Low-Velocity Impact Behavior of Interlayer/Intralayer Hybrid Composites Based on Carbon and Glass Non-Crimp Fabric
Abstract
1. Introduction
2. Materials and Methods
2.1. Materials
2.2. Laminates
2.3. Experiments
3. Results and Discussion
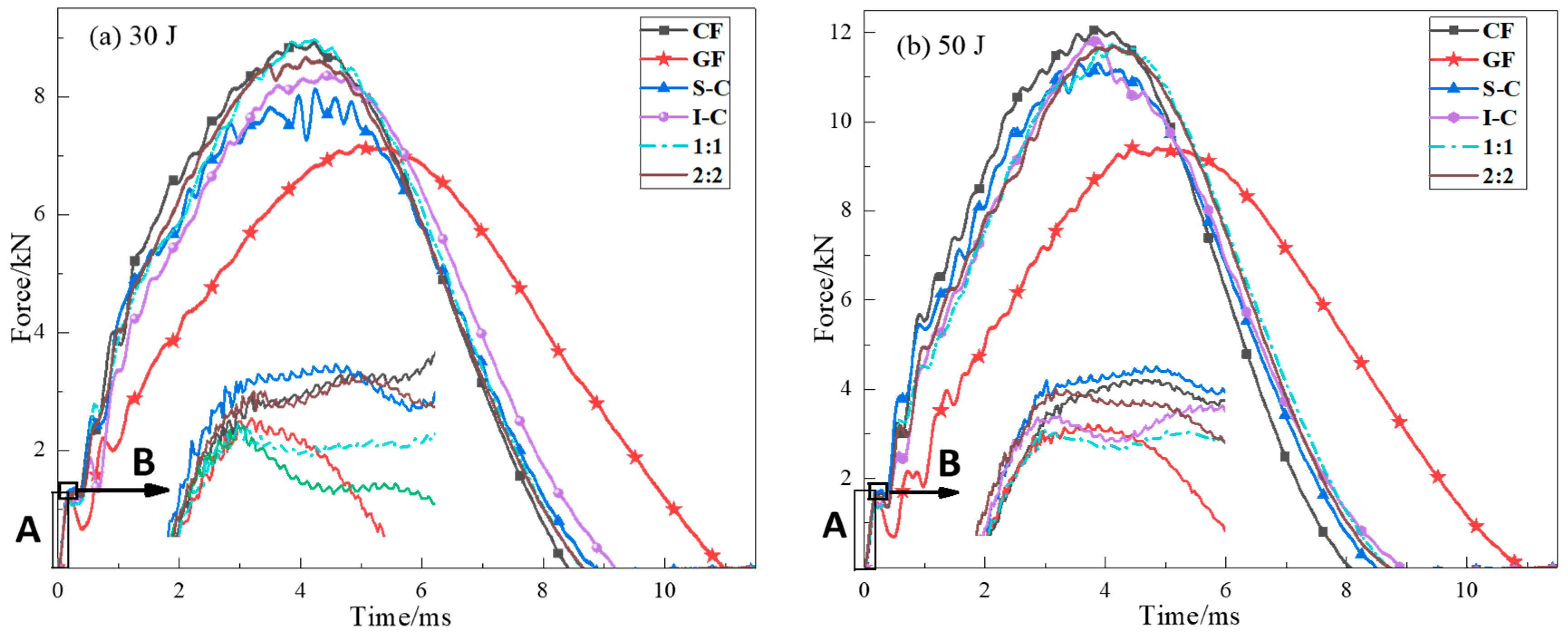
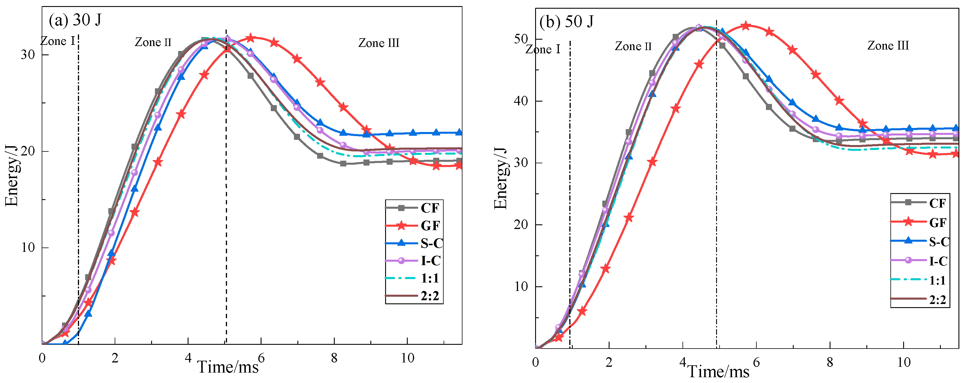
3.1. Low-Velocity Impact Response
3.2. Damage Analysis
3.3. Delamination
4. Conclusions
Author Contributions
Conflicts of Interest
References
- Boria, S.; Scattina, A.; Belingardi, G. Impact behavior of a fully thermoplastic composite. Compos. Struct. 2017, 167, 63–75. [Google Scholar] [CrossRef]
- Karakuzu, R.; Erbil, E.; Aktas, M. Impact characterization of glass/epoxy composite plates: An experimental and numerical study. Compos. B Eng. 2010, 41, 388–395. [Google Scholar] [CrossRef]
- Wang, J.; Waas, A.M.; Wang, H. Experimental and numerical study on the low-velocity impact behavior of foam-core sandwich panels. Compos. Struct. 2013, 96, 298–311. [Google Scholar] [CrossRef]
- Thorsson, S.I.; Waas, A.M.; Rassaian, M. Low-velocity impact predictions of composite laminates using a continuum shell based modeling approach part A: Impact study. Int. J. Solids Struct. 2018, 155, 185–200. [Google Scholar] [CrossRef]
- Dhakal, H.N.; Ismail, S.O.; Jiang, C.; Zhang, Z.; Sweatman, T. Influence of barely visible impact damage on post-impact residual flexural properties of hybrid Fibri Rock–Aero Eco-composites. Mater. Lett. 2018, 233, 233–237. [Google Scholar] [CrossRef]
- Khosravani, M.R.; Weinberg, K. Characterization of sandwich composite T-joints under different ageing conditions. Compos. Struct. 2018, 197, 80–88. [Google Scholar] [CrossRef]
- Khosravani, M.R.; Weinberg, K. Experimental investigations of the environmental effects on stability and integrity of composite sandwich T-joints: Experimentelle Untersuchung des Umwelteinflusses auf die Belastbarkeit von T-Stößen in Sandwich-Platten. Materialwiss. Werkstofftech. 2017, 48, 753–759. [Google Scholar] [CrossRef]
- Swolfs, Y.; Crauwels, L.; Breda, E.V.; Gorbatikh, L.; Hine, P.; Ward, I.; Verpoest, I. Tensile behaviour of intralayer hybrid composites of carbon fibre and self-reinforced polypropylene. Compos. Part A Appl. Sci. Manuf. 2014, 59, 78–84. [Google Scholar] [CrossRef]
- Yu, H.N.; Longana, M.L.; Jalalvand, M.; Wisnom, M.R.; Potter, K.D. Pseudo-ductility in intermingled carbon/glass hybrid composites with highly aligned discontinuous fibres. Compos. Part A Appl. Sci. Manuf. 2015, 73, 35–44. [Google Scholar] [CrossRef]
- Oya, N.; Hamada, H. Effects of reinforcing fibre properties on various mechanical behaviors of unidirectional carbon/epoxy laminates. Sci. Eng. Compos. Mater. 1996, 5, 105–130. [Google Scholar] [CrossRef]
- Davies, I.J. Flexural failure of unidirectional hybrid fibre-reinforced polymer (frp) composites containing different grades of glass fibre. Adv. Mater. Res. 2008, 41, 357–362. [Google Scholar]
- Ikbal, M.H.; Ahmed, A.; Wang, Q.; Shuai, Z.; Wei, L. Hybrid composites made of unidirectional T600S carbon and E-glass fabrics under quasi-static loading. J. Ind. Text. 2017, 46, 1511–1535. [Google Scholar] [CrossRef]
- Ikbal, M.H.; Li, W. Effect of proportion of carbon fiber content and the dispersion of two fiber types on tensile and compressive properties of intra-layer hybrid composites. Text. Res. J. 2016, 87, 305–328. [Google Scholar] [CrossRef]
- Asaee, Z.; Taheri, F. Experimental and numerical investigation into the influence of stacking sequence on the low-velocity impact response of new 3D FMLs. Compos. Struct. 2016, 140, 136–146. [Google Scholar] [CrossRef]
- Belgacem, L.; Ouinas, D.; Olay, J.A.V.; Amado, A.A. Experimental investigation of notch effect and ply number on mechanical behavior of interply hybrid laminates (glass/carbon/epoxy). Compos. Part B Eng. 2018, 145, 189–196. [Google Scholar] [CrossRef]
- Jiang, H.; Ren, Y.; Gao, B.; Xiang, J. Numerical investigation on links between the stacking sequence and energy absorption characteristics of fabric and unidirectional composite sinusoidal plate. Compos. Struct. 2017, 171, 382–402. [Google Scholar] [CrossRef]
- Riccio, A.; Felice, G.D.; Saputo, S.; Scaramuzzino, F. Stacking sequence effects on damage onset in composite laminate subjected to low velocity impact. Procedia Eng. 2014, 88, 222–229. [Google Scholar] [CrossRef]
- Fiore, V.; Scalici, T.; Sarasini, F.; Tirilló, J.; Calabrese, L. Salt-fog spray aging of jute-basalt reinforced hybrid structures: Flexural and low velocity impact response. Compos. Part B Eng. 2017, 116, 99–112. [Google Scholar] [CrossRef]
- González, E.; Maimí, P.; De Aja, J.S.; Cruz, P.; Camanho, P. Effects of interply hybridization on the damage resistance and tolerance of composite laminates. Compos. Struct. 2014, 108, 319–331. [Google Scholar] [CrossRef]
- Özben, T. Impact behavior of hybrid composite plates dependent on curing and different stacking sequences. Mater. Test. 2016, 58, 442–447. [Google Scholar] [CrossRef]
- Sarasini, F.; Tirillò, J.; Valente, M.; Valente, T.; Cioffi, S.; Iannace, S.; Sorrentino, L. Effect of basalt fiber hybridization on the impact behavior under low impact velocity of glass/basalt woven fabric/epoxy resin composites. Compos. Part A Appl. Sci. Manuf. 2013, 47, 109–123. [Google Scholar] [CrossRef]
- Swolfs, Y.; Geboes, Y.; Gorbatikh, L.; Pinho, S.T. The importance of translaminar fracture toughness for the penetration impact behaviour of woven carbon/glass hybrid composites. Compos. Part A Appl. Sci. Manuf. 2017, 103, 1–8. [Google Scholar] [CrossRef]
- Fragassa, C.; Pavlovic, A.; Santulli, C. Mechanical and impact characterisation of flax and basalt fibre vinylester composites and their hybrids. Compos. Part B Eng. 2017, 137, 247–259. [Google Scholar] [CrossRef]
- Hung, P.Y.; Lau, K.T.; Cheng, L.K.; Leng, J.; Hui, D. Impact response of hybrid carbon/glass fibre reinforced polymer composites designed for engineering applications. Compos. Part B Eng. 2018, 133, 86–90. [Google Scholar] [CrossRef]
- Zhu, D.; Chen, Q.; Ma, Z. Impact behavior and damage characteristics of hybrid composites reinforced by Ti fibers and M40 fibers. Mater. Des. 2015, 76, 196–201. [Google Scholar] [CrossRef]
- Sayer, M.; Bekta, N.B.; Çallio, H. Impact behavior of hybrid composite plates. J. Appl. Polym. Sci. 2010, 118, 580–587. [Google Scholar] [CrossRef]
- Sun, Y.; Shi, B.H.; Tao, L.I.; Liu, L.M.; Chen, L. Experimental research on the impact properties of aramid/UHMWPE fiber hybrid composite laminates. J. Solid Rock Technol. 2016, 39, 709–714. [Google Scholar]
- Yang, B.; Wang, Z.; Zhou, L.; Zhang, J.; Liang, W. Experimental and numerical investigation of interply hybrid composites based on woven fabrics and PCBT resin subjected to low-velocity impact. Compos. Struct. 2015, 132, 464–476. [Google Scholar] [CrossRef]
- Park, R.; Jang, J. The effects of Hybridization on the mechanical performance of aramid/polyethylene intraply fabric composites. Compos. Sci. Technol. 1998, 58, 1621–1628. [Google Scholar] [CrossRef]
- Pegoretti, P.A.; Fabbri, E.; Migliaresi, C.; Pilati, F. Intraply and interply hybrid composites based on E-glass and poly(vinyl alcohol) woven fabrics: Tensile and impact properties. Polym. Int. 2010, 53, 1290–1297. [Google Scholar] [CrossRef]
- Guillamet, G.; Turon, A.; Costa, J.; Renart, J.; Linde, P.; Mayugo, J.A. Damage occurrence at edges of non-crimp-fabric thin-ply laminates under off-axis uniaxial loading. Compos. Sci. Technol. 2014, 98, 44–50. [Google Scholar] [CrossRef]
- Sun, M.; Wang, Z.; Yang, B.; Sun, X. Experimental investigation of GF/epoxy laminates with different SMAs positions subjected to low-velocity impact. Compos. Struct. 2017, 171, 170–184. [Google Scholar] [CrossRef]
- Shyr, T.W.; Pan, Y.H. Impact resistance and damage characteristics of composite laminates. Compos. Struct. 2003, 62, 193–203. [Google Scholar] [CrossRef]
- Zhang, D.; Sun, Y.; Chen, L.; Pan, N. A comparative study on low-velocity impact response of fabric composite laminates. Mater. Des. 2013, 50, 750–756. [Google Scholar] [CrossRef]
- Sarasini, F.; Tirillò, J.; D’Altilia, S.; Valente, T.; Santulli, C.; Touchard, F.; Chocinski-Arnault, L.; Mellier, D.; Lampani, L.; Gaudenzi, P. Damage tolerance of carbon/flax hybrid composites subjected to low velocity impact. Compos. Part B Eng. 2016, 91, 144–153. [Google Scholar] [CrossRef]
- Yang, K.; Zhu, B.; Cao, W.; Wang, Y.; Zhou, S. Application of high-performance fiber in bulletproof composite materials. Mater. Rev. 2015, 13, 24–28. [Google Scholar]











| Fabric Type | Areal Density (g/m2) | Ratio of C/G | |
|---|---|---|---|
| Carbon Fiber | Glass Fiber | ||
| Carbon | 728.3 | 0 | 1:0 |
| Glass | 0 | 944.9 | 0:1 |
| C-G | 364.2 | 472.4 | 1:1 |
| C-C-G-G | 364.2 | 472.4 | 1:1 |
| Structure | Non-Hybrid | Interlayer | |
|---|---|---|---|
| Stacking sequences | ![]() | ![]() | ![]() |
| Nomenclature | CF | GF | I-C |
| Structure | Sandwich | Intralayer | |
| Stacking sequences | ![]() | ![]() | ![]() |
| Nomenclature | S-C | 1:1 | 2:2 |
© 2018 by the authors. Licensee MDPI, Basel, Switzerland. This article is an open access article distributed under the terms and conditions of the Creative Commons Attribution (CC BY) license (http://creativecommons.org/licenses/by/4.0/).
Share and Cite
Zhang, C.; Rao, Y.; Li, Z.; Li, W. Low-Velocity Impact Behavior of Interlayer/Intralayer Hybrid Composites Based on Carbon and Glass Non-Crimp Fabric. Materials 2018, 11, 2472. https://doi.org/10.3390/ma11122472
Zhang C, Rao Y, Li Z, Li W. Low-Velocity Impact Behavior of Interlayer/Intralayer Hybrid Composites Based on Carbon and Glass Non-Crimp Fabric. Materials. 2018; 11(12):2472. https://doi.org/10.3390/ma11122472
Chicago/Turabian StyleZhang, Chen, Yunfei Rao, Zhe Li, and Wei Li. 2018. "Low-Velocity Impact Behavior of Interlayer/Intralayer Hybrid Composites Based on Carbon and Glass Non-Crimp Fabric" Materials 11, no. 12: 2472. https://doi.org/10.3390/ma11122472
APA StyleZhang, C., Rao, Y., Li, Z., & Li, W. (2018). Low-Velocity Impact Behavior of Interlayer/Intralayer Hybrid Composites Based on Carbon and Glass Non-Crimp Fabric. Materials, 11(12), 2472. https://doi.org/10.3390/ma11122472







