Dielectric, Piezoelectric, and Vibration Properties of the LiF-Doped (Ba0.95Ca0.05)(Ti0.93Sn0.07)O3 Lead-Free Piezoceramic Sheets
Abstract
:1. Introduction
2. Experimental Procedures
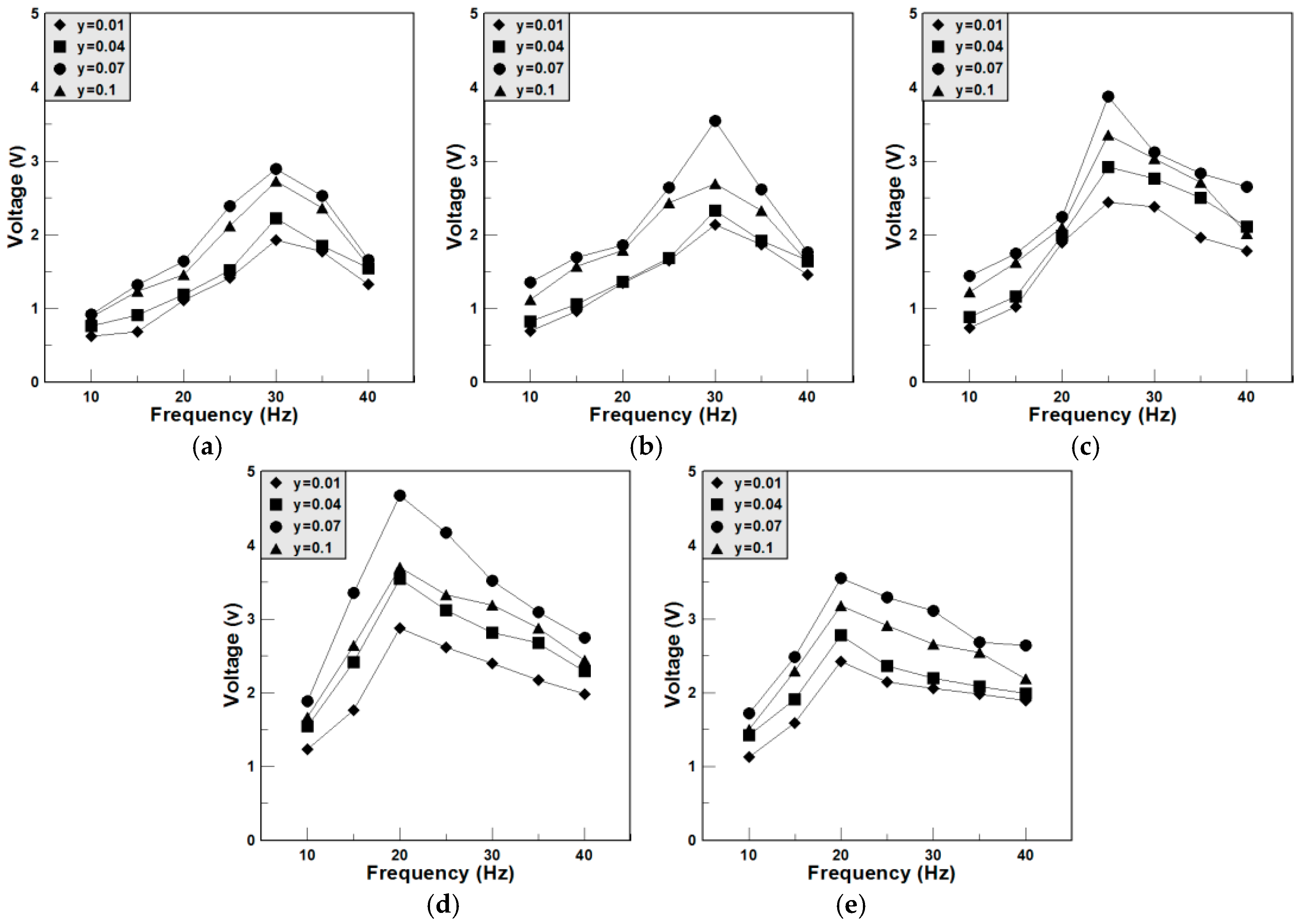
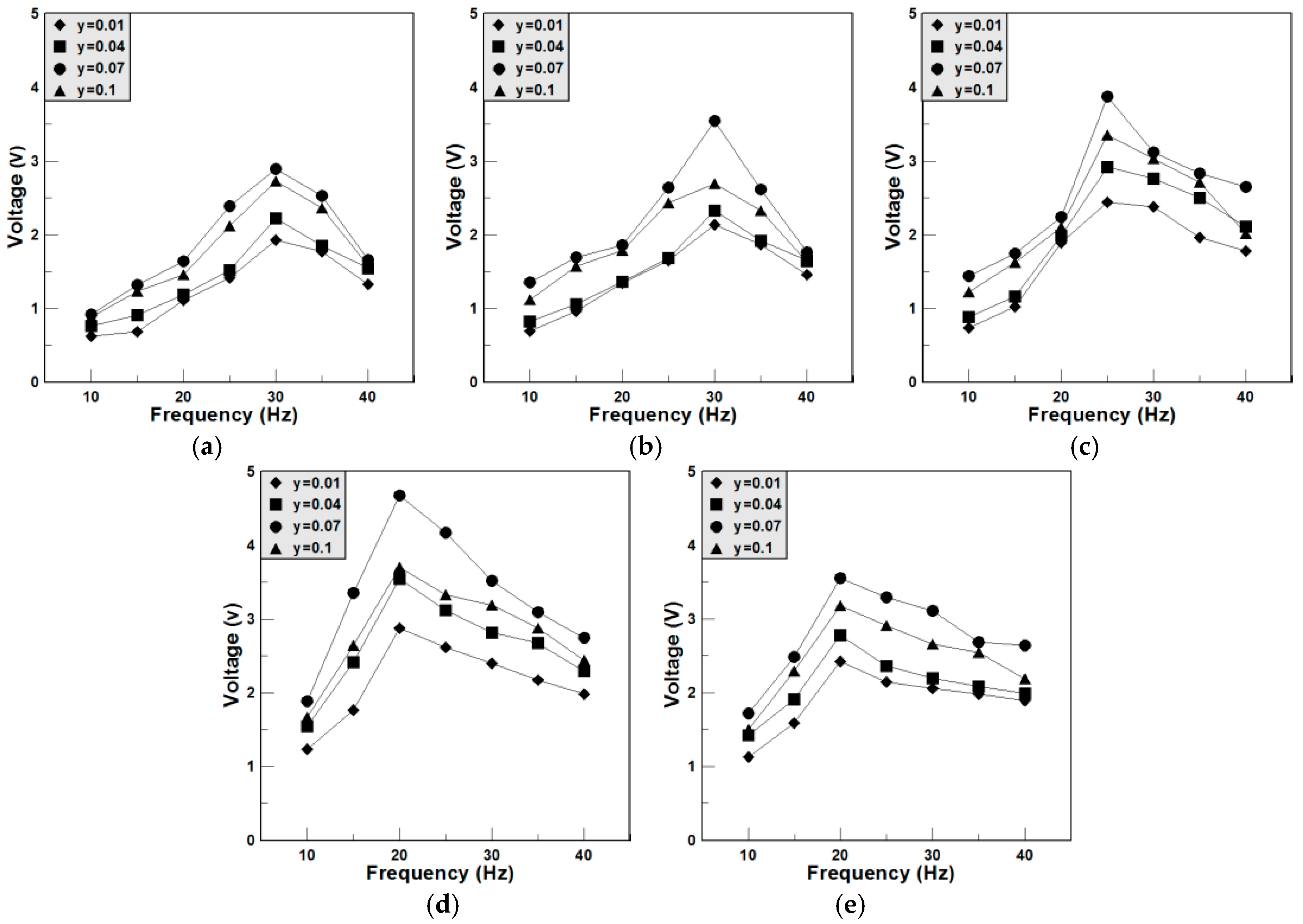
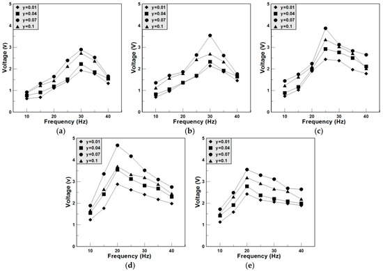
3. Results and Discussion
4. Conclusions
Acknowledgments
Author Contributions
Conflicts of Interest
References
- Saito, Y.; Takao, H.; Tani, T.; Nonoyama, T.; Takatori, K.; Homma, T.; Nagaya, T.; Nakamura, M. Lead-free piezoceramics. Nature 2004, 432, 84–87. [Google Scholar] [CrossRef] [PubMed]
- Rödel, J.; Jo, W.; Seifert, K.T.P.; Anton, E.M.; Granzow, T.; Damjanovic, D. Perspective on the development of lead-free piezoceramics. J. Am. Ceram. Soc. 2009, 92, 1153. [Google Scholar] [CrossRef]
- Xiao, D.Q.; Wu, J.G.; Wu, L.; Zhu, J.G.; Yu, P.; Lin, D.M.; Liao, Y.W.; Sun, Y. Investigation on the composition design and properties study of perovskite lead-free piezoelectric ceramics. J. Mater. Sci. 2009, 44, 5408. [Google Scholar] [CrossRef]
- Wu, J.G.; Wang, Y.Y.; Xiao, D.Q.; Zhu, J.G. Effects of Ag content on the phase structure and piezoelectric properties of (K0.44−xNa0.52Li0.04Agx)(Nb0.91Ta0.05Sb0.04)O3 lead-free ceramics. Appl. Phys. Lett. 2007, 91, 132914. [Google Scholar] [CrossRef]
- Lemanov, V.V. Barium titanate-based solid solutions. Ferroelectrics 2007, 354, 69–76. [Google Scholar] [CrossRef]
- Yu, Z.; Ang, C.; Guo, R.; Bhalla, A.S. Piezoelectric and strain properties of Ba(Ti1−xZrx)O3 ceramics. J. Appl. Phys. 2002, 92, 1489. [Google Scholar] [CrossRef]
- Sanson, A.; Whatmore, R.W. Properties of Bi4Ti3O12–(Na1/2Bi1/2)TiO3 piezoelectric ceramics. Jpn. J. Appl. Phys. 2002, 41, 7127. [Google Scholar] [CrossRef]
- Frit, B.; Mercurio, J.P. The crystal chemistry and dielectric properties of the Aurivillius family of complex bismuth oxides with perovskite-like layered structures. J. Alloys Compd. 1992, 188, 27–35. [Google Scholar] [CrossRef]
- Wu, L.; Xiao, D.Q.; Lin, D.M.; Zhu, J.G.; Yu, P. Synthesis and properties of [Bi0.5(Na1−xAgx)0.5]1−yBayTiO3 piezoelectric ceramics. Jpn. J. Appl. Phys. 2005, 44, 8515. [Google Scholar] [CrossRef]
- Liu, W.F.; Ren, X.B. Large piezoelectric effect in Pb-free ceramics. Phys. Rev. Lett. 2009, 103, 257602. [Google Scholar] [CrossRef] [PubMed]
- Wu, J.G.; Xiao, D.Q.; Wang, Y.Y.; Zhu, J.G.; Wu, L.; Jiang, Y.H. Effects of K/Na ratio on the phase structure and electrical properties of (KxNa0.96−xLi0.04)(Nb0.91Ta0.05Sb0.04)O3 lead-free ceramics. Appl. Phys. Lett. 2007, 91, 252907. [Google Scholar] [CrossRef]
- Zuo, R.Z.; Fang, X.S.; Ye, C. Phase structures and electrical properties of new lead-free (Na0.5K0.5)NbO3–(Bi0.5Na0.5)TiO3 ceramics. Appl. Phys. Lett. 2007, 90, 092904. [Google Scholar] [CrossRef]
- Zhang, S.J.; Xia, R.; Shrout, T.R. Modified (K0.5Na0.5)NbO3 based lead-free piezoelectrics with broad temperature usage range. Appl. Phys. Lett. 2007, 91, 132913. [Google Scholar] [CrossRef]
- Takahashi, H.; Numamoto, Y.; Tani, J.; Tsurekawa, S. Piezoelectric properties of BaTiO3 ceramics with high performance fabricated by microwave sintering. Jpn. J. Appl. Phys. 2006, 45, 7405. [Google Scholar] [CrossRef]
- Karaki, T.; Yan, K.; Miyamoto, T.; Adachi, M. Lead-free piezoelectric ceramics with large dielectric and piezoelectric constants manufactured from BaTiO3 nano-powder. Jpn. J. Appl. Phys. 2007, 46, L97–L98. [Google Scholar] [CrossRef]
- Li, W.; Xu, Z.; Chu, R.; Fu, P.; Zang, G. High piezoelectric d33 coefficient in (Ba1−xCax)(Ti0.98Zr0.02)O3 lead-free ceramics with relative high Curie temperature. Mater. Lett. 2010, 64, 2325. [Google Scholar] [CrossRef]
- Wu, J.; Xiao, D.; Wu, W.; Zhu, J.; Wang, J. Effect of dwell time during sintering on piezoelectric properties of (Ba0.85Ca0.15)(Ti0.90Zr0.10)O3 lead-free ceramics. J. Alloys Compd. 2011, 509, L359–L361. [Google Scholar] [CrossRef]
- Wu, J.G.; Xiao, D.Q.; Wu, W.J.; Chen, Q.; Zhu, J.G.; Yang, Z.; Wang, J. Composition and poling condition-induced electrical behavior of (Ba0.85Ca0.15)(Ti1−xZrx)O3 lead-free piezoelectric ceramics. J. Eur. Ceram. Soc. 2012, 32, 891–898. [Google Scholar] [CrossRef]
- Zhang, S.W.; Zhang, L.; Zhang, B.P.; Yang, S. Phase-transition behavior and piezoelectric properties of lead-free (Ba0.95Ca0.05)(Ti1−xZrx)O3 ceramics. J. Alloy. Compd. 2010, 506, 131–135. [Google Scholar] [CrossRef]
- Wu, J.; Wu, W.; Xiao, D.; Wang, J.; Yang, Z.; Peng, Z.; Chen, Q.; Zhu, J. (Ba,Ca)(Ti,Zr)O3-BiFeO3 lead-free piezoelectric ceramics. Curr. Appl. Phys. 2012, 12, 534–538. [Google Scholar] [CrossRef]
- Ye, S.K.; Fuh, J.Y.H.; Lu, L. Structure and electrical properties of <001> textured (Ba0.85Ca0.15)(Ti0.9Zr0.1)O3 lead-free piezoelectric ceramics. Appl. Phys. Lett. 2012, 100, 252906. [Google Scholar] [CrossRef]
- Shao, S.F.; Zhang, J.L.; Zhang, Z.; Zheng, P.; Zhao, M.L.; Li, J.C.; Wang, C.L. High piezoelectric properties and domain configuration in BaTiO3 ceramics obtained through the solid-state reaction route. J. Phys. D Appl. Phys. 2008, 41, 125408. [Google Scholar] [CrossRef]
- Takahashi, H.; Numamoto, Y.; Tani, J.; Matsuta, K.; Qiu, J.; Tsurekawa, S. Lead-free barium titanate ceramics with large piezoelectric constant fabricated by microwave sintering. Jpn. J. Appl. Phys. 2006, 45, L30. [Google Scholar] [CrossRef]
- Zhu, L.F.; Zhang, B.P.; Zhao, X.K.; Zhao, L.; Yao, F.Z.; Han, X.; Zhou, P.F.; Li, J.F. Phase transition and high piezoelectricity in (Ba,Ca)(Ti1−xSnx)O3 lead-free ceramics. Appl. Phys. Lett. 2013, 103, 072905. [Google Scholar] [CrossRef]
- Li, W.; Xu, Z.; Chu, R.; Fu, P.; Zang, G. Large piezoelectric coefficient in (Ba1−xCax)(Ti0.96Sn0.04)O3 Lead-Free Ceramics. J. Am. Ceram. Soc. 2011, 94, 4131–4133. [Google Scholar] [CrossRef]
- Zhou, P.F.; Zhang, B.P.; Zhao, L.; Zhao, X.K.; Zhu, L.F.; Cheng, L.Q.; Li, J.F. High piezoelectricity due to multiphase coexistence in low-temperature sintered (Ba,Ca)(Ti,Sn)O3–CuOx ceramics. Appl. Phys. Lett. 2013, 103, 17290. [Google Scholar] [CrossRef]
- Zhao, L.; Zhang, B.P.; Zhou, P.F.; Zhao, X.K.; Zhu, L.F. Phase structure and property evaluation of (Ba,Ca)(Ti,Sn)O3 sintered with Li2CO3 addition at low temperature. J. Am. Ceram. Soc. 2014, 97, 2164–2169. [Google Scholar] [CrossRef]
- Frage, N.; Kalabukhov, S.; Sverdlov, N.; Kasiyan, V.; Rothman, A.; Dariel, M.P. Effect of the spark plasma sintering (SPS) parameters and LiF doping on the mechanical properties and the transparency of polycrystalline Nd-YAG. Ceram. Int. 2012, 38, 5513–5519. [Google Scholar] [CrossRef]
- Hsi, C.S.; Chen, Y.C.; Jantunen, H.; Wu, M.J.; Lin, T.C. Barium titanate based dielectric sintered with a two-stage process. J. Eur. Ceram. Soc. 2008, 28, 2581–2588. [Google Scholar] [CrossRef]
- Jiao, H.; Ma, Q.; He, L.; Liu, Z.; Wu, Q. Low temperature synthesis of YAG:Ce phosphors by LiF assisted sol–gel combustion method. Powder Technol. 2010, 198, 229–232. [Google Scholar] [CrossRef]
- Frage, N.; Kalabukhov, S.; Sverdlov, N.; Ezersky, V.; Dariel, M.P. Densification of transparent yttrium aluminum garnet (YAG) by SPS processing. J. Eur. Ceram. Soc. 2010, 30, 3331–3337. [Google Scholar] [CrossRef]










© 2018 by the authors. Licensee MDPI, Basel, Switzerland. This article is an open access article distributed under the terms and conditions of the Creative Commons Attribution (CC BY) license (http://creativecommons.org/licenses/by/4.0/).
Share and Cite
Cheng, C.-M.; Chen, K.-H.; Lee, D.-H.; Jong, F.-C.; Chen, M.-L.; Chang, J.-K. Dielectric, Piezoelectric, and Vibration Properties of the LiF-Doped (Ba0.95Ca0.05)(Ti0.93Sn0.07)O3 Lead-Free Piezoceramic Sheets. Materials 2018, 11, 182. https://doi.org/10.3390/ma11020182
Cheng C-M, Chen K-H, Lee D-H, Jong F-C, Chen M-L, Chang J-K. Dielectric, Piezoelectric, and Vibration Properties of the LiF-Doped (Ba0.95Ca0.05)(Ti0.93Sn0.07)O3 Lead-Free Piezoceramic Sheets. Materials. 2018; 11(2):182. https://doi.org/10.3390/ma11020182
Chicago/Turabian StyleCheng, Chien-Min, Kai-Huang Chen, Da-Huei Lee, Fuh-Cheng Jong, Mei-Li Chen, and Jhih-Kai Chang. 2018. "Dielectric, Piezoelectric, and Vibration Properties of the LiF-Doped (Ba0.95Ca0.05)(Ti0.93Sn0.07)O3 Lead-Free Piezoceramic Sheets" Materials 11, no. 2: 182. https://doi.org/10.3390/ma11020182
APA StyleCheng, C.-M., Chen, K.-H., Lee, D.-H., Jong, F.-C., Chen, M.-L., & Chang, J.-K. (2018). Dielectric, Piezoelectric, and Vibration Properties of the LiF-Doped (Ba0.95Ca0.05)(Ti0.93Sn0.07)O3 Lead-Free Piezoceramic Sheets. Materials, 11(2), 182. https://doi.org/10.3390/ma11020182

