Assessment of the Influence of Acetic Acid Residue on Type I Collagen during Isolation and Characterization
Abstract
1. Introduction
2. Materials and Methods
2.1. Materials
2.2. Isolation and Characterization of Type I Collagen
2.2.1. Isolation of Type I Collagen from Porcine Skin
2.2.2. Gel Electrophoresis
2.2.3. Raman Spectroscopy
2.2.4. X-ray Diffraction (XRD) Analysis
2.2.5. Simultaneous Thermal Analysis (STA)
2.3. Preparation and Characterization of Porous Scaffolds
2.3.1. Preparation of Porous Scaffolds
2.3.2. Morphology
2.3.3. Physical Characteristics
2.3.4. Free Amine Index
2.3.5. Swelling Test
2.3.6. In Vitro Degradation
2.4. Cell Culture Studies
2.4.1. Isolation and Cultivation of ADSCs
2.4.2. Cell Seeding on Porous Scaffolds
2.4.3. Cell Proliferation Study
2.4.4. Reverse Transcriptase-Polymerase Chain Reaction (RT-PCR) Analysis
2.5. Statistical Analysis
3. Results
3.1. Isolated Type I Collagens
3.1.1. Gel Electrophoresis Patterns of Collagens
3.1.2. Raman Spectra of Collagens
3.1.3. Diffraction Patterns of Collagens
3.1.4. Thermal Characteristics of Collagens
3.2. Type I Collagen-Based Porous Scaffolds
3.2.1. Porosity and Pore Size of Porous Scaffolds
3.2.2. Morphologies of Porous Scaffolds
3.2.3. Physical Characteristics of Porous Scaffolds
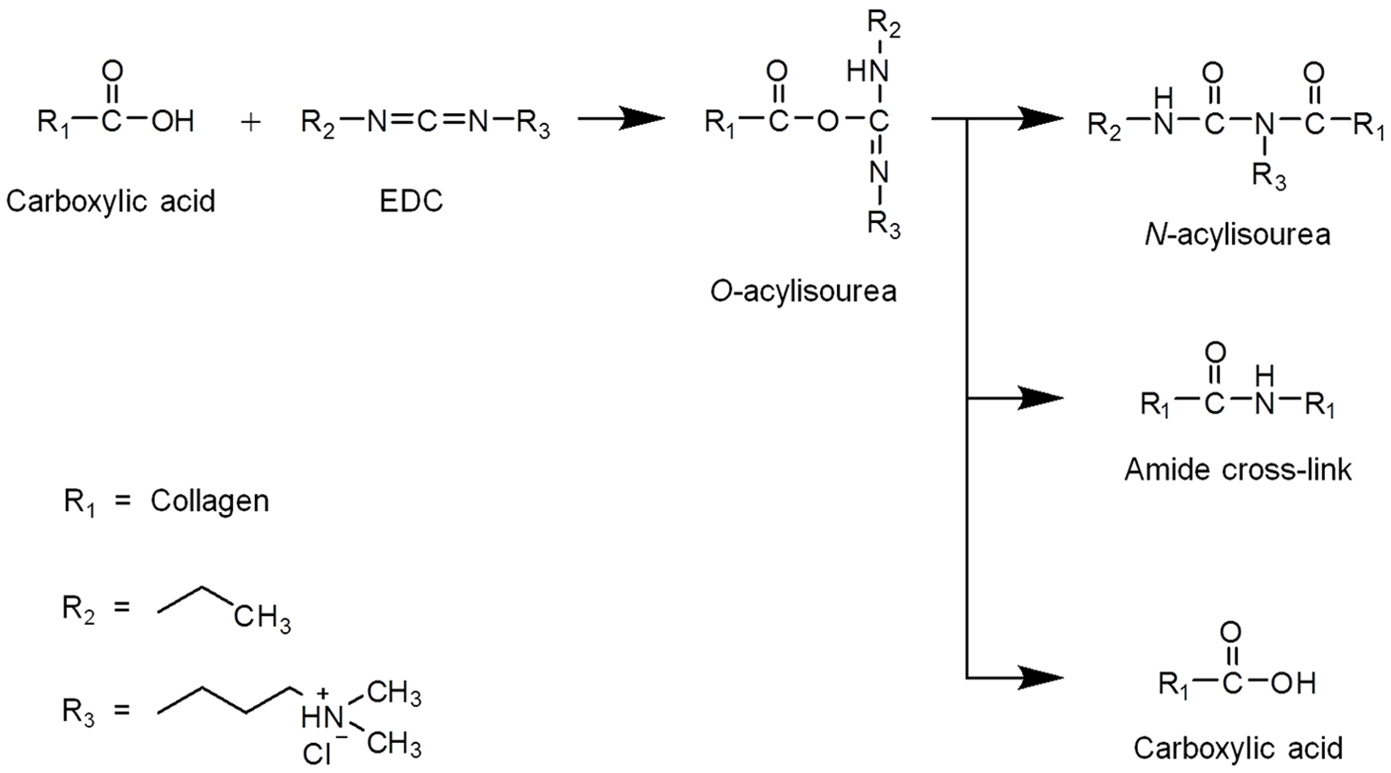
3.2.4. Cross-Linking of Porous Scaffolds
3.2.5. Water Absorbance Ability of Porous Scaffolds
3.2.6. In Vitro Degradation of Porous Scaffolds
3.3. Cell Culture Studies Using Porous Scaffolds
4. Discussion
5. Conclusions
Author Contributions
Funding
Conflicts of Interest
References
- Lee, C.H.; Singla, A.; Lee, Y. Biomedical applications of collagen. Int. J. Pharm. 2001, 221, 1–22. [Google Scholar] [CrossRef]
- Ghodbane, S.A.; Dunn, M.G. Physical and mechanical properties of cross-linked type I collagen scaffolds derived from bovine, porcine, and ovine tendons. J. Biomed. Mater. Res. Part A 2016, 104, 2685–2692. [Google Scholar] [CrossRef] [PubMed]
- Sheikh, Z.; Qureshi, J.; Alshahrani, A.M.; Nassar, H.; Ikeda, Y.; Glogauer, M.; Ganss, B. Collagen based barrier membranes for periodontal guided bone regeneration applications. Odontology 2017, 105, 1–12. [Google Scholar] [CrossRef] [PubMed]
- Ashworth, J.C.; Mehr, M.; Buxton, P.G.; Best, S.M.; Cameron, R.E. Optimising collagen scaffold architecture for enhanced periodontal ligament fibroblast migration. J. Mater. Sci. Mater. Med. 2018, 29, 166. [Google Scholar] [CrossRef] [PubMed]
- Friess, W. Collagen-biomaterial for drug delivery. Eur. J. Pharm. Biopharm. 1998, 45, 113–136. [Google Scholar] [CrossRef]
- Kreger, S.T.; Bell, B.J.; Bailey, J.; Stites, E.; Kuske, J.; Waisner, B.; Voytik-Harbin, S.L. Polymerization and matrix physical properties as important design considerations for soluble collagen formulations. Biopolymers 2010, 93, 690–707. [Google Scholar] [CrossRef] [PubMed]
- Delgado, L.M.; Shologu, N.; Fuller, K.; Zeugolis, D.I. Acetic acid and pepsin result in high yield, high purity and low macrophage response collagen for biomedical applications. Biomed. Mater. 2017, 12, 065009. [Google Scholar] [CrossRef]
- Sato, K.; Ebihara, T.; Adachi, E.; Kawashima, S.; Hattori, S.; Irie, S. Possible involvement of aminotelopeptide in self-assembly and thermal stability of collagen I as revealed by its removal with proteases. J. Biol. Chem. 2000, 275, 25870–25875. [Google Scholar] [CrossRef]
- Mocan, E.; Tagadiuc, O.; Nacu, V. Aspects of collagen isolation procedure. Curierul Med. 2011, 2, 3–5. [Google Scholar]
- Tan, C.C.; Karim, A.A.; Latiff, A.A.; Gan, C.Y.; Ghazali, F.C. Extraction and characterization of pepsin-solubilized collagen from the body wall of crown-of-thorns starfish (Acanthaster planci). Int. Food Res. J. 2013, 20, 3013–3020. [Google Scholar]
- Stamov, D.R.; Pompe, T. Structure and function of ECM-inspired composite collagen type I scaffolds. Soft Matter. 2012, 8, 10200–10212. [Google Scholar] [CrossRef]
- Matmaroh, K.; Benjakul, S.; Prodpran, T.; Encarnacion, A.B.; Kishimura, H. Characteristics of acid soluble collagen and pepsin soluble collagen from scale of spotted golden goatfish (Parupeneus heptacanthus). Food Chem. 2011, 129, 1179–1186. [Google Scholar] [CrossRef] [PubMed]
- Skopinska-Wisniewska, J.; Olszewski, K.; Bajek, A.; Rynkiewicz, A.; Sionkowska, A. Dialysis as a method of obtaining neutral collagen gels. Mater. Sci. Eng. C Mater. Biol. Appl. 2014, 40, 65–70. [Google Scholar] [CrossRef] [PubMed]
- Yang, H.; Shu, Z. The extraction of collagen protein from pigskin. J. Chem. Pharm. Res. 2014, 6, 683–687. [Google Scholar]
- Silvipriya, K.S.; Kumar, K.K.; Bhat, A.R.; Kumar, B.D.; John, A.; Lakshmanan, P. Collagen: Animal sources and biomedical application. J. Appl. Pharm. Sci. 2015, 5, 123–127. [Google Scholar] [CrossRef]
- Bak, S.Y.; Yoon, G.J.; Lee, S.W.; Kim, H.W. Effect of humidity and benign solvent composition on electrospinning of collagen nanofibrous sheets. Mater. Lett. 2016, 181, 136–139. [Google Scholar] [CrossRef]
- Laemmli, U.K. Cleavage of structural proteins during the assembly of the head of bacteriophage T4. Nature 1970, 227, 680–685. [Google Scholar] [CrossRef] [PubMed]
- Park, S.N.; Park, J.C.; Kim, H.O.; Song, M.J.; Suh, H. Characterization of porous collagen/hyaluronic acid scaffold modified by 1-ethyl-3-(3-dimethylaminopropyl)carbodiimide cross-linking. Biomaterials 2002, 23, 1205–1212. [Google Scholar] [CrossRef]
- Liu, Y.; Ma, L.; Gao, C. Facile fabrication of the glutaraldehyde cross-linked collagen/chitosan porous scaffold for skin tissue engineering. Mater. Sci. Eng. C 2012, 32, 2361–2366. [Google Scholar] [CrossRef]
- Lin, Y.K.; Liu, D.C. Studies of novel hyaluronic acid-collagen sponge materials composed of two different species of type I collagen. J. Biomater. Appl. 2007, 21, 265–281. [Google Scholar] [CrossRef]
- Nagai, T.; Nobutaka, S.; Tanoue, Y.; Kai, N.; Nagashima, T. Characterization of acid-soluble collagen from skins of surf smelt (Hypomesus pretiosus japonicus Brevoort). Food Nutr. Sci. 2010, 1, 59–66. [Google Scholar] [CrossRef]
- Greve, T.M.; Andersen, K.B.; Nielsen, O.F. Atr-ftir, ft-nir and near-ft-raman spectroscopic studies of molecular composition in human skin in vivo and pig ear skin in vitro. Spectroscopy 2008, 22, 437–457. [Google Scholar] [CrossRef]
- Gasior-Glogowska, M.; Komorowska, M.; Hanuza, J.; Ptak, M.; Kobielarz, M. Structural alteration of collagen fibres-spectroscopic and mechanical studies. Acta Bioeng. Biomech. 2010, 12, 55–62. [Google Scholar] [PubMed]
- Chadefaux, C.; Hô, A.-S.L.; Bellot-Gurlet, L.; Reiche, I. Curve-fitting Micro-ATR-FTIR studies of the amide I and II bands of type I collagen archaeological bone materials. e-Preserv. Sci. 2009, 6, 129–137. [Google Scholar]
- Gullekson, C.; Lucas, L.; Hewitt, K.; Kreplak, L. Surface-sensitive raman spectroscopy of collagen I fibrils. Biophys. J. 2011, 100, 1837–1845. [Google Scholar] [CrossRef] [PubMed]
- Meng, Z.; Zheng, X.; Tang, K.; Liu, J.; Ma, Z.; Zhao, Q. Dissolution and regeneration of collagen fibers using ionic liquid. Int. J. Biol. Macromol. 2012, 51, 440–448. [Google Scholar] [CrossRef]
- Wu, B.; Mu, C.; Zhang, G.; Lin, W. Effects of cr3+ on the structure of collagen fiber. Langmuir 2009, 25, 11905–11910. [Google Scholar] [CrossRef]
- Samouillan, V.; Delaunay, F.; Dandurand, J.; Merbahi, N.; Gardou, J.-P.; Yousfi, M.; Gandaglia, A.; Spina, M.; Lacabanne, C. The use of thermal techniques for the characterization and selection of natural biomaterials. J. Funct. Biomater. 2011, 2, 230–248. [Google Scholar] [CrossRef]
- Olde Damink, L.H.; Dijkstra, P.J.; van Luyn, M.J.; van Wachem, P.B.; Nieuwenhuis, P.; Feijen, J. Cross-linking of dermal sheep collagen using a water-soluble carbodiimide. Biomaterials 1996, 17, 765–773. [Google Scholar] [CrossRef]
- Riekstina, U.; Cakstina, I.; Parfejevs, V.; Hoogduijn, M.; Jankovskis, G.; Muiznieks, I.; Muceniece, R.; Ancans, J. Embryonic stem cell marker expression pattern in human mesenchymal stem cells derived from bone marrow, adipose tissue, heart and dermis. Stem Cell Rev. 2009, 5, 378–386. [Google Scholar] [CrossRef]
- Kollar, K.; Cook, M.M.; Atkinson, K.; Brooke, G. Molecular mechanisms involved in mesenchymal stem cell migration to the site of acute myocardial infarction. Int. J. Cell Biol. 2009, 2009, 904682. [Google Scholar] [CrossRef] [PubMed]
- Lee, J.M.; Dedhar, S.; Kalluri, R.; Thompson, E.W. The epithelial-mesenchymal transition: New insights in signaling, development, and disease. J. Cell Biol. 2006, 172, 973–981. [Google Scholar] [CrossRef] [PubMed]
- Li, L.; Bennett, S.A.; Wang, L. Role of e-cadherin and other cell adhesion molecules in survival and differentiation of human pluripotent stem cells. Cell Adhes. Migr. 2012, 6, 59–70. [Google Scholar] [CrossRef] [PubMed]
- Yang, W.N.; Ai, Z.H.; Wang, J.; Xu, Y.L.; Teng, Y.C. Correlation between the overexpression of epidermal growth factor receptor and mesenchymal makers in endometrial carcinoma. J. Gynecol. Oncol. 2014, 25, 36–42. [Google Scholar] [CrossRef] [PubMed]
- Kiew, P.L.; Don, M.M. The influence of acetic acid concentration on the extractability of collagen from the skin of hybrid Clarias sp. and its physicochemical properties: A preliminary study. Focus Mod. Food Ind. 2013, 2, 123–128. [Google Scholar]
- Maji, K.; Dasgupta, S.; Pramanik, K.; Bissoyi, A. Preparation and evaluation of gelatin-chitosan-nanobioglass 3d porous scaffold for bone tissue engineering. Int. J. Biomater. 2016, 2016, 9825659. [Google Scholar] [CrossRef] [PubMed]
- Kang, H.W.; Tabata, Y.; Ikada, Y. Fabrication of porous gelatin scaffolds for tissue engineering. Biomaterials 1999, 20, 1339–1344. [Google Scholar] [CrossRef]
- Pawelec, K.M.; Husmann, A.; Wardale, R.J.; Best, S.M.; Cameron, R.E. Ionic solutes impact collagen scaffold bioactivity. J. Mater. Sci. Mater. Med. 2015, 26, 91. [Google Scholar] [CrossRef]
- Grover, C.N.; Cameron, R.E.; Best, S.M. Investigating the morphological, mechanical and degradation properties of scaffolds comprising collagen, gelatin and elastin for use in soft tissue engineering. J. Mech. Behav. Biomed. Mater. 2012, 10, 62–74. [Google Scholar] [CrossRef]
- Singha, P.; Benjakula, S.; Maqsooda, S.; Kishimura, H. Isolation and characterisation of collagen extracted from the skin of striped catfish (Pangasianodon hypophthalmus). Food Chem. 2011, 124, 97–105. [Google Scholar] [CrossRef]
- Ma, L.; Gao, C.; Mao, Z.; Zhou, J.; Shen, J. Enhanced biological stability of collagen porous scaffolds by using amino acids as novel cross-linking bridges. Biomaterials 2004, 25, 2997–3004. [Google Scholar] [CrossRef] [PubMed]
- Liu, Y.; Gan, L.; Carlsson, D.J.; Fagerholm, P.; Lagali, N.; Watsky, M.A.; Munger, R.; Hodge, W.G.; Priest, D.; Griffith, M. A simple, cross-linked collagen tissue substitute for corneal implantation. Investig. Ophthalmol. Vis. Sci. 2006, 47, 1869–1875. [Google Scholar] [CrossRef] [PubMed]
- Davidenko, N.; Schuster, C.F.; Bax, D.V.; Raynal, N.; Farndale, R.W.; Best, S.M.; Cameron, R.E. Control of crosslinking for tailoring collagen-based scaffolds stability and mechanics. Acta Biomater. 2015, 25, 131–142. [Google Scholar] [CrossRef] [PubMed]
- Leong, K.F.; Chua, C.K.; Sudarmadji, N.; Yeong, W.Y. Engineering functionally graded tissue engineering scaffolds. J. Mech. Behav. Biomed. Mater. 2008, 1, 140–152. [Google Scholar] [CrossRef] [PubMed]
- Loh, Q.L.; Choong, C. Three-dimensional scaffolds for tissue engineering applications: Role of porosity and pore size. Tissue Eng. Part B Rev. 2013, 19, 485–502. [Google Scholar] [CrossRef] [PubMed]
- Xu, C.; Lu, W.; Bian, S.; Liang, J.; Fan, Y.; Zhang, X. Porous collagen scaffold reinforced with surfaced activated PLLA nanoparticles. Sci. World J. 2012, 24, 695137. [Google Scholar] [CrossRef] [PubMed]












| Gene Name | Primer Sequence | Accession No. | Amplicon Size (bp) | Annealing Temperature (°C) | Cycle |
|---|---|---|---|---|---|
| OCT41 | S 5′-cgt gaa gct gga gaa gga gaa gct g-3′ | AF268617 | 245 | 60 | 34 |
| A 5′-caa ggg ccg cag ctc aca cat gtt c-3′ | |||||
| NANOG | S 5′-caa agg caa aca acc cac tt-3′ | NM_024865 | 394 | 60 | 34 |
| A 5′-att gtt cca ggt ctg gtt gc-3′ | |||||
| SOX22 | S 5′-aac ccc aag atg cac aac tc-3′ | NM_003106 | 100 | 60 | 34 |
| A 5′-gct tag cct cgt cga tga ac-3′ | |||||
| CXCR43 | S 5′-ggt ggt cta tgt tgg cgt ct-3′ | BC020968.2 | 324 | 60 | 34 |
| A 5′-tcg atg ctg atc cca atg ta-3′ | |||||
| SNAIL1 | S 5′-ttt acc ttc cag cag ccc ta-3′ | BC012910 | 415 | 54 | 34 |
| A 5′-cca ggc tga ggt att cct tg-3′ | |||||
| TWIST | S 5′-agt ccg cag tct tac gag ga-3′ | NM_000474.3 | 222 | 54 | 34 |
| A 5′-cat ctt gga gtc cag ctc gt-3′ | |||||
| N-cadherin | S 5′-gac aat gcc cct caa gtg tt-3′ | NM_001792.3 | 354 | 54 | 34 |
| A 5′-acc cac aat cct gtc cac at-3′ | |||||
| E-cadherin | S 5′-tgg aca ggg agg att ttg ag-3′ | NM_004360.3 | 458 | 60 | 34 |
| A 5′-agg ctg tgc ctt cct aca ga-3′ | |||||
| GAPDH4 | S 5′-tcc atg aca act ttg gta tc-3′ | NM_002046 | 452 | 55 | 34 |
| A 5′-tgt agc caa att cgt tgt ta-3′ |
| Sample | T1st (°C) 1 | Weight Loss 1st (%) 2 | Weight Loss 2nd (%) 3 |
|---|---|---|---|
| DDW | 173 | 8.8 | 67.5 |
| DAC | 243 | 11.4 | 56.6 |
| C | 159 | 6.8 | 65.8 |
| Sample (% w/v) | Porosity (%) | Pore Size (μm) | ||
|---|---|---|---|---|
| DDW | DAC | DDW | DAC | |
| 0.5 | 99.20 ± 0.01 | 98.58 ± 0.02 | 74.63 ± 9.05 | 77.04 ± 11.54 |
| 1 | 99.01 ± 0.01 | 98.91 ± 0.01 | 79.05 ± 12.02 | 81.80 ± 12.24 |
| 2 | 98.14 ± 0.01 | 98.31 ± 0.01 | 91.03 ± 20.49 | 97.65 ± 17.12 |
| Sample (% w/v) | Weight (mg) | Thickness (mm) | Volume (μL) | |||
|---|---|---|---|---|---|---|
| DDW | DAC | DDW | DAC | DDW | DAC | |
| 0.5 | 1.93 ± 0.06 | 1.87 ± 0.06 | 1.77 ± 0.03 | 0.76 ± 0.02 | 200.46 ± 3.90 | 108.34 ± 2.10 |
| 1 | 3.87 ± 0.06 | 3.73 ± 0.06 | 2.42 ± 0.03 | 2.30 ± 0.01 | 321.53 ± 4.50 | 282.09 ± 1.70 |
| 2 | 7.77 ± 0.06 | 7.30 ± 0.00 | 2.60 ± 0.02 | 2.49 ± 0.01 | 344.53 ± 2.38 | 356.60 ± 1.10 |
© 2018 by the authors. Licensee MDPI, Basel, Switzerland. This article is an open access article distributed under the terms and conditions of the Creative Commons Attribution (CC BY) license (http://creativecommons.org/licenses/by/4.0/).
Share and Cite
Bak, S.Y.; Lee, S.W.; Choi, C.H.; Kim, H.W. Assessment of the Influence of Acetic Acid Residue on Type I Collagen during Isolation and Characterization. Materials 2018, 11, 2518. https://doi.org/10.3390/ma11122518
Bak SY, Lee SW, Choi CH, Kim HW. Assessment of the Influence of Acetic Acid Residue on Type I Collagen during Isolation and Characterization. Materials. 2018; 11(12):2518. https://doi.org/10.3390/ma11122518
Chicago/Turabian StyleBak, Seon Young, Sang Woo Lee, Chong Hyuk Choi, and Hyun Woo Kim. 2018. "Assessment of the Influence of Acetic Acid Residue on Type I Collagen during Isolation and Characterization" Materials 11, no. 12: 2518. https://doi.org/10.3390/ma11122518
APA StyleBak, S. Y., Lee, S. W., Choi, C. H., & Kim, H. W. (2018). Assessment of the Influence of Acetic Acid Residue on Type I Collagen during Isolation and Characterization. Materials, 11(12), 2518. https://doi.org/10.3390/ma11122518

