grade heat utilisation. Appl. Therm. Eng. 2013, 50, 1257–1273. [Google Scholar] [CrossRef]
- Yamamoto, T.; Furuhata, T.; Arai, N.; Mori, K. Design and testing of the Organic Rankine Cycle. Energy 2001, 26, 239–251. [Google Scholar] [CrossRef]
- McGrail, B.P.; Thallapally, P.K.; Blanchard, J.; Nune, S.K.; Jenks, J.J.; Dang, L.X. Metal-organic heat carrier nanofluids. Nano Energy 2013, 2, 845–855. [Google Scholar] [CrossRef]
- Li, Q.; Yu, Y.; Liu, Y.; Liu, C.; Lin, L. Thermal properties of the mixed n-octadecane/Cu nanoparticle nanofluids during phase transition: A molecular dynamics study. Materials 2017, 10, 38. [Google Scholar] [CrossRef] [PubMed]
- Xuan, Y.; Li, Q. Heat transfer enhancement of nanofluids. Int. J. Heat Fluid Flow 2000, 21, 58–64. [Google Scholar] [CrossRef]
- Celen, A.; Cebi, A.; Aktas, M.; Mahian, O.; Dalkilic, A.S.; Wongwises, S. A review of nanorefrigerants: Flow characteristics and applications. Int. J. Refrig. 2014, 44, 125–140. [Google Scholar] [CrossRef]
- Milanese, M.; Iacobazzi, F.; Colangelo, G.; Risi, A.D. An investigation of layering phenomenon at the liquid-solid interface in Cu and CuO based nanofluids. Int. J. Heat Mass Transf. 2016, 103, 564–571. [Google Scholar] [CrossRef]
- Iacobazzi, F.; Milanese, M.; Colangelo, G.; Lomascolo, M.; Risi, A.D. An explanation of the Al2O3 nanofluid thermal conductivity based on the phonon theory of liquid. Energy 2016, 116, 786–794. [Google Scholar] [CrossRef]
- James, S.L. Metal-organic frameworks. Chem. Soc. Rev. 2003, 32, 276–288. [Google Scholar] [CrossRef] [PubMed]
- Henninger, S.K.; Habib, H.A.; Janiak, C. MOFs as adsorbents for low temperature heating and cooling applications. J. Am. Chem. Soc. 2009, 131, 2776–2777. [Google Scholar] [CrossRef] [PubMed]
- Murray, L.J.; Dincă, M.; Long, J.R. Hydrogen storage in metal–organic frameworks. Chem. Soc. Rev. 2009, 38, 1294–1314. [Google Scholar] [CrossRef] [PubMed]
- Li, J.R.; Sculley, J.; Zhou, H.C. Metal-organic frameworks for separations. Chem. Rev. 2012, 112, 869–932. [Google Scholar] [CrossRef] [PubMed]
- Getman, R.B.; Bae, Y.S.; Wilmer, C.E.; Snurr, R.Q. Review and analysis of molecular simulations of methane, hydrogen, and acetylene storage in metal-organic frameworks. Chem. Rev. 2012, 112, 703–723. [Google Scholar] [CrossRef] [PubMed]
- Cavallini, A.; Censi, G.; Del Col, D.; Doretti, L.; Longo, G.A.; Rossetto, L. Experimental investigation on condensation heat transfer and pressure drop of new HFC refrigerants (R134a, R125, R32, R410A, R236ea) in a horizontal smooth tube. Int. J. Refrig. 2001, 24, 73–87. [Google Scholar] [CrossRef]
- Steven Brown, J.; Yana-Motta, S.F.; Domanski, P.A. Comparitive analysis of an automotive air conditioning systems operating with CO2 and R134a. Int. J. Refrig. 2002, 25, 19–32. [Google Scholar] [CrossRef]
- Fouad, W.A.; Vega, L.F. Next generation of low global warming potential refrigerants: Thermodynamic properties molecular modeling. AIChE J. 2018, 64, 250–262. [Google Scholar] [CrossRef]
- Molés, F.; Navarro-Esbrí, J.; Peris, B.; Mota-Babiloni, A.; Barragán-Cervera, Á. Theoretical energy performance evaluation of different single stage vapour compression refrigeration configurations using R1234yf and R1234ze(E) as working fluids. Int. J. Refrig. 2014, 44, 141–150. [Google Scholar] [CrossRef]
- Yataganbaba, A.; Kilicarslan, A.; Kurtbaş, İ. Exergy analysis of R1234yf and R1234ze as R134a replacements in a two evaporator vapour compression refrigeration system. Int. J. Refrig. 2015, 60, 26–37. [Google Scholar] [CrossRef]
- Janković, Z.; Sieres Atienza, J.; Martínez Suárez, J.A. Thermodynamic and heat transfer analyses for R1234yf and R1234ze(E) as drop-in replacements for R134a in a small power refrigerating system. Appl. Therm. Eng. 2015, 80, 42–54. [Google Scholar] [CrossRef]
- Deethayat, T.; Kiatsiriroat, T.; Thawonngamyingsakul, C. Performance analysis of an organic Rankine cycle with internal heat exchanger having zeotropic working fluid. Case Stud. Therm. Eng. 2015, 6, 155–161. [Google Scholar] [CrossRef]
- Barse, K.A.; Mann, M.D. Maximizing ORC performance with optimal match of working fluid with system design. Appl. Therm. Eng. 2016, 100, 11–19. [Google Scholar] [CrossRef]
- Ding, Y.; Liu, C.; Zhang, C.; Xu, X.; Li, Q.; Mao, L. Exergoenvironmental model of Organic Rankine Cycle system including the manufacture and leakage of working fluid. Energy 2018, 145, 52–64. [Google Scholar] [CrossRef]
- Li, Q.; Xiao, Y.; Shi, X.; Song, S. Rapid evaporation of water on graphene/graphene-oxide: A molecular dynamics study. Nanomaterials 2017, 7, 265. [Google Scholar] [CrossRef] [PubMed]
- National Institute of Standards and Technology (NIST). Thermophysical Properties of Fluid Systems. Available online: http://webbook.nist.gov/chemistry/fluid/ (accessed on 18 May 2018).
- BIOVIA. Materials Studio; Accelrys Software Inc.: San Diego, CA, USA, 2010. [Google Scholar]
- Sun, H. COMPASS: An ab initio force-field optimized for condensed-phase applications overview with details on alkane and benzene compounds. J. Phys. Chem. B 1998, 102, 7338–7364. [Google Scholar] [CrossRef]
- Ewald, P.P. Die Berechnung optischer und elektrostatischer Gitterpotentiale. Ann. Phys. 1921, 369, 253–287. [Google Scholar] [CrossRef]
- Britt, D.; Furukawa, H.; Wang, B.; Grant Glover, T.; Yaghi, O.M. Highly efficient separation of carbon dioxide by a metal-organic framework replete with open metal sites. Proc. Natl. Acad. Sci. USA 2009, 106, 20637–20640. [Google Scholar] [CrossRef] [PubMed]
- Hu, J.; Liu, C.; Li, Q.; Shi, X. Molecular simulation of thermal energy storage of mixed CO2/IRMOF-1 nanoparticle nanofluid. Int. J. Heat Mass Transf. 2018, 125, 1345–1348. [Google Scholar] [CrossRef]
- Mu, B.; Walton, K.S. Thermal analysis and heat capacity study of metal–organic frameworks. J. Phys. Chem. C 2011, 115, 22748–22754. [Google Scholar] [CrossRef]
- Liu, L.; Bhatia, S.K. Molecular simulation of CO2 adsorption in the presence of water in single-walled carbon nanotubes. J. Phys. Chem. C 2013, 117, 13479–13491. [Google Scholar] [CrossRef]
- Liu, L.; Nicholson, D.; Bhatia, S.K. Adsorption of CH4 and CH4/CO2 mixtures in carbon nanotubes and disordered carbons: A molecular simulation study. Chem. Eng. Sci. 2015, 121, 268–278. [Google Scholar] [CrossRef]
- Pham, T.; Forrest, K.A.; Banerjee, R.; Orcajo, G.; Eckert, J.; Space, B. Understanding the H2 sorption trends in the M-MOF-74 series (M = Mg, Ni, Co, Zn). J. Phys. Chem. C 2014, 119, 1078–1090. [Google Scholar] [CrossRef]













© 2018 by the authors. Licensee MDPI, Basel, Switzerland. This article is an open access article distributed under the terms and conditions of the Creative Commons Attribution (CC BY) license (http://creativecommons.org/licenses/by/4.0/).
Share and Cite
Hu, J.; Liu, C.; Liu, L.; Li, Q. Thermal Energy Storage of R1234yf, R1234ze, R134a and R32/MOF-74 Nanofluids: A Molecular Simulation Study. Materials 2018, 11, 1164. https://doi.org/10.3390/ma11071164
Hu J, Liu C, Liu L, Li Q. Thermal Energy Storage of R1234yf, R1234ze, R134a and R32/MOF-74 Nanofluids: A Molecular Simulation Study. Materials. 2018; 11(7):1164. https://doi.org/10.3390/ma11071164
Chicago/Turabian StyleHu, Jieyao, Chao Liu, Lang Liu, and Qibin Li. 2018. "Thermal Energy Storage of R1234yf, R1234ze, R134a and R32/MOF-74 Nanofluids: A Molecular Simulation Study" Materials 11, no. 7: 1164. https://doi.org/10.3390/ma11071164
APA StyleHu, J., Liu, C., Liu, L., & Li, Q. (2018). Thermal Energy Storage of R1234yf, R1234ze, R134a and R32/MOF-74 Nanofluids: A Molecular Simulation Study. Materials, 11(7), 1164. https://doi.org/10.3390/ma11071164
