Carbon Nanotubes Reinforced Maleic Anhydride-Modified Xylan-g-Poly(N-isopropylacrylamide) Hydrogel with Multifunctional Properties
Abstract
:1. Introduction
2. Materials and Methods
2.1. Materials
2.2. Acid Treatment of Carbon Nanotubes
2.3. Preparation of Composite Hydrogels
2.4. Characterization
2.5. Photothermal Properties of Hydrogels
2.6. Shape Memory Effect of Hydrogels
3. Results and Discussion
3.1. Characterizations of AT-CNTs
3.2. Characterizations of Hydrogels
3.3. Equilibrium Swelling Ratio of Hydrogels
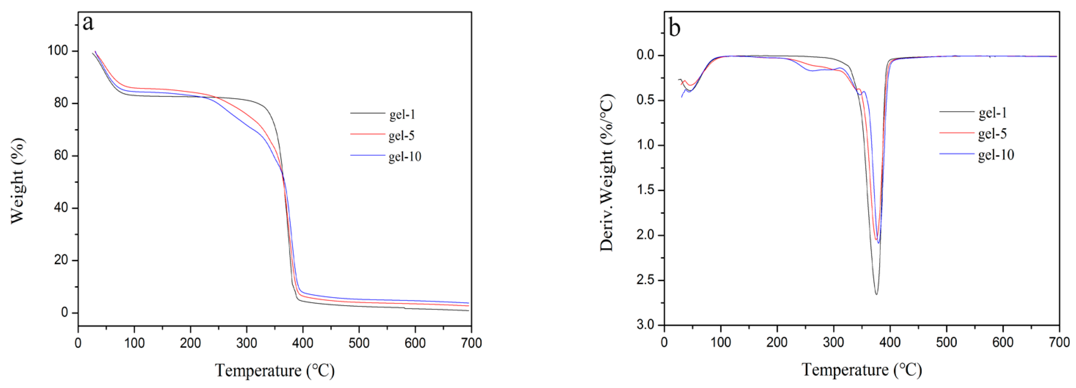
3.4. Thermal Stability of Hydrogels
3.5. Mechanical Properties of Hydrogels
3.6. Morphology of Hydrogels
3.7. Conductivity of Hydrogels
3.8. Photothermal Conversion of Hydrogel
3.9. Shape Memory Characterization of Hydrogel
4. Conclusions
Acknowledgments
Author Contributions
Conflicts of Interest
References
- Grodzinski, J.J. Polymeric gels and hydrogels for biomedical and pharmaceutical applications. Polym. Adv. Technol. 2010, 21, 27–47. [Google Scholar] [CrossRef]
- Liu, X.X.; Lin, Q.X.; Yan, Y.H.; Peng, F.; Sun, R.C.; Ren, J.L. Hemicellulose from plant biomass in medical and pharmaceutical application: A critical review. Curr. Med. Chem. 2017, 24. [Google Scholar] [CrossRef]
- Gao, C.D.; Ren, J.L.; Zhao, C.; Kong, W.Q.; Dai, Q.Q.; Chen, Q.F.; Liu, C.F.; Sun, R.C. Xylan-based temperature/pH sensitive hydrogels for drug controlled release. Carbohydr. Polym. 2016, 151, 189–197. [Google Scholar] [CrossRef] [PubMed]
- Dai, Q.Q.; Ren, J.L.; Peng, F.; Chen, X.F.; Gao, C.D.; Sun, R.C. Synthesis of acylated xylan-based magnetic Fe3O4 hydrogels and their application for H2O2 Detection. Materials 2016, 9, 690. [Google Scholar] [CrossRef] [PubMed]
- Cao, X.F.; Peng, X.W.; Zhong, L.X.; Sun, R.C. Multiresponsive Hydrogels based on xylan-type hemicelluloses and photoisomerized azobenzene copolymer as drug delivery carrier. J. Agric. Food Chem. 2014, 62, 10000–10007. [Google Scholar] [CrossRef] [PubMed]
- Shao, C.Y.; Chang, H.L.; Wang, M.; Xu, F.; Yang, J. High-strength, tough and self-healing nanocomposite physical hydrogels based on the synergistic effects of dynamic hydrogen bond and dual coordination bonds. ACS Appl. Mater. Interfaces 2017, 9, 28305–28318. [Google Scholar] [CrossRef] [PubMed]
- Zhao, L.; Huang, J.H.; Wang, T.; Sun, W.X.; Tong, Z. Multiple shape memory, self-healable, and super tough PAA-GO-Fe3+ hydrogel. Macromol. Mater. Eng. 2017, 302. [Google Scholar] [CrossRef]
- Wang, L.; Li, B.Q.; Xu, F.; Xu, Z.H.; Wei, D.Q.; Feng, Y.J.; Wang, Y.M.; Jia, D.C.; Zhou, Y. UV-crosslinkable and thermos-responsive chitosan hybrid for NIR-triggered localized on-demand drug delivery. Carbohydr. Polym. 2017, 174, 904–914. [Google Scholar] [CrossRef] [PubMed]
- Hosseinzadeh, H.; Ramin, S. Magnetic and Ph-responsive starch-g-poly(acrylic acid-co-acrylamide)/graphene oxide superabsorbent nanocomposites: One-pot synthesis, characterization, and swelling behavior. Starch-Starke 2016, 68, 200–212. [Google Scholar] [CrossRef]
- Kong, W.Q.; Huang, D.Y.; Xu, G.B.; Ren, J.L.; Liu, C.F.; Zhao, L.H.; Sun, R.C. Graphene oxide/polyacrylamide/Aluminum ion cross-linked carboxymethyl hemicellulose nanocomposite hydrogels with very tough and elastic properties. Chem.-Asian J. 2016, 11, 1697–1704. [Google Scholar] [CrossRef] [PubMed]
- Wang, Y.X.; Yan, J.Y.; Wang, Z.C.; Wu, J.N.; Meng, G.H.; Liu, Z.Y.; Guo, X.H. One-pot fabrication of triple-network structure hydrogels with high-strength and self-healing properties. Mater. Lett. 2017, 207, 53–56. [Google Scholar] [CrossRef]
- Duan, J.J.; Zhang, L.N. Robust and smart hydrogels based on natural polymers. Chin. J. Polym. Sci. 2017, 35, 1165–1180. [Google Scholar] [CrossRef]
- Rennie, E.A.; Scheller, H.V. Xylan biosynthesis. Curr. Opin. Biotechnol. 2014, 26, 100–107. [Google Scholar] [CrossRef] [PubMed]
- Ren, J.L.; Sun, R.C.; Liu, C.F. Etherification of hemicellulose from sugarcane bagasse. J. Appl. Polym. Sci. 2007, 105, 3301–3308. [Google Scholar] [CrossRef]
- Xu, F.; Jiang, J.X.; Sun, R.C.; She, D.; Peng, B.; Sun, J.X.; Kennedy, J.F. Rapid esterification of wheat straw hemicellulose induced by microwave irradiation. Carbohydr. Polym. 2008, 73, 612–620. [Google Scholar] [CrossRef] [PubMed]
- Zhang, X.Q.; Chen, M.J.; Wang, H.H.; Liu, C.F.; Zhang, A.P.; Sun, R.C. Characterization of xylan-graft-polycaprolactone copolymers prepared in ionic liquid. Ind. Eng. Chem. Res. 2015, 54, 6282–6290. [Google Scholar] [CrossRef]
- Peng, X.W.; Ren, J.L.; Sun, R.C. Homogeneous esterification of xylan-rich hemicelluloses with maleic anhydride in ionic liquid. Biomacromolecules 2010, 11, 3519–3524. [Google Scholar] [CrossRef] [PubMed]
- Kong, W.Q.; Gao, C.D.; Hu, S.F.; Ren, J.L.; Zhao, L.H.; Sun, R.C. Xylan-modified-based hydrogels with temperature/pH dual sensitivity and controllable drug delivery behavior. Materials 2017, 10, 304. [Google Scholar] [CrossRef] [PubMed]
- Tanodekaew, S.; Channasanon, S.; Uppanan, P. Xylan/polyvinyl alcohol blend and its performance as hydrogel. J. Appl. Polym. Sci. 2006, 100, 1914–1918. [Google Scholar] [CrossRef]
- Kang, Z.H.; Wang, E.B.; Mao, B.D.; Su, Z.M.; Chen, L.; Xu, L. Obtaining carbon nanotubes from grass. Nanotechnology 2005, 16, 1192–1195. [Google Scholar] [CrossRef]
- Sun, X.F.; Ye, Q.; Jing, Z.X.; Li, Y.J. Preparation of hemicellulose-g-poly(methacrylic acid)/carbon nanotube composite hydrogel and adsorption properties. Polym. Compos. 2014, 35, 45–52. [Google Scholar] [CrossRef]
- Yao, W.H.; Bae, K.J.; Jung, M.Y.; Cho, Y.R. Transparent, conductive, and superhydrophobic nanocomposite coatings on polymer substrate. J. Colloid Interface Sci. 2017, 506, 429–436. [Google Scholar] [CrossRef] [PubMed]
- Badakhsh, A.; Park, C.W. From morphology of attrited copper/MWCNT hybrid fillers to thermal and mechanical characteristics of their respective polymer-matrix composites: An analytical and experimental study. J. Appl. Polym. Sci. 2017, 134. [Google Scholar] [CrossRef]
- Gahlout, P.; Choudhary, V. 5-sulfoisophthalic acid monolithium salt doped polypyrrole/multiwalled carbon nanotubes composites for EMI shielding application in X-band (8.2–12.4 GHz). J. Appl. Polym. Sci. 2017, 134. [Google Scholar] [CrossRef]
- Feng, H.H.; Zheng, T.T.; Wang, X.Z.; Wang, H.L. Poly(acrylamide)-MWNTs hybrid hydrogel with extremely high mechanical strength. Open Chem. 2016, 14, 150–157. [Google Scholar] [CrossRef]
- Mashhadzadeh, A.H.; Fereidoon, A.; Ahangari, M.G. Surface modification of carbon nanotubes using 3-aminopropyltriethoxysilane to improve mechanical properties of nanocomposite based polymer matrix: Experimental and density functional theory study. Appl. Surf. Sci. 2017, 420, 167–179. [Google Scholar] [CrossRef]
- Jing, Z.X.; Zhang, G.C.; Sun, X.F.; Shi, X.T.; Sun, W.M. Preparation and adsorption properties of a novel superabsorbent based on multiwalled carbon nanotubes-xylan composite and poly(methacrylic acid) for methylene blue from aqueous solution. Polym. Compos. 2014, 35, 1516–1528. [Google Scholar] [CrossRef]
- Martínez, M.T.; Callejas, M.A.; Benito, A.M.; Cochet, M.; Seeger, T.; Ansón, A.; Schreiber, J.; Gordon, C.; Marhic, C.; Chauvet, O.; et al. Sensitivity of single wall carbon nanotubes to oxidative processing: Structural modification, intercalation and functionalization. Carbon 2003, 41, 2247–2256. [Google Scholar] [CrossRef]
- Sadri, R.; Hosseini, M.; Kazi, S.N.; Bagheri, S.; Zubir, N.; Solangi, K.H.; Zaharinie, T.; Badarudin, A. A bio-based facile approach for the preparation of covalently functionalized carbon nanotubes aqueous suspensions and their poteneial as heat transfer fluids. J. Colloid Interface Sci. 2017, 504, 115–123. [Google Scholar] [CrossRef] [PubMed]
- Li, T.; Zhang, C.Z.; Fan, X.X.; Li, Y.; Song, M.X. Degradation of oxidized multi-walled carbon nanotubes in water via photo-Fenton method and its degradation mechanism. Chem. Eng. J. 2017, 323, 37–46. [Google Scholar] [CrossRef]
- Kocyigit, A.; Orak, I.; Karteri, I.; Urus, S. The structural analysis of MWCNT-SiO2 and electrical properties on device application. Curr. Appl. Phys. 2017, 17, 1215–1222. [Google Scholar] [CrossRef]
- Ma, X.H.; Wei, Y.Y.; Ding, W.; Zhou, J.F.; Zi, Z.F.; Dai, J.M. Synthesis of MnO @ multi-walled CNTs composite film electrodes for lithium-ion batteries by an improved electrostatic spray deposition method. J. Alloys Compd. 2017, 717, 69–77. [Google Scholar] [CrossRef]
- Yang, Z.L.; Chen, H.Z.; Cao, L.; Li, H.Y.; Wang, M. Synthesis and photoconductivity study of carbon nanotube bonded by tetrasubstituted amino manganese phthalocyanine. Mater. Sci. Eng. B 2004, 106, 73–78. [Google Scholar] [CrossRef]
- Irani, M.; Jacobsan, A.T.; Gasem, K.A.M.; Fan, M.H. Modified carbon nanotubes/tetraethylenepentamine for CO2 capture. Fuel 2017, 206, 10–18. [Google Scholar] [CrossRef]
- Abdeen, Z. Adsorption efficiency of poly(ethylene glycol)/chitosan/CNT blends for maltene fraction separation. Environ. Sci. Pollut. Res. 2016, 23, 11240–11246. [Google Scholar] [CrossRef] [PubMed]
- Gao, C.D.; Ren, J.L.; Kong, W.Q.; Sun, R.C.; Chen, Q.F. Comparative study on temperature/Ph sensitive xylan-based hydrogels: Their properties and drug controlled release. RSC Adv. 2015, 5, 90671–90681. [Google Scholar] [CrossRef]
- Mu, J.F.; Zheng, S.X. Poly(N-isopropylacrylamide) nanocrosslinked by polyhedral oligomeric silsesquioxane: Temperature-responsive behavior of hydrogels. J. Colloid Interface Sci. 2007, 307, 377–385. [Google Scholar] [CrossRef] [PubMed]
- Ribeiro, C.A.; Martins, M.V.S.; Bressiani, A.H.; Bressiani, J.C.; Leyva, M.E.; Queiroz, A.A.A. Electrochemical preparation and characterization for PNIPAM-Hap scaffolds for bone tissue engineering. Mat. Sci. Eng. C-Mater. 2017, 81, 156–166. [Google Scholar] [CrossRef] [PubMed]
- Samandari, S.S.; Samandari, S.S.; Yekta, H.J.; Mohseni, M. Adsorption of anionic and cationic dyes for aqueous solution using gelatin-based magnetic nanocomposite beads comprising carboxylic acid functionalized carbon nanotube. Chem. Eng. J. 2017, 308, 1133–1144. [Google Scholar] [CrossRef]
- Devi, L.; Singh, A.P.; Sharma, R.K. Synthesis and characterization of graft copolymers of chitosan with NIPAM and binary monomers for removal of Cr(VI), Cu(II) and Fe(II) metal ions from aqueous solutions. Int. J. Biol. Macromol. 2017, 99, 409–426. [Google Scholar] [CrossRef]
- Hirotsu, S.; Hirokawa, Y.; Tanaka, T. Volume-phase transitions of ionized N-isopropylacrylamide gels. J. Chem. Phys. 1987, 87, 1392–1395. [Google Scholar] [CrossRef]
- Kim, Y.S.; Liu, M.J.; Ishida, Y.; Ebina, Y.; Osada, M.; Sasaki, T.; Hikima, T.; Takata, M.; Aida, T. Thermoresponsive actuation enabled by permittivity switching in an electrostatically anisotropic hydrogel. Nat. Mater. 2015, 14, 1002–1007. [Google Scholar] [CrossRef] [PubMed]
- Bhattarai, N.; Gunn, J.; Zhang, M.Q. Chitosan-based hydrogels for controlled, localized drug delivery. Adv. Drug Deliv. Rev. 2010, 62, 83–99. [Google Scholar] [CrossRef] [PubMed]
- Ren, J.L.; Sun, R.C.; Peng, F. Carboxymethylation of hemicellulose isolated from sugarcane bagasse. Polym. Degrad. Stab. 2008, 93, 786–793. [Google Scholar] [CrossRef]
- Chen, C.C.; Yang, C.; Li, S.Y.; Li, D.G. A three-dimensionally chitin nanofiber/carbon nanotube hydrogel network for foldable conductive paper. Carbohydr. Polym. 2015, 134, 309–313. [Google Scholar] [CrossRef] [PubMed]
- Zhu, C.H.; Lu, Y.; Chen, J.F.; Yu, S.H. Photothermal poly(N-isopropylacrylamide)/Fe3O4 nanocomposite hydrogel as a movable position heating source under remote control. Small 2014, 10, 2796–2800. [Google Scholar] [CrossRef] [PubMed]
- Park, T.G.; Hoffman, A.S. Sodium chloride-induced phase transition in nonionic poly(N-isopropylacrylamide) gel. Macromolecules 1993, 26, 5045–5048. [Google Scholar] [CrossRef]










| Sample | NIPAM (g) | MAX (g) | AT-CNTs (wt %) |
|---|---|---|---|
| gel-1 | 2 | 0 | 0 |
| gel-2 | 1.9 | 0.1 | 0 |
| gel-3 | 1.7 | 0.3 | 0 |
| gel-4 | 1.5 | 0.5 | 0 |
| gel-5 | 1.3 | 0.7 | 0 |
| gel-6 | 2 | 0 | 2 |
| gel-7 | 1.9 | 0.1 | 2 |
| gel-8 | 1.7 | 0.3 | 2 |
| gel-9 | 1.5 | 0.5 | 2 |
| gel-10 | 1.3 | 0.7 | 2 |
| gel-11 | 1.5 | 0.5 | 5 |
| gel-12 | 1.5 | 0.5 | 8 |
| gel-13 | 1.5 | 0.5 | 11 |
| Sample | υD (cm−1) | υG (cm−1) | ID | IG | ID/IG |
|---|---|---|---|---|---|
| CNTs | 1340.51 | 1579.16 | 1075.84 | 1412.12 | 0.76 |
| AT-CNTs | 1350.8 | 1585 | 1665.2 | 1836.3 | 0.91 |
© 2018 by the authors. Licensee MDPI, Basel, Switzerland. This article is an open access article distributed under the terms and conditions of the Creative Commons Attribution (CC BY) license (http://creativecommons.org/licenses/by/4.0/).
Share and Cite
Liu, X.; Song, T.; Chang, M.; Meng, L.; Wang, X.; Sun, R.; Ren, J. Carbon Nanotubes Reinforced Maleic Anhydride-Modified Xylan-g-Poly(N-isopropylacrylamide) Hydrogel with Multifunctional Properties. Materials 2018, 11, 354. https://doi.org/10.3390/ma11030354
Liu X, Song T, Chang M, Meng L, Wang X, Sun R, Ren J. Carbon Nanotubes Reinforced Maleic Anhydride-Modified Xylan-g-Poly(N-isopropylacrylamide) Hydrogel with Multifunctional Properties. Materials. 2018; 11(3):354. https://doi.org/10.3390/ma11030354
Chicago/Turabian StyleLiu, Xinxin, Tao Song, Minmin Chang, Ling Meng, Xiaohui Wang, Runcang Sun, and Junli Ren. 2018. "Carbon Nanotubes Reinforced Maleic Anhydride-Modified Xylan-g-Poly(N-isopropylacrylamide) Hydrogel with Multifunctional Properties" Materials 11, no. 3: 354. https://doi.org/10.3390/ma11030354
APA StyleLiu, X., Song, T., Chang, M., Meng, L., Wang, X., Sun, R., & Ren, J. (2018). Carbon Nanotubes Reinforced Maleic Anhydride-Modified Xylan-g-Poly(N-isopropylacrylamide) Hydrogel with Multifunctional Properties. Materials, 11(3), 354. https://doi.org/10.3390/ma11030354
