Investigating Effects of Fused-Deposition Modeling (FDM) Processing Parameters on Flexural Properties of ULTEM 9085 using Designed Experiment
Abstract
:1. Introduction
- ✓
- The current study makes use of the full factorial design of an experiment in which all possible combinations of the factors are investigated instead of using other types of design that miss some of the factors combinations.
- ✓
- This study investigates the flexural property of the ULTEM 9085 material that is relatively new and has not been explored enough, unlike most of the existing literature that has focused on tensile and compressive properties of few known thermoplastics such as acrylonitrile butadiene styrene (ABS), polycarbonate (PC) and polylactic acid (PLA).
- ✓
- This study considered five FDM processing parameters unlike most other literatures that considered only few parameters. Moreover, this study considered one new parameter, contour width, which (to the authors’ knowledge) has not been considered in almost all of the existing literature.
2. Review of Previous Work
3. Materials and Methods
3.1. Material and Additive Manufacturing (AM) Machine
3.2. Process Parameters and Sample Preparation
- Raster width: this is the width of the material bead used for rasters.
- Raster angle: this is the angle measured from the X-axis (horizontal axis) of a layer to a raster.
- Contour number: this is the number of closed toolpaths that follow the outline of a region of a part.
- Contour width: this is the width of the material bead used for contours. This parameter was not included in the previous studies reported in the introduction section. This could be due to the assumption that the road width for raster and contour can have a similar effect on the properties of the materials.
3.3. Design of Experiment
3.4. Experimental Procedures and Setup
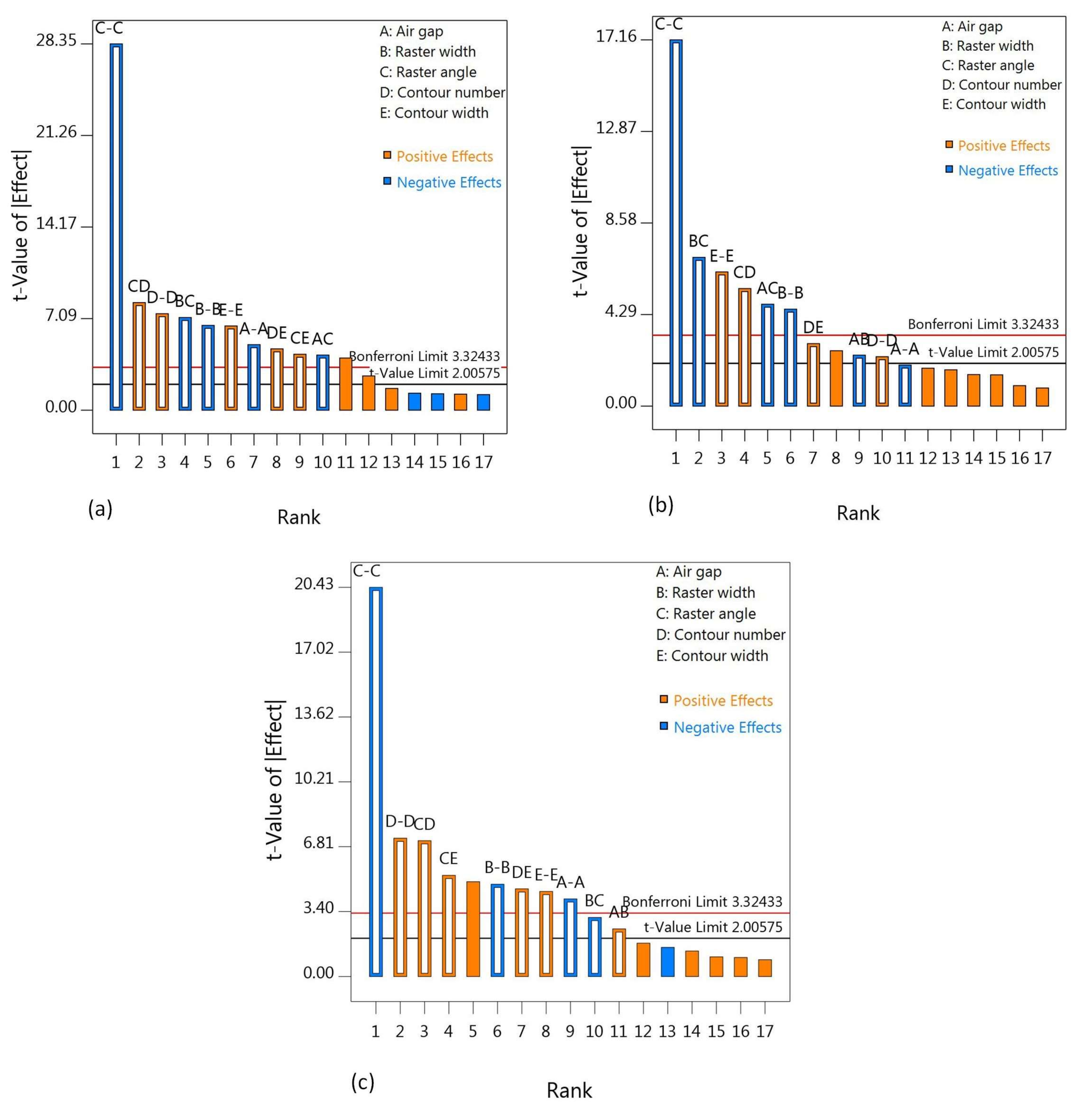
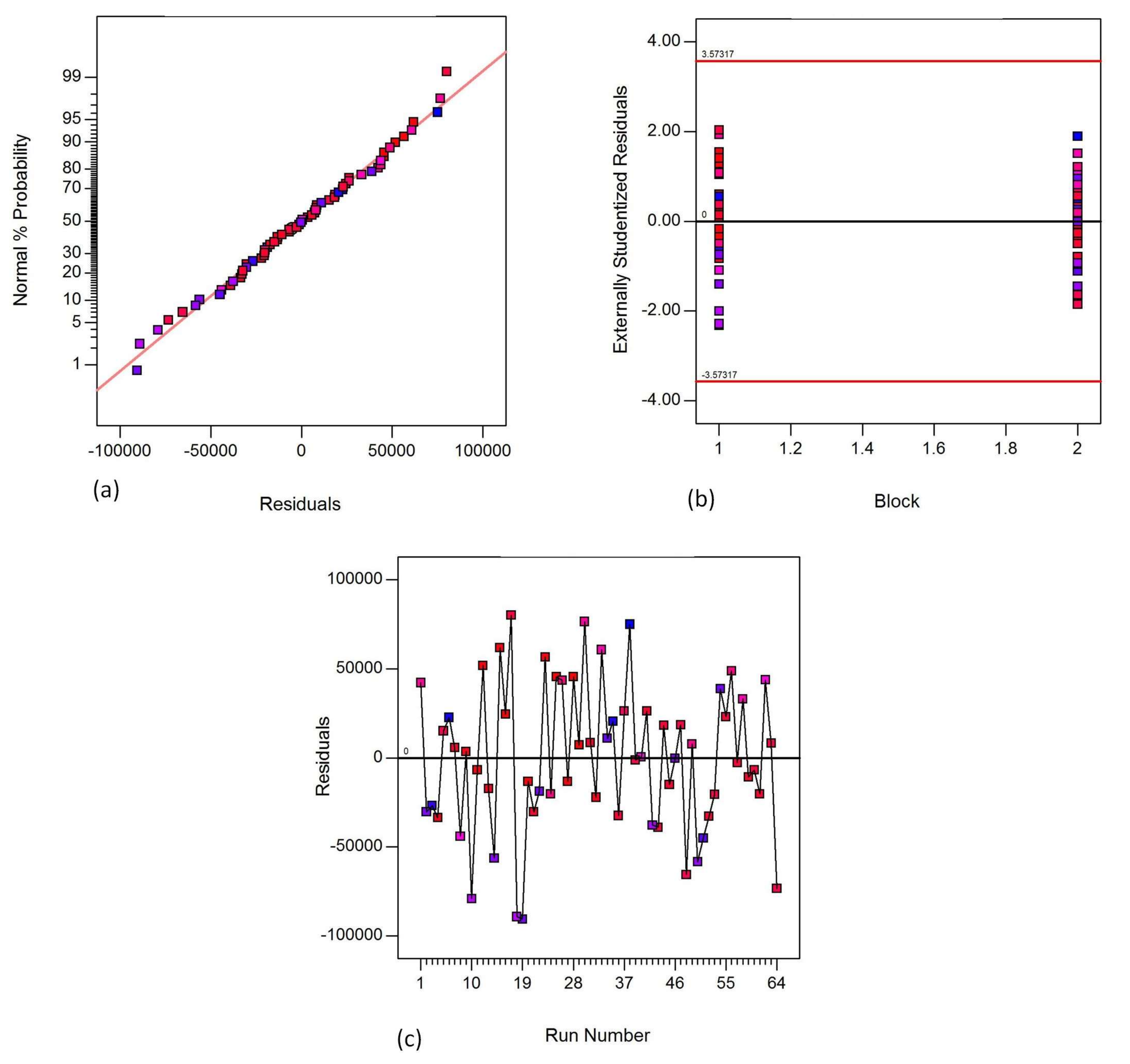
4. Results and Discussion
4.1. Effect of Air Gap
4.2. Effect of Raster Width
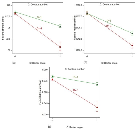
4.3. Effect of Raster Angle
4.4. Effect of Contour Number
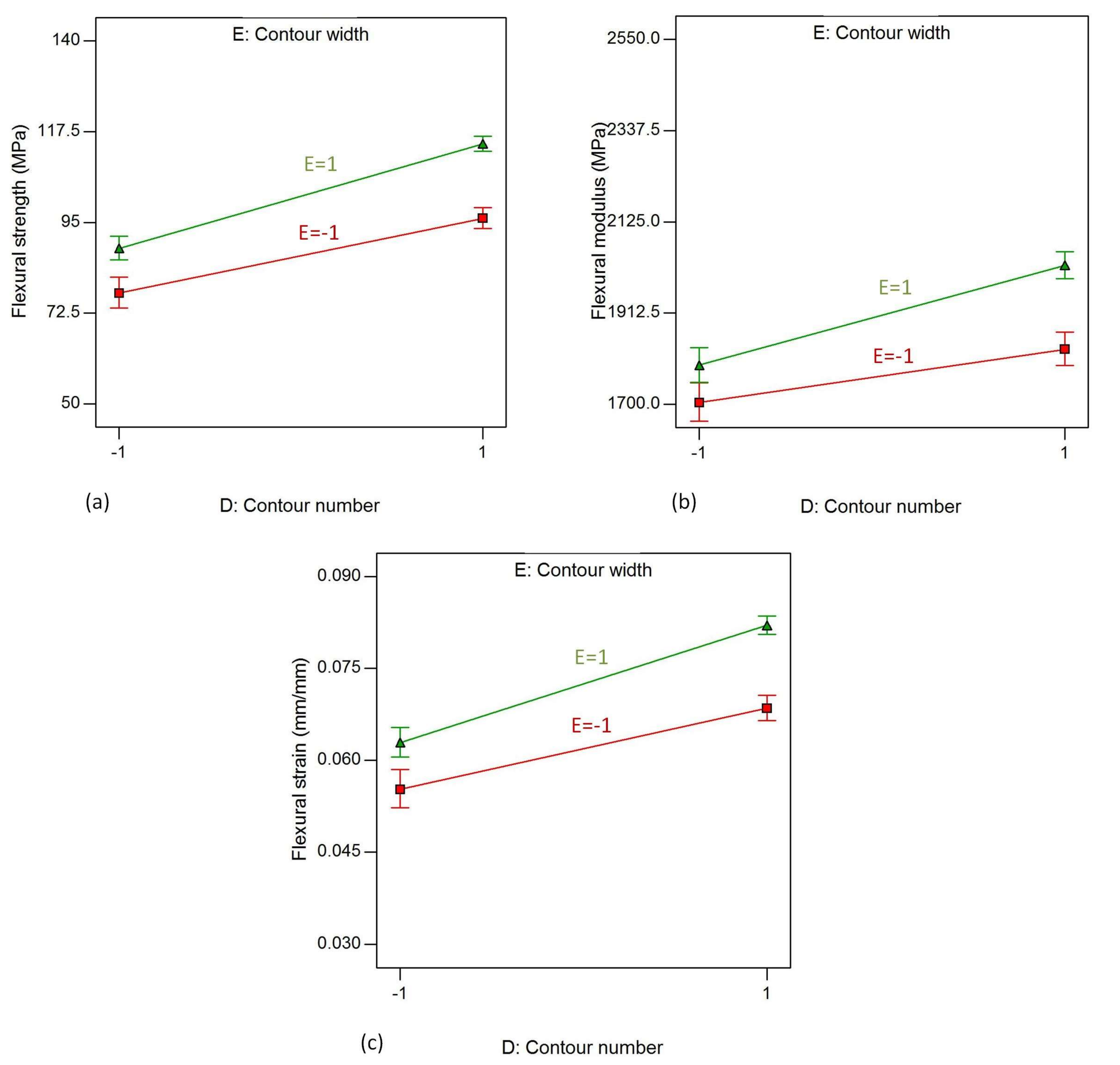
4.5. Effect of Contour Width
4.6. Interaction Effects
4.7. Optimization of Process Parameters
5. Conclusions
- The FDM process is a complex additive manufacturing technology with different processing parameters of conflicting effects. These parameters have their own advantages and disadvantages in respect of the flexural properties of the material.
- All the considered parameters have importance and effects, especially when the parts are produced with a raster angle other than 0°. When the raster angle is 0°, the effects of the parameters are less visible and less important.
- From the investigation, the effect of the factors can be arranged as most important (raster angle and raster width), important (contour number and contour width) and less important (air gap).
- Maximum responses are registered for the parameter combination of low-level air gap (−0.0254 mm), high-level raster width (0.7814 mm), low-level raster angle (0°), low level of contour number (one) and high level of contour width (0.7814 mm). Moreover, the minimum response is registered for high-level air gap (0.0000 mm), high-level raster width (0.7814 mm), high-level raster angle (90°), low level of contour number (one) and low level of contour width (0.4064 mm).
- Alhough many reports recommend a minus air gap, with some restrictions for ABS material, this study concludes that the disadvantage of the air gap is bigger than its advantage, and its effect can differ between two different materials. Thus, the use of a minus air gap for ULTEM 9085 material is not recommended.
- The optimal levels of parameters achieved are 0.000 mm air gap, 0.7814 mm raster width, 0° raster angle, contour number of 5, and 0.7814 mm contour width, resulting in flexural strength of 126.996 MPa, flexural modulus of 2399.803 MPa, and 0.081 flexural strain.
Acknowledgments
Author Contributions
Conflicts of Interest
References
- ASTM International. ASTM Committee F42 on Additive Manufacturing Technologies, Subcommittee F42. 91 on Terminology; Standard Terminology for Additive Manufacturing Technologies; ASTM International: West Conshohocken, PA, USA, 2012. [Google Scholar]
- Attaran, M. The rise of 3-D printing: The advantages of additive manufacturing over traditional manufacturing. Bus. Horiz. 2017, 60, 677–688. [Google Scholar] [CrossRef]
- Chacón, J.M.; Caminero, M.A.; García-Plaza, E.; Núñez, P.J. Additive manufacturing of 3D-printed PLA structures using fused deposition modelling: Effect of process parameters on mechanical properties and optimal selection. Mater. Des. 2017, 124, 143–157. [Google Scholar] [CrossRef]
- Mohamed, O.A.; Masood, S.H.; Bhowmik, J.L.; Nikzad, M.; Azadmanjiri, J. Effect of process parameters on dynamic mechanical performance of fdm PC/ABS printed parts through design of experiment. J. Mater. Eng. Perform. 2016, 25, 2922–2935. [Google Scholar] [CrossRef]
- Ahn, S.H.; Montero, M.; Odell, D.; Roundy, S.; Wright, P.K. Anisotropic material properties of fused deposition modeling ABS. Rapid Prototyp. J. 2002, 8, 248–257. [Google Scholar] [CrossRef]
- Wu, W.; Geng, P.; Li, G.; Zhao, D.; Zhang, H.; Zhao, J. Influence of layer thickness and raster angle on the mechanical properties of 3D-printed PEEK and a comparative mechanical study between PEEK and ABS. Materials 2015, 8, 5834–5846. [Google Scholar] [CrossRef] [PubMed]
- Deng, X.; Zeng, Z.; Peng, B.; Yan, S.; Ke, W. Mechanical properties optimization of poly-ether-ether-ketone via fused deposition modeling. Materials 2018, 11, 216. [Google Scholar] [CrossRef] [PubMed]
- Casavola, C.; Cazzato, A.; Moramarco, V.; Pappalettera, G. Residual stress measurement in fused deposition modelling parts. Polym. Test. 2017, 58, 249–255. [Google Scholar] [CrossRef]
- Onwubolu, G.C.; Rayegani, F. Characterization and optimization of mechanical properties of ABS parts manufactured by the fused deposition modelling process. Int. J. Manuf. Eng. 2014, 1–13. [Google Scholar] [CrossRef]
- Bagsik, A.; Schöppner, V.; Klemp, E. FDM Part Quality Manufactured with Ultem* 9085. In Proceedings of the 14th International Scientific Conference on Polymeric Materials, Halle (Saale), Germany, 15–17 September 2010; Volume 15, pp. 307–315. [Google Scholar]
- Bagsik, A.; Schöppner, V. Mechanical Properties of Fused Deposition Modeling Parts Manufactured with Ultem*9085. In Proceedings of the Society of Plastics Engineers ANTEC Conference, (Anaheim), Boston, MA, USA, 8–10 May 2011; pp. 1–5. [Google Scholar]
- Motaparti, K.P.; Taylor, G.; Leu, M.C.; Chandrashekhara, K.; Castle, J.; Matlack, M. Effects of Build Parameters on Compression Properties for ULTEM 9085 Parts by Fused Deposition Modeling. In Proceedings of the 27th Annual International Solid Freeform Fabrication Symposium, Austin, TX, USA, 8–10 August 2016. [Google Scholar]
- Christiyan, K.J.; Chandrasekhar, U.; Venkateswarlu, K. A study on the influence of process parameters on the Mechanical Properties of 3D printed ABS composite. IOP Conf. Ser. Mat. Sci. Eng. 2016, 114, 012109. [Google Scholar] [CrossRef]
- Motaparti, K.P.; Taylor, G.; Leu, M.C.; Chandrashekhara, K.; Castle, J.; Matlack, M. Experimental investigation of effects of build parameters on flexural properties in fused deposition modelling parts. Virtual Phys. Prototyp. 2017, 1–14. [Google Scholar] [CrossRef]
- Stratasys. Available online: http://www.stratasys.com/materials/fdm/ultem-9085 (accessed on 7 February 2018).
- Stratasys, Fortus 380MC and Fortus 450MC. Available online: http://www.stratasys.com/3d-printers/fortus-380mc-450mc (accessed on 13 March 2018).
- Akessa, A.D.; Lemu, H.G.; Gebisa, A.W. Mechanical Property Characterization of Additive Manufactured ABS Material Using Design of Experiment Approach. In Proceedings of the ASME 2017 International Mechanical Engineering Congress and Exposition, Tampa, FL, USA, 3–9 November 2017; p. V014T07A004. [Google Scholar] [CrossRef]
- Montero, M.; Roundy, S.; Odell, D.; Ahn, S.H.; Wright, P.K. Material characterization of fused deposition modeling (FDM) ABS by designed experiments. In Proceedings of the Rapid Prototyping & Manufacturing Conference, Cincinnati, OH, USA, 15–17 May 2001. [Google Scholar]
- Montgomery, D.C. The 2k Factorial Design. In Design and Analysis of Experiments, 8th ed.; John Wiley & Sons: Hoboken, NJ, USA, 2013; pp. 233–303. ISBN 978-1-118-14692-7. [Google Scholar]
- International Organization for Standardization. ISO Standard: ISO 178, Plastics-Determination of Flexural Properties; ISO: Geneva, Switzerland, 2010. [Google Scholar]
- International Organization for Standardization. ISO Standard: ISO 17296-3, Additive Manufacturing-General Principles-Part 3: Main Characteristics and Corresponding Test Methods; ISO: Geneva, Switzerland, 2014. [Google Scholar]
- Forster, A.M. Materials Testing Standards for Additive Manufacturing of Polymer Materials; Technical Report, NIST Interagency/Internal Report (NISTIR)–8059; National Institute of Standards and Technology (NIST): Gaithersburg, MD, USA, 2015. [Google Scholar]
- Dawoud, M.; Taha, I.; Ebeid, S.J. Mechanical behavior of ABS: An experimental study using FDM and injection moulding techniques. J. Manuf. Process. 2016, 21, 39–45. [Google Scholar] [CrossRef]
- Sood, A.K.; Ohdar, R.K.; Mahapatra, S.S. Parametric appraisal of mechanical property of fused deposition modelling processed parts. Mater. Des. 2010, 31, 287–295. [Google Scholar] [CrossRef]
- Design-Expert. Available online: http://www.statease.com/docs/v11/contents/optimization/optimization-overview.html (accessed on 7 February 2018).





















| Factors | Levels | |||
|---|---|---|---|---|
| Name | Units | Symbol | Low (−) | High (+) |
| Air gap | mm | A | −0.0254 | 0.0000 |
| Raster width | mm | B | 0.4064 | 0.7814 |
| Raster angle | degree | C | 0.0000 | 90.0000 |
| Contour number | - | D | 1.0000 | 5.0000 |
| Contour width | mm | E | 0.4064 | 0.7814 |
| Run Order | Standard Order | A | B | C | D | E | Flexural Strain at Maximum Flexural Strength (mm/mm) | Flexural Strength (MPa) | Flexural Modulus (MPa) |
|---|---|---|---|---|---|---|---|---|---|
| 32 | 1 | −1 | −1 | −1 | −1 | −1 | 0.08351 | 122.20 | 2232.5 |
| 16 | 2 | 1 | −1 | −1 | −1 | −1 | 0.08151 | 123.55 | 2351.00 |
| 29 | 3 | −1 | 1 | −1 | −1 | −1 | 0.08002 | 126.05 | 2389.00 |
| 13 | 4 | 1 | 1 | −1 | −1 | −1 | 0.08011 | 124.65 | 2385.50 |
| 30 | 5 | −1 | −1 | 1 | −1 | −1 | 0.06141 | 100.86 | 2108.50 |
| 14 | 6 | 1 | −1 | 1 | −1 | −1 | 0.04279 | 72.87 | 1991.50 |
| 22 | 7 | −1 | 1 | 1 | −1 | −1 | 0.04198 | 70.54 | 1948.50 |
| 6 | 8 | 1 | 1 | 1 | −1 | −1 | 0.03423 | 52.89 | 1650.00 |
| 31 | 9 | −1 | −1 | −1 | 1 | −1 | 0.08336 | 121.75 | 2232.00 |
| 15 | 10 | 1 | −1 | −1 | 1 | −1 | 0.08094 | 123.50 | 2294.50 |
| 23 | 11 | −1 | 1 | −1 | 1 | −1 | 0.08331 | 124.75 | 2241.00 |
| 7 | 12 | 1 | 1 | −1 | 1 | −1 | 0.07887 | 121.05 | 2281.50 |
| 24 | 13 | −1 | −1 | 1 | 1 | −1 | 0.07157 | 109.35 | 2146.50 |
| 8 | 14 | 1 | −1 | 1 | 1 | −1 | 0.05445 | 93.54 | 2098.50 |
| 18 | 15 | −1 | 1 | 1 | 1 | −1 | 0.04697 | 78.27 | 1946.50 |
| 2 | 16 | 1 | 1 | 1 | 1 | −1 | 0.04191 | 70.41 | 1875.50 |
| 28 | 17 | −1 | −1 | −1 | −1 | 1 | 0.08430 | 125.25 | 2304.50 |
| 12 | 18 | 1 | −1 | −1 | −1 | 1 | 0.07931 | 125.80 | 2390.50 |
| 25 | 19 | −1 | 1 | −1 | −1 | 1 | 0.08035 | 125.95 | 2429.50 |
| 9 | 20 | 1 | 1 | −1 | −1 | 1 | 0.07952 | 124.85 | 2372.50 |
| 26 | 21 | −1 | −1 | 1 | −1 | 1 | 0.06292 | 106.05 | 2207.00 |
| 10 | 22 | 1 | −1 | 1 | −1 | 1 | 0.04448 | 79.92 | 2137.50 |
| 19 | 23 | −1 | 1 | 1 | −1 | 1 | 0.03825 | 68.52 | 1995.00 |
| 3 | 24 | 1 | 1 | 1 | −1 | 1 | 0.03486 | 58.19 | 1690.00 |
| 27 | 25 | −1 | −1 | −1 | 1 | 1 | 0.08146 | 126.30 | 2345.50 |
| 11 | 26 | 1 | −1 | −1 | 1 | 1 | 0.08036 | 124.70 | 2384.50 |
| 20 | 27 | −1 | 1 | −1 | 1 | 1 | 0.08094 | 125.95 | 2333.50 |
| 4 | 28 | 1 | 1 | −1 | 1 | 1 | 0.08015 | 124.50 | 2389.50 |
| 21 | 29 | −1 | −1 | 1 | 1 | 1 | 0.08219 | 121.45 | 2306.50 |
| 5 | 30 | 1 | −1 | 1 | 1 | 1 | 0.07834 | 116.45 | 2249.00 |
| 17 | 31 | −1 | 1 | 1 | 1 | 1 | 0.07571 | 113.85 | 2223.50 |
| 1 | 32 | 1 | 1 | 1 | 1 | 1 | 0.07593 | 104.50 | 2106.0 |
| Source | Sum of Squares | Degree of Freedom | Mean Square | F Value | p-Value Prob > F | Remark |
|---|---|---|---|---|---|---|
| Flexural Strength (1) | ||||||
| Block | 5.74 × 1010 | 1 | 5.74 × 1010 | - | - | - |
| Model | 2.33 × 1012 | 10 | 2.33 × 1011 | 115.05 | <0.0001 | significant |
| A-A | 5.21 × 1010 | 1 | 5.21 × 1010 | 25.68 | <0.0001 | significant |
| B-B | 8.73 × 1010 | 1 | 8.73 × 1010 | 43.06 | <0.0001 | significant |
| C-C | 1.63 × 1012 | 1 | 1.63 × 1012 | 803.47 | <0.0001 | significant |
| D-D | 1.13 × 1011 | 1 | 1.13 × 1011 | 55.74 | <0.0001 | significant |
| E-E | 8.60 × 1010 | 1 | 8.60 × 1010 | 42.44 | <0.0001 | significant |
| AC | 3.69 × 1010 | 1 | 3.69 × 1010 | 18.18 | <0.0001 | significant |
| BC | 1.04 × 1011 | 1 | 1.04 × 1011 | 51.41 | <0.0001 | significant |
| CD | 1.40 × 1011 | 1 | 1.40 × 1011 | 69.26 | <0.0001 | significant |
| CE | 3.79 × 1010 | 1 | 3.79 × 1010 | 18.71 | <0.0001 | significant |
| DE | 4.56 × 1010 | 1 | 4.56 × 1010 | 22.5 | <0.0001 | significant |
| Residual | 1.05 × 1011 | 52 | 2.03 × 1009 | - | - | - |
| Cor Total | 2.50 × 1012 | 63 | - | - | - | - |
| Flexural Modulus (2) | ||||||
| Block | 1.97 × 1019 | 1 | 1.97 × 1019 | - | - | - |
| Model | 4.24 × 1020 | 10 | 4.24 × 1019 | 47.96 | <0.0001 | significant |
| A-A | 3.27 × 1018 | 1 | 3.27 × 1018 | 3.69 | 0.0602 | insignificant |
| B-B | 1.82 × 1019 | 1 | 1.82 × 1019 | 20.62 | <0.0001 | significant |
| C-C | 2.61 × 1020 | 1 | 2.61 × 1020 | 294.53 | <0.0001 | significant |
| D-D | 4.74 × 1018 | 1 | 4.74 × 1018 | 5.36 | 0.0246 | significant |
| E-E | 3.49 × 1019 | 1 | 3.49 × 1019 | 39.5 | <0.0001 | significant |
| AB | 5.03 × 1018 | 1 | 5.03 × 1018 | 5.69 | 0.0207 | significant |
| AC | 2.01 × 1019 | 1 | 2.01 × 1019 | 22.77 | <0.0001 | significant |
| BC | 4.295 × 1019 | 1 | 4.295 × 1019 | 48.55 | <0.0001 | significant |
| CD | 2.682 × 1019 | 1 | 2.682 × 1019 | 30.32 | <0.0001 | significant |
| DE | 7.58 × 1018 | 1 | 7.58 × 1018 | 8.57 | 0.0051 | significant |
| Residual | 4.60 × 1019 | 52 | 8.85 × 1017 | - | - | - |
| Cor Total | 4.90 × 1020 | 63 | ||||
| Flexural Strain (3) | ||||||
| Block | 1.75 × 10−13 | 1 | 1.75 × 10−13 | - | - | - |
| Model | 7.41 × 10−6 | 10 | 7.41 × 10−7 | 64.51 | <0.0001 | significant |
| A-A | 1.90 × 10−7 | 1 | 1.90 × 10−7 | 16.51 | 0.0002 | significant |
| B-B | 2.68 × 10−7 | 1 | 2.68 × 10−7 | 23.33 | <0.0001 | significant |
| C-C | 4.79 × 10−6 | 1 | 4.79 × 10−6 | 417.29 | <0.0001 | significant |
| D-D | 6.039 × 10−7 | 1 | 6.039 × 10−7 | 52.56 | <0.0001 | significant |
| E-E | 2.278 × 10−7 | 1 | 2.278 × 10−7 | 19.83 | <0.0001 | significant |
| AB | 7.14 × 10−8 | 1 | 7.14 × 10−8 | 6.22 | 0.0159 | significant |
| BC | 1.097 × 10−7 | 1 | 1.097 × 10−7 | 9.55 | 0.0032 | significant |
| CD | 5.821 × 10−7 | 1 | 5.821 × 10−7 | 50.67 | <0.0001 | significant |
| C E | 3.23 × 10−7 | 1 | 3.23 × 10−7 | 28.08 | <0.0001 | significant |
| DE | 2.42 × 10−7 | 1 | 2.42 × 10−7 | 21.07 | <0.0001 | significant |
| Residual | 5.97 × 10−7 | 52 | 1.15 × 10−8 | - | - | - |
| Cor Total | 8.01 × 10−6 | 63 | - | - | - | - |
| (1) R2 = 0.9568, Adjusted R2 = 0.9484, Predicted R2 = 0.9345, Adequate Precision = 34.576 | ||||||
| (2) R2 = 0.9022, Adjusted R2 = 0.8834, Predicted R2 = 0.8518, Adequate Precision = 24.531 | ||||||
| (3) R2 = 0.9254, Adjusted R2 = 0.9111, Predicted R2 = 0.8870, Adequate Precision = 24.099 | ||||||
| Name | Goal | Lower Limit | Upper Limit | Lower Weight | Higher Weight | Importance |
|---|---|---|---|---|---|---|
| Air gap | Is equal to 1 | −1 | +1 | 1 | 1 | 3 |
| Raster width | In range | −1 | +1 | 1 | 1 | 3 |
| Raster angle | In range | −1 | +1 | 1 | 1 | 3 |
| Contour number | In range | −1 | +1 | 1 | 1 | 3 |
| Contour width | In range | −1 | +1 | 1 | 1 | 3 |
| Flexural strength (MPa) | Maximize | 51.56 | 130.10 | 1 | 1 | 3 |
| Flexural modulus (MPa) | Maximize | 1621 | 2482 | 1 | 1 | 3 |
| Flexural strain | Maximize | 0.03116 | 0.08682 | 1 | 1 | 3 |
© 2018 by the authors. Licensee MDPI, Basel, Switzerland. This article is an open access article distributed under the terms and conditions of the Creative Commons Attribution (CC BY) license (http://creativecommons.org/licenses/by/4.0/).
Share and Cite
Gebisa, A.W.; Lemu, H.G. Investigating Effects of Fused-Deposition Modeling (FDM) Processing Parameters on Flexural Properties of ULTEM 9085 using Designed Experiment. Materials 2018, 11, 500. https://doi.org/10.3390/ma11040500
Gebisa AW, Lemu HG. Investigating Effects of Fused-Deposition Modeling (FDM) Processing Parameters on Flexural Properties of ULTEM 9085 using Designed Experiment. Materials. 2018; 11(4):500. https://doi.org/10.3390/ma11040500
Chicago/Turabian StyleGebisa, Aboma Wagari, and Hirpa G. Lemu. 2018. "Investigating Effects of Fused-Deposition Modeling (FDM) Processing Parameters on Flexural Properties of ULTEM 9085 using Designed Experiment" Materials 11, no. 4: 500. https://doi.org/10.3390/ma11040500
APA StyleGebisa, A. W., & Lemu, H. G. (2018). Investigating Effects of Fused-Deposition Modeling (FDM) Processing Parameters on Flexural Properties of ULTEM 9085 using Designed Experiment. Materials, 11(4), 500. https://doi.org/10.3390/ma11040500

