Copper Tridentate Schiff Base Complex Supported on SBA-15 as Efficient Nanocatalyst for Three-Component Reactions under Solventless Conditions
Abstract
:1. Introduction
2. Materials and Methods
2.1. Preparation of L1@SBA-15
2.2. Preparation of L2@SBA-15
2.3. Preparation of Cu@SBA-15
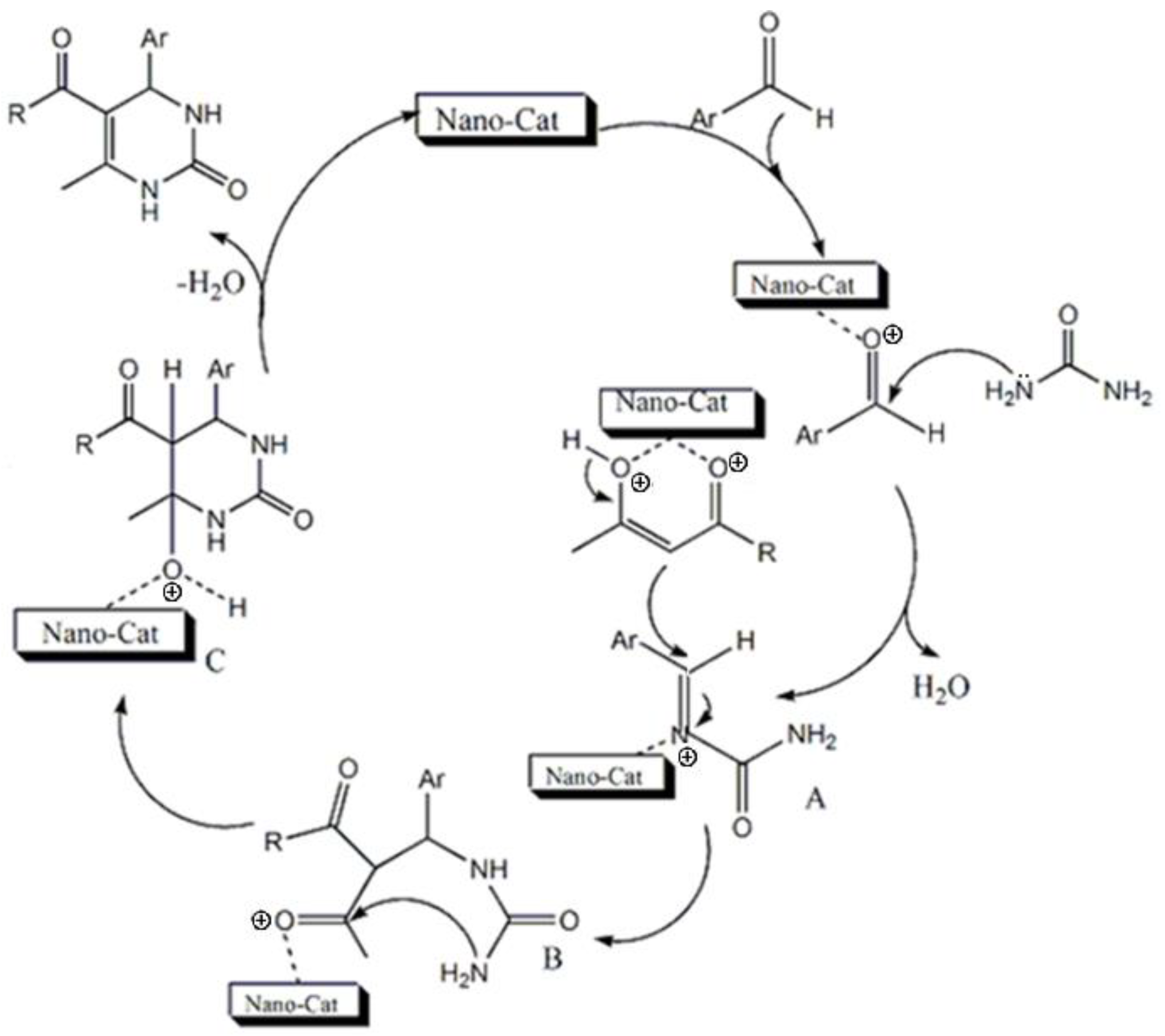
2.4. Preparation of 3,4-Dihydropyrimidin-2(1H)-One
3. Results and Discussion
4. Conclusions
Supplementary Materials
Author Contributions
Funding
Acknowledgments
Conflicts of Interest
References
- Mayer, T.U.; Kapoor, T.M.; Haggarty, S.J.; King, R.W.; Schreiber, S.L.; Mitchison, T.J. Small molecule inhibitor of mitotic spindle bipolarity identified in a phenotype-based screen. Science 1999, 286, 971–974. [Google Scholar] [CrossRef] [PubMed]
- Kappe, C.O. Recent advances in the Biginelli dihydropyrimidine synthesis. New tricks from an old dog. Acc. Chem. Res. 2000, 33, 879–888. [Google Scholar] [CrossRef] [PubMed]
- Bahekar, S.S.; Shinde, D.B. Synthesis and anti-inflammatory activity of some [4,6-(4-substituted aryl)-2-thioxo-1,2,3,4-tetrahydro-pyrimidin-5-yl]-acetic acid derivatives. Bioorg. Med. Chem. Lett. 2004, 14, 1733–1736. [Google Scholar] [CrossRef] [PubMed]
- Brown, A.M.; Kunze, D.L.; Yatani, A. The agonist effect of dihydropyridines on Ca channels. Nature 1984, 311, 570–572. [Google Scholar] [CrossRef] [PubMed]
- Bruce, M.A.; Pointdexter, G.S.; Johnson, G. Dihydropyrimidone derivatives as NPY antagonists. PCT Int. Appl. WO 1998, 98, 791. [Google Scholar]
- Evans, P.A.; Manangan, T. Corrigendum to “Stereoselective construction of the azabicyclic core applicable to the biologically important polyguanidinium alkaloids batzelladine A and D using a free radical cyclization. Tetrahedron Lett. 2005, 46, 8811–8812. [Google Scholar] [CrossRef]
- Heda, L.C.; Sharma, R.; Pareek, C.; Chaudhari, P.B. Synthesis and Antimicrobial Activity of Some Derivatives of 5-Substituted Indole Dihydropyrimidines. J. Chem. 2009, 6, 770–774. [Google Scholar]
- Akhaja, T.N.; Raval, J.P. Design, synthesis, in vitro evaluation of tetrahydropyrimidine-isatin hybrids as potential antibacterial, antifungal and anti-tubercular agents. Chin. Chem. Lett. 2012, 23, 446–449. [Google Scholar] [CrossRef]
- Biginelli, P. Derivati aldeiduredici degli eteri acetil- edossal-acetico. Gazz. Chim. Ital. 1893, 23, 360–416. [Google Scholar]
- Dondoni, A.; Massi, A. Parallel synthesis of dihydropyrimidinones using Yb(III)-resin and polymer-supported scavengers under solvent-free conditions. A green chemistry approach to the Biginelli reaction. Tetrahedron Lett. 2001, 42, 7975–7978. [Google Scholar] [CrossRef]
- Ahn, B.J.; Gang, M.S.; Chae, K.; Oh, Y.; Shin, J.; Chalg, W. A microwave-assisted synthesis of 3,4-dihydro-pyrimidin-2-(1H)-ones catalyzed by FeCl3-supported Nanopore Silica under solvent-free conditions. J. Ind. Eng. Chem. 2008, 14, 401–405. [Google Scholar] [CrossRef]
- Zhang, X.; Li, Y.; Liu, C.; Wang, J. An efficient synthesis of 4-substituted pyrazolyl-3,4-dihydropyrimidin-2(1H)-(thio)ones catalyzed by Mg(ClO4)2 under ultrasound irradiation. J. Mol. Catal. A 2006, 253, 207–211. [Google Scholar] [CrossRef]
- Foroughifar, N.; Mobinikhaledi, A.; Fathinejad Jirandehi, H. Synthesis of some biginelli compounds in solvent medium using a photochemistry method. Phosphorus Sulfur. Silicon Relat. Elem. 2003, 178, 495–500. [Google Scholar] [CrossRef]
- Sadek, K.U.; Al-Qalaf, F.; Abdelkhalik, M.M.; Elnagdi, M.H. Cerium (IV) Ammonium Nitrate as an Efficient Lewis Acid for One-Pot Synthesis of 3,4-Dihydropyri-midin-2(1H)-ones and their Corresponding 2(1H)-thiones. J. Heterocyclic. Chem. 2010, 47, 284–286. [Google Scholar]
- Reddy, C.V.; Mahesh, M.; Raju, P.V.K.; Babu, T.R.; Reddy, V.V.N. Zirconium(IV) chloride catalyzed one-pot synthesis of 3,4-dihydropyrimidin-2(1H)-ones. Tetrahedron Lett. 2002, 43, 2657–2659. [Google Scholar] [CrossRef]
- Borse, B.N.; Borude, V.S.; Shukla, S.R. Synthesis of novel dihydropyrimidin-2(1H)-ones derivatives using lipase and their antimicrobial activity. Curr. Chem. Lett. 2012, 1, 59–68. [Google Scholar] [CrossRef]
- Lu, J.; Bai, Y.; Wang, Z.; Yang, B.; Ma, H. One-pot synthesis of dihydropyrimdin-2(1H)-ones using Lanthanum chloride as a catalyst. Tetrahedron Lett. 2000, 41, 9075–9078. [Google Scholar] [CrossRef]
- Zhao, D.; Feng, J.; Huo, Q.; Melosh, N.; Fredrickson, G.H.; Chmelka, B.F.; Stucky, G.D. Triblock Copolymer Syntheses of Mesoporous Silica with Periodic 50 to 300 Angstrom Pores. Science 1998, 279, 548–552. [Google Scholar] [CrossRef] [PubMed]
- Xu, D.Z.; Li, H.; Wang, Y. Highly enantioselective Biginelli reaction catalyzed by a simple chiral primary amine catalyst: asymmetric synthesis of dihydropyrimidines. Tetrahedron 2012, 68, 7867–7872. [Google Scholar] [CrossRef]
- Revanna, C.N.; Raghavendra, G.M.; Vijay, T.; Rangappa, K.S.; Badregowda, D.G.; Mantelingu, K. Propylphosphonic anhydride catalyzed tandem approach for Biginelli reaction starting from alcohols. Chem. Lett. 2014, 43, 178–180. [Google Scholar] [CrossRef]
- Kumar, S.P.; Anima, B.; Prasenjit, M. Solvent-Free Ball-Milling Biginelli Reaction by Subcomponent Synthesis. Eur. J. Org. Chem. 2015, 32, 6994–6998. [Google Scholar]
- Shockravi, A.; Kamali, M.; Sharifi, N.; Nategholeslam, M.; Pahlavan Moghanlo, S. One-Pot and Solvent-Free Synthesis of 1,4-Dihydropyridines and 3,4-Dihydropyrimidine-2-ones Using New Synthetic Recyclable Catalyst via Biginelli and Hantzsch Reactions. Synth. Commun. 2013, 43, 1477–1483. [Google Scholar] [CrossRef]
- Safari, J.; Zarnegar, Z. Brønsted acidic ionic liquid based magnetic nanoparticles: A new promoter for the Biginelli synthesis of 3,4-dihydropyrimidin-2(1H)-ones/thiones. New. J. Chem. 2014, 38, 358–365. [Google Scholar] [CrossRef]
- Song, Q.; An, X.; Che, F.; Shen, T. Novel and Efficient Synthesis of DHPMs Catalyzed by di-DACH-Pyridylamide Ligands. J. Heterocyclic. Chem. 2015, 52, 1496–1502. [Google Scholar] [CrossRef]
- Mabry, J.; Ganem, B. Studies on the Biginelli reaction: A mild and selective route to 3,4-dihydropyrimidin-2(1H)-ones via enamine intermediates. Tetrahedron Lett. 2006, 47, 55–56. [Google Scholar] [CrossRef]
- Safa, K.D.; Esmaili, M.; Allahvirdi Nesbat, M. Aqua-mediated one-pot synthesis of Biginelli dihydropyrimidinone/thiones (DHPMs), Hantzsch dihydropyridines (DHPs), and polysubstituted pyridines sonocatalyzed by metal-supported nanocatalysts. J. Iran. Chem. Soc. 2016, 13, 267–277. [Google Scholar] [CrossRef]
- Kolvari, E.; Koukabi, N.; Hosseini, M.M.; Vahidian, M.; Ghobadi, E. Nano-ZrO2 sulfuric acid: A heterogeneous solid acid nano catalyst for Biginelli reaction under solvent free conditions. RSC Adv. 2016, 6, 7419–7425. [Google Scholar] [CrossRef]
- Kolvari, E.; Koukabi, N.; Armandpour, O. A simple and efficient synthesis of 3,4-dihydropyrimidin-2-(1H)-ones via Biginelli reaction catalyzed by nanomagnetic-supported sulfonic acid. Tetrahedron 2014, 70, 1383–1386. [Google Scholar] [CrossRef]
- Ghasemi, Z.; Farshbaf Orafa, F.; Pirouzmand, M.; Zarrini, G.; Nikzad Kojanag, B.; Salehi, R. Zn2+/MCM-41 catalyzed Biginelli reaction of heteroaryl aldehydes and evaluation of the antimicrobial activity and cytotoxicity of the pyrimidone products. Tetrahedron Lett. 2015, 56, 6393–6396. [Google Scholar] [CrossRef]
- Karimi, B.; Mobaraki, A.; Mirzaei, H.M.; Zareyee, D.; Vali, H. Improving the selectivity toward three-component Biginelli versus Hantzsch reaction by controlling the hydrophobic/hydrophilic balance in the nanospaces of mesoporous based sulfonic acid catalysts. Chem. Cat. Chem. 2014, 6, 212–219. [Google Scholar]
- Ramos, L.M.; Guido, B.C.; Nobrega, C.C.; Correa, J.R.; Silva, R.G.; De Oliveira, H.C.B.; Gomes, A.F.; Gozzo Fabio, C.; Neto, B.A.D. The Biginelli reaction with an imidazolium–tagged recyclable iron catalyst: Kinetics, mechanism, and antitumoral activity. Chem. Eur. J. 2013, 19, 4156–4168. [Google Scholar] [CrossRef] [PubMed]
- Shirini, F.; Abedini, M.; Pourhasan-Kisomi, R. N-Sulfonic acid poly(4-vinylpyridinium) chloride as a highly efficient and reusable catalyst for the Biginelli reaction. Chin. Chem. Lett. 2014, 25, 111–114. [Google Scholar] [CrossRef]
- Besoluk, S.; Kucukislamoglu, M.; Zengin, M.; Arslan, M.; Nebioglu, M. Synthesis of dihydropyrimidinones catalyzed by zirconium hydrogen phosphate under solvent-free conditions. Turk. J. Chem. 2010, 34, 411–416. [Google Scholar]
- Zheng, R.; Wang, X.; Xu, H.; Du, J. Brønsted Acidic Ionic Liquid: An Efficient and Reusable Catalyst for the Synthesis of 3,4-Dihydropyrimidin-2(1H)-ones. Synth. Commun. 2006, 36, 1503–1513. [Google Scholar] [CrossRef]
- Zare, A.; Nasouri, Z. A green approach for the synthesis of 3,4-dihydropyrimidin-2-(1H)-ones (and -thiones) using N,N-diethyl-N-sulfoethanaminium hydrogen sulfate. J. Mol. Liq. 2016, 216, 364–369. [Google Scholar] [CrossRef]
- Valizadeh, H.; Gholipur, H.; Zarrebin, R.; Amiri, M.; Sabzi, M.R. Titanium(IV) chloride catalyzed one-pot synthesis of 3,4-dihydropyrimidin-2-(1h)-ones under solvent-free conditions via three-component Biginelli reaction. Phosphorus Sulfur. Silicon Relat. Elem. 2008, 183, 1552–1555. [Google Scholar] [CrossRef]
- Dong, F.; Jun, L.; Xinli, Z.; Zhiwen, Y.; Zuliang, L. One-pot green procedure for Biginelli reaction catalyzed by novel task-specific room temperature ionic liquids. J. Mol. Catal. A Chem. 2007, 274, 208–211. [Google Scholar] [CrossRef]
- Chaudhary, G.R.; Bansal, B.; Mehta, S.K. Recyclable CuS quantum dots as heterogeneous catalyst for Biginelli reaction under solvent free conditions. Chem. Eng. J. 2014, 243, 217–224. [Google Scholar] [CrossRef]
- Li, P.; Regati, S.R.; Butcher, R.J.; Arman, H.D.; Chen, Z.; Xiang, S.; Chen, B.; Zhao, C.G. Hydrogen-bonding 2D metal-organic solids as highly robust and efficient heterogeneous green catalysts for Biginelli reaction. Tetrahedron Lett. 2011, 52, 6220–6222. [Google Scholar] [CrossRef]
- Shobha, D.; Chari, M.A.; Mano, A.; Selvan, S.T.; Mukkanti, K.; Vinu, A. Synthesis of 3,4-dihydropyrimidin-2-ones (DHPMs) using mesoporous aluminosilicate (AlKIT-5) catalyst with cage type pore structure. Tetrahedron 2009, 65, 10608–10611. [Google Scholar] [CrossRef]
- Liberto, N.A.; Silva, S.d.P.; Fatima, A.D.; Fernandes, S.A. β-Cyclodextrin-assisted synthesis of Biginelli adducts under solvent-free conditions. Tetrahedron 2013, 69, 8245–8249. [Google Scholar] [CrossRef]
- Bigi, F.; Carloni, S.; Frullanti, B.; Maggi, R.; Sartori, G. A revision of the Biginelli reaction under solid acid catalysis. Solvent-free synthesis of dihydropyrimidines over montmorillonite KSF. Tetrahedron Lett. 1999, 40, 3465–3468. [Google Scholar] [CrossRef]
- Ahmed, B.; Habibullah Khan, R.A.; Keshari, M. An improved synthesis of Biginelli-type compounds via phase-transfer catalysis. Tetrahedron Lett. 2009, 50, 2889–2892. [Google Scholar] [CrossRef]






| Entry | Cu@SBA-15 (mg) | Solvent | Temp. (°C) | Yield (%)a |
|---|---|---|---|---|
| 1 | - | - | 100 | <20 |
| 2 | 4 | - | 100 | 48 |
| 3 | 6 | - | 100 | 78 |
| 4 | 8 | - | 100 | 87 |
| 5 | 10 | - | 100 | 94 |
| 6 | 12 | - | 100 | 94 |
| 8 | 10 | - | 25 | 25 |
| 9 | 10 | - | 60 | 41 |
| 10 | 10 | - | 80 | 78 |
| 12 | 10 | EtOH | Reflux | 73 |
| 13 | 10 | CHCl3 | Reflux | 35 |
| 14 | 10 | THF | Reflux | 38 |
| 15 | 10 | DMF | Reflux | 75 |
| 16 | 10 | CH3CN | Reflux | 65 |
| Entry | Aldehyde | β-Keto Ester | Time (min) | Yield (%) b | Mp (°C) | Ref |
|---|---|---|---|---|---|---|
| 1a | ![]() | Ethyl acetoacetate | 5 | 94 | 201–203 | [19] |
| 2a | ![]() | Ethyl acetoacetate | 5 | 91 | 211–213 | [20] |
| 3a | ![]() | Ethyl acetoacetate | 5 | 92 | 210–212 | [21] |
| 4a | ![]() | Ethyl acetoacetate | 5 | 82 | 217–219 | [22] |
| 5a | ![]() | Ethyl acetoacetate | 10 | 75 | 215–217 | [23] |
| 6a | ![]() | Ethyl acetoacetate | 6 | 77 | 245–247 | [24] |
| 7a | ![]() | Ethyl acetoacetate | 5 | 89 | 264–267 | New |
| 1b | ![]() | Methyl acetoacetate | 5 | 90 | 221–223 | [25] |
| 2b | ![]() | Methyl acetoacetate | 5 | 88 | 233–235 | [26] |
| 3b | ![]() | Methyl acetoacetate | 5 | 85 | 154–156 | [27] |
| 4b | ![]() | Methyl acetoacetate | 5 | 72 | 243–244 | [28] |
| 5b | ![]() | Methyl acetoacetate | 10 | 78 | 221–222 | [29] |
| 6b | ![]() | Methyl acetoacetate | 10 | 70 | 221–223 | [30] |
| 7b | ![]() | Methyl acetoacetate | 5 | 89 | 268–270 | New |
| 1c | ![]() | Acethyl acetone | 5 | 91 | 231–233 | [31] |
| 2c | ![]() | Acethyl acetone | 5 | 88 | 229–230 | [32] |
| 3c | ![]() | Acethyl acetone | 5 | 87 | 204–206 | [33] |
| 4c | ![]() | Acethyl acetone | 5 | 73 | 215–217 | [34] |
| 5c | ![]() | Acethyl acetone | 10 | 71 | 231–233 | [35] |
| 6c | ![]() | Acethyl acetone | 10 | 70 | 233–236 | - |
| 7c | ![]() | Acethyl acetone | 5 | 90 | 128–130 | - |
| Entry | condition/Catalyst | Time | Conversion (%) | Ref. |
|---|---|---|---|---|
| 1 | Cu@SBA-15 | 5 min | 94 | This work |
| 2 | TiCl4/Solvent free/80 °C | 60 s | 75 | [36] |
| 3 | TSILS (ionic liquids)/90 °C | 10 min | 94 | [37] |
| 4 | CuS QD/MW | 120 min | 97 | [38] |
| 5 | Zn-MOF/Solvent free/80 °C | 110 min | 94 | [39] |
| 6 | ALKIT-5(10)/CH3CN/Reflux | 180 min | 96 | [40] |
| 7 | β-Cyclodexterin (0.5 mol%)/Solvent free/100 °C | 180 min | 85 | [41] |
| 8 | Montmorillonite KSF/Toluene/100 °C | 48 h | 82 | [42] |
| 9 | 10 mol% Acid/1,4-dioxane/CHCl3(8:2)/25 °C | 3 days | 96 | [43] |
© 2018 by the authors. Licensee MDPI, Basel, Switzerland. This article is an open access article distributed under the terms and conditions of the Creative Commons Attribution (CC BY) license (http://creativecommons.org/licenses/by/4.0/).
Share and Cite
Diarjani, E.S.; Rajabi, F.; Yahyazadeh, A.; Puente-Santiago, A.R.; Luque, R. Copper Tridentate Schiff Base Complex Supported on SBA-15 as Efficient Nanocatalyst for Three-Component Reactions under Solventless Conditions. Materials 2018, 11, 2458. https://doi.org/10.3390/ma11122458
Diarjani ES, Rajabi F, Yahyazadeh A, Puente-Santiago AR, Luque R. Copper Tridentate Schiff Base Complex Supported on SBA-15 as Efficient Nanocatalyst for Three-Component Reactions under Solventless Conditions. Materials. 2018; 11(12):2458. https://doi.org/10.3390/ma11122458
Chicago/Turabian StyleDiarjani, Elham Sadat, Fatemeh Rajabi, Asieh Yahyazadeh, Alain R. Puente-Santiago, and Rafael Luque. 2018. "Copper Tridentate Schiff Base Complex Supported on SBA-15 as Efficient Nanocatalyst for Three-Component Reactions under Solventless Conditions" Materials 11, no. 12: 2458. https://doi.org/10.3390/ma11122458
APA StyleDiarjani, E. S., Rajabi, F., Yahyazadeh, A., Puente-Santiago, A. R., & Luque, R. (2018). Copper Tridentate Schiff Base Complex Supported on SBA-15 as Efficient Nanocatalyst for Three-Component Reactions under Solventless Conditions. Materials, 11(12), 2458. https://doi.org/10.3390/ma11122458






















