An Approach for Measuring the Dielectric Strength of OLED Materials
Abstract
1. Introduction
2. Experimental Section
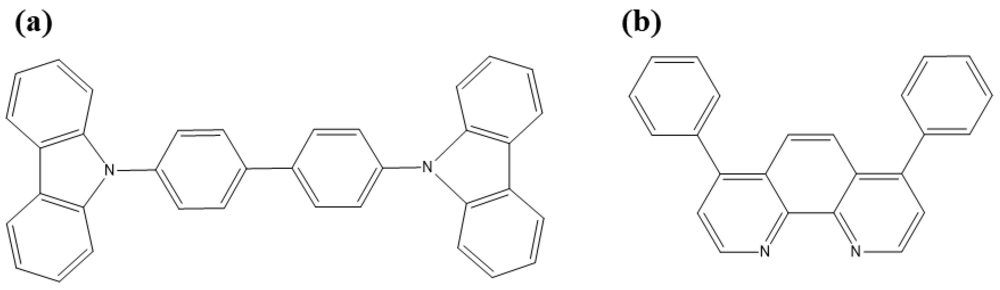
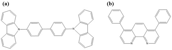
2.1. Materials
2.2. Device Fabrication
3. Measurements
4. Result and Discussion
5. Conclusions
Supplementary Materials
Author Contributions
Acknowledgments
Conflicts of Interest
References
- Tang, C.W.; VanSlyke, S.A. Organic electroluminescent diodes. Appl. Phys. Lett. 1987, 51, 913–915. [Google Scholar] [CrossRef]
- D’Andrade, B.W.; Forrest, S.R. White Organic Light-Emitting Devices for Solid-State Lighting. Adv. Mater. 2004, 16, 1585–1595. [Google Scholar] [CrossRef]
- Jou, J.H.; Kumar, S.; Agrawal, A.; Li, T.H.; Sahoo, S. Approaches for fabricating high efficiency organic light emitting diodes. J. Mater. Chem. C 2015, 3, 2974–3002. [Google Scholar] [CrossRef]
- Dubey, D.K.; Tung, F.C.; Liu, S.H.; Song, W.C.; Singh, M.; Sahoo, S.; Lai, S.H.; Jou, J.H. P–214: Flexible white organic light emitting diode via solution process. SID Symp. Dig. Tech. Pap. 2017, 48, 2025–2027. [Google Scholar] [CrossRef]
- Dubey, D.K.; Singh, M.; Sahoo, S.; Jou, J.H. Simple-structured efficient white organic light emitting diode via solution process. Microelectron. Reliab. 2018, 83, 293–296. [Google Scholar] [CrossRef]
- Dubey, D.K.; Yadav, R.A.K.; Tavgeniene, D.; Grigalevicius, S.; Jou, J.H. Crosslinkable hole-transporting small molecule as a mixed host for efficient solution-processed red organic light emitting diodes. Thin Solid Films 2018. [Google Scholar] [CrossRef]
- Wu, Z.; Ma, D. Recent advances in white organic light-emitting diodes. Mater. Sci. Eng. R Rep. 2016, 107, 1–42. [Google Scholar] [CrossRef]
- Zhao, F.; Ma, D. Approaches to high performance white organic light-emitting diodes for general lighting. Mater. Chem. Front. 2017, 1, 1933–1950. [Google Scholar] [CrossRef]
- Jou, J.H.; Swayamprabha, S.S.; Yadav, R.A.K.; Dubey, D.K. Nano-Structures Enabling Sunlight and Candlelight-Style OLEDs. J. Nanomater. Mol. Nanotechnol. 2018, 7. [Google Scholar] [CrossRef]
- Borchardt, J.K. Developments in organic displays. Mater. Today 2004, 7, 42–46. [Google Scholar] [CrossRef]
- Thejokalyani, N.; Dhoble, S.J. Importance of Eco-friendly OLED Lighting. Defect Diffus. Forum 2014, 357, 1–27. [Google Scholar] [CrossRef]
- Scholz, S.; Kondakov, D.; Lüssem, B.; Leo, K. Degradation Mechanisms and Reactions in Organic Light-Emitting Devices. Chem. Rev. 2015, 115, 8449–8503. [Google Scholar] [CrossRef] [PubMed]
- Park, J.W.; Lee, J.H. Heat dissipation property of cover glasses with heat sink films for transparent organic light-emitting diodes. Semicond. Sci. Technol. 2014, 29. [Google Scholar] [CrossRef]
- Liu, G.; Kerr, J.B.; Johnson, S. Dark spot formation relative to ITO surface roughness for polyfluorene devices. Synth. Matter 2004, 144, 1–6. [Google Scholar] [CrossRef]
- Nguyen, T.P.; Tran, V.H.; Massardier, V. Electrical conduction in poly (phenyleneviny1ene) thin films. J. Phys. Condens. Matter 1993, 5, 6243–6252. [Google Scholar] [CrossRef]
- Li, Y.; Gao, J.; Yu, G.; Cao, Y.; Heeger, A.J. ac impedance of polymer light-emitting electrochemical cells and light-emitting diodes: A comparative study. Chem. Phys. Lett. 1998, 287, 83–88. [Google Scholar] [CrossRef]
- Wang, F.; Liu, S.; Zhang, C. The dielectric constant of materials effect the property of the OLED. Microelectron. J. 2007, 38, 259–261. [Google Scholar] [CrossRef]
- Ohta, S.; Chuman, T.; Miyaguchi, S.; Satoh, H.; Tanabe, T.; Okuda, Y.; Tsuchida, M. Active Matrix Driving Organic Light-Emitting Diode Panel Using Organic Thin-Film Transistors. Jpn. J. Appl. Phys. 2005, 44, 3678–3681. [Google Scholar] [CrossRef]
- Ahn, J.H.; Lee, H.S.; Seo, D.S.; Jang, K.U.; Lee, W.J.; Kim, T.W. Dielectric properties depending on frequency in organic light-emitting diodes. Thin Solid Films 2008, 516, 2626–2629. [Google Scholar] [CrossRef]
- Kim, H.K.; Shi, F.G. Thickness Dependent Dielectric Strength of a Low-permittivity Dielectric Film. IEEE Trans. Dielectr. Electr. Insul. 2001, 8, 248–252. [Google Scholar] [CrossRef]
- Calculating the Dielectric Strength of Material. Available online: https://www.buckleysinternational.com/pages/calculating-dielectric-stength (accessed on 8 June 2018).
- Juhasz, P.; Nevrela, J.; Micjan, M.; Novota, M.; Uhrik, J.; Stuchlikova, L.; Jakabovic, J.; Harmatha, L.; Weis, M. Charge injection and transport properties of an organic light-emitting diode. Beilstein J. Nanotechnol. 2016, 7, 47–52. [Google Scholar] [CrossRef] [PubMed]
- Naka, S.; Okada, H.; Onnagawa, H.; Tsutsui, T. High electron mobility in bathophenanthroline. Appl. Phys. Lett. 2000, 76, 197–199. [Google Scholar] [CrossRef]
- Pereira, A.; Conte, G.; Gallardo, H.; Zucco, C.; Quirino, W.G.; Legnani, C.; Cremona, M.; Bechtold, I.H. OLEDs based on an europium(III) complex: {Tris(thenoyltrifluoroacetonate)-[1,2,5]-thiadiazolo[3,4-f][1,10]phenanthroline} europium(III). J. SID 2011, 793–797. [Google Scholar] [CrossRef]
- Jou, J.H.; Kumar, S.; Singh, M.; Chen, Y.H.; Chen, C.C.; Lee, M.T. Carrier Modulation Layer-Enhanced Organic Light-Emitting Diodes. Molecules 2015, 20, 13005–13030. [Google Scholar] [CrossRef] [PubMed]
- Sahoo, S.; Dubey, D.K.; Singh, M.; Joseph, V.; Thomas, K.R.J.; Jou, J.H. Highly efficient deep-blue organic light emitting diode with a carbazole based fluorescent emitter. Jpn. J. Appl. Phys. 2018, 57. [Google Scholar] [CrossRef]
- Ulmeanu, M.; Serghei, A.; Mihailescu, I.N.; Budau, P.; Enachescu, M. C Ni amorphous multilayers studied by atomic force microscopy. Appl. Surf. Sci. 2000, 165, 109–115. [Google Scholar] [CrossRef]







| Organic Material | Anode | Breakdown Voltage (V) | Calculated Dielectric Strength (MV/cm) |
|---|---|---|---|
| CBP | ITO | 3.90 | 0.32 |
| CBP | Al | 6.20 | 0.52 |
| Bphen | ITO | 7.52 | 0.63 |
| Bphen | Al | 13.80 | 1.15 |
© 2018 by the authors. Licensee MDPI, Basel, Switzerland. This article is an open access article distributed under the terms and conditions of the Creative Commons Attribution (CC BY) license (http://creativecommons.org/licenses/by/4.0/).
Share and Cite
Sudheendran Swayamprabha, S.; Kumar Dubey, D.; Song, W.-C.; Lin, Y.-T.; Ashok Kumar Yadav, R.; Singh, M.; Jou, J.-H. An Approach for Measuring the Dielectric Strength of OLED Materials. Materials 2018, 11, 979. https://doi.org/10.3390/ma11060979
Sudheendran Swayamprabha S, Kumar Dubey D, Song W-C, Lin Y-T, Ashok Kumar Yadav R, Singh M, Jou J-H. An Approach for Measuring the Dielectric Strength of OLED Materials. Materials. 2018; 11(6):979. https://doi.org/10.3390/ma11060979
Chicago/Turabian StyleSudheendran Swayamprabha, Sujith, Deepak Kumar Dubey, Wei-Chi Song, You-Ting Lin, Rohit Ashok Kumar Yadav, Meenu Singh, and Jwo-Huei Jou. 2018. "An Approach for Measuring the Dielectric Strength of OLED Materials" Materials 11, no. 6: 979. https://doi.org/10.3390/ma11060979
APA StyleSudheendran Swayamprabha, S., Kumar Dubey, D., Song, W.-C., Lin, Y.-T., Ashok Kumar Yadav, R., Singh, M., & Jou, J.-H. (2018). An Approach for Measuring the Dielectric Strength of OLED Materials. Materials, 11(6), 979. https://doi.org/10.3390/ma11060979

