Using Electrospinning-Based Carbon Nanofiber Webs for Methanol Crossover Control in Passive Direct Methanol Fuel Cells
Abstract
:1. Introduction
2. Results and Discussion
2.1. Characterization of the CNWs
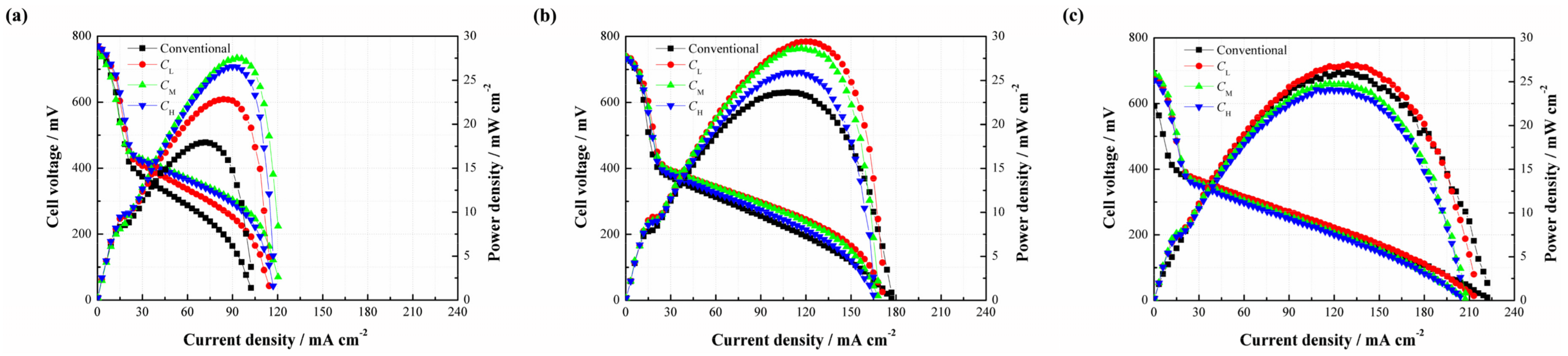
2.2. Effects of the PAN Concentration on the Performance of DMFCs
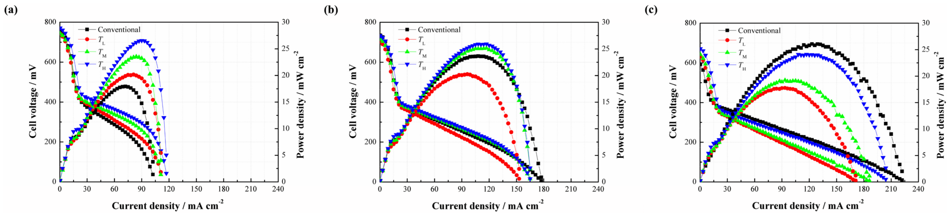
2.3. Effects of the Carbonizing Temperature on the Performance of DMFCs
2.4. Dynamic Characteristics
2.5. Stability Evaluation
3. Materials and Methods
3.1. Fabrication of the Carbon Nanofiber Webs (CNWs)
3.2. Preparation of the Passive Air-Breathing Direct Methanol Fuel Cells
- Membrane: Nafion® 117 (Dupont, Inc., Wilmington, DE, USA);
- Catalyst loading on the cathode side: 2 mg/cm2 Pt (Johnson Matthey, Inc., London, UK);
- Catalyst loading on the anode side: 4 mg/cm2 Pt-Ru (Johnson Matthey, Inc., London, UK);
- Cathode gas diffusion layer: wet-proofed carbon paper (Toray, Inc., Tokyo, Japan);
- Anode gas diffusion layer: untreated carbon paper (Toray, Inc., Tokyo, Japan);
- Active area: 30 mm × 30 mm.
3.3. Testing Setup and Experimental Strategy
4. Conclusions
Acknowledgments
Author Contributions
Conflicts of Interest
References
- Rivera Gavidia, L.M.; Sebastián, D.; Pastor, E.; Aricò, A.S.; Baglio, V. Carbon-supported Pd and PdFe alloy catalysts for direct methanol fuel cell cathodes. Materials 2017, 10, 580. [Google Scholar] [CrossRef] [PubMed]
- Lai, Q.Z.; Yin, G.P.; Wang, Z.B.; Du, C.Y.; Zuo, P.J.; Cheng, X.Q. Influence of methanol crossover on the fuel utilization of passive direct methanol fuel cell. Fuel Cells 2008, 8, 399–403. [Google Scholar] [CrossRef]
- Zhang, Y.F.; Li, J.; Ma, L.; Cai, W.W.; Cheng, H.S. Recent developments on alternative proton exchange membranes: Strategies for systematic performance improvement. Energy Technol. 2015, 3, 675–691. [Google Scholar] [CrossRef]
- Li, X.L.; Faghri, A.; Xu, C. Water management of the DMFC passively fed with a high-concentration methanol solution. Int. J. Hydrogen Energy 2010, 35, 8690–8698. [Google Scholar] [CrossRef]
- Nakagawa, N.; Abdelkareem, M.A.; Sekimoto, K. Control of methanol transport and separation in a DMFC with a porous support. J. Power Sources 2006, 160, 105–115. [Google Scholar] [CrossRef]
- Shaffer, C.E.; Wang, C.Y. High concentration methanol fuel cells: Design and theory. J. Power Sources 2010, 195, 4185–4195. [Google Scholar] [CrossRef]
- Pan, Y.H. Advanced air-breathing direct methanol fuel cells for portable applications. J. Power Sources 2006, 161, 282–289. [Google Scholar] [CrossRef]
- Kim, W.J.; Choi, H.G.; Lee, Y.K.; Nam, J.D.; Cho, S.M.; Chuang, C.H. Suppression of the methanol crossover by hydrogels in passively operated flat-pack type DMFCs and its application for the power source of cellular phone. J. Power Sources 2006, 163, 98–102. [Google Scholar] [CrossRef]
- Wu, H.J.; Zhang, H.F.; Chen, P.; Guo, J.; Yuan, T.; Zheng, J.; Yang, H. Integrated anode structure for passive direct methanol fuel cells with neat methanol operation. J. Power Sources 2014, 248, 1264–1269. [Google Scholar] [CrossRef]
- Yuan, W.; Tang, Y.; Yang, X.J.; Wan, Z.P. Toward using porous metal-fiber sintered plate as anodic methanol barrier in a passive direct methanol fuel cell. Int. J. Hydrogen Energy 2012, 37, 13510–13521. [Google Scholar] [CrossRef]
- Xu, C.; Faghri, A.; Li, X.L.; Ward, T. Methanol and water crossover in a passive liquid-feed direct methanol fuel cell. Int. J. Hydrogen Energy 2010, 35, 1769–1777. [Google Scholar] [CrossRef]
- Yan, X.H.; Zhao, T.S.; An, L.; Zhao, G.; Zeng, L. A micro-porous current collector enabling passive direct methanol fuel cells to operate with highly concentrated fuel. Electrochim. Acta 2014, 139, 7–12. [Google Scholar] [CrossRef]
- Dabirian, F.; Ravandi, S.A.H.; Sanatgar, R.H. Manufacturing of twisted continuous PAN nanofiber yarn by electrospinning process. Fibers Polym. 2013, 12, 610–615. [Google Scholar] [CrossRef]
- Zhang, L.F.; Aboagye, A.; Kelker, A.; Lai, C.; Fong, H. A review: Carbon nanofibers from electrospun polyacrylonitrile and their applications. J. Mater. Sci. 2014, 49, 463–480. [Google Scholar] [CrossRef]
- Liu, F.; Wang, C.Y. Water and methanol crossover in direct methanol fuel cells-Effect of anode diffusion media. Electrochim. Acta 2008, 53, 5517–5522. [Google Scholar] [CrossRef]
- Lu, G.; Wang, C. Electrochemical and flow characterization of a direct methanol fuel cell. J. Power Sources 2004, 134, 33–40. [Google Scholar] [CrossRef]
- Zhang, J.; Yin, G.P.; Lai, Q.Z. The influence of anode gas diffusion layer on the performance of low-temperature DMFC. J. Power Sources 2007, 168, 453–458. [Google Scholar] [CrossRef]
- Yuan, W.; Tang, Y.; Yang, X.J. High-concentration operation of a passive air-breathing direct methanol fuel cell integrated with a porous methanol barrier. Renew. Energy 2013, 50, 741–746. [Google Scholar] [CrossRef]









| Sample Pattern | Penetrating Time of 4 M Methanol (s) | Average Thickness (μm) | Resistivity (×10−3 Ω·m) |
|---|---|---|---|
| CL | 16 | 42.61 | 1.10 |
| CM | 2 | 73.01 | 1.38 |
| CH | 1.8 | 116.49 | 1.92 |
| Sample Pattern | PAN:DMF (g:mL) | Carbonizing Temperature (°C) |
|---|---|---|
| CL | 0.8:7.3 | 1250 |
| CM | 1.0:7.3 | 1250 |
| CH | 1.2:7.3 | 1250 |
| TL | 1.2:7.3 | 800 |
| TM | 1.2:7.3 | 1000 |
| TH | 1.2:7.3 | 1250 |
© 2018 by the authors. Licensee MDPI, Basel, Switzerland. This article is an open access article distributed under the terms and conditions of the Creative Commons Attribution (CC BY) license (http://creativecommons.org/licenses/by/4.0/).
Share and Cite
Yuan, W.; Fang, G.; Li, Z.; Chen, Y.; Tang, Y. Using Electrospinning-Based Carbon Nanofiber Webs for Methanol Crossover Control in Passive Direct Methanol Fuel Cells. Materials 2018, 11, 71. https://doi.org/10.3390/ma11010071
Yuan W, Fang G, Li Z, Chen Y, Tang Y. Using Electrospinning-Based Carbon Nanofiber Webs for Methanol Crossover Control in Passive Direct Methanol Fuel Cells. Materials. 2018; 11(1):71. https://doi.org/10.3390/ma11010071
Chicago/Turabian StyleYuan, Wei, Guoyun Fang, Zongtao Li, Yonghui Chen, and Yong Tang. 2018. "Using Electrospinning-Based Carbon Nanofiber Webs for Methanol Crossover Control in Passive Direct Methanol Fuel Cells" Materials 11, no. 1: 71. https://doi.org/10.3390/ma11010071
APA StyleYuan, W., Fang, G., Li, Z., Chen, Y., & Tang, Y. (2018). Using Electrospinning-Based Carbon Nanofiber Webs for Methanol Crossover Control in Passive Direct Methanol Fuel Cells. Materials, 11(1), 71. https://doi.org/10.3390/ma11010071

