Theoretical Analysis and Design of Ultrathin Broadband Optically Transparent Microwave Metamaterial Absorbers
Abstract
1. Introduction
2. Theoretical Analysis and Design
2.1. Mathematical Analysis Based on Transmission Line Theory
2.2. Frequency-Dependent Characteristics of Equivalent Resistance
2.3. Tunable Design of Two-Peak OTMMAs
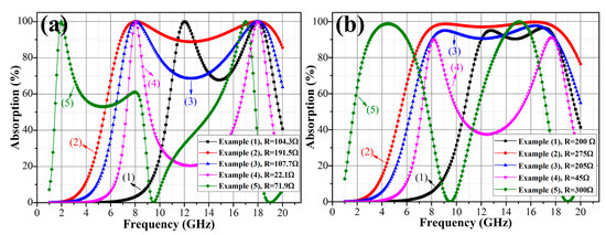
2.4. Tunable Design of Broadband OTMMAs
3. Verification and Experiment
4. Materials and Methods
4.1. Simulation
4.2. Preparation
4.3. Measurement
5. Conclusions
Acknowledgments
Author Contributions
Conflicts of Interest
References
- Pullar, R.C. Hexagonal ferrites: A review of the synthesis, properties and applications of hexaferrite ceramics. Prog. Mater. Sci. 2012, 57, 1191–1334. [Google Scholar] [CrossRef]
- Liu, P.J.; Yao, Z.J.; Zhou, J.T.; Yang, Z.H.; Kong, L.B. Small magnetic Co-doped NiZn ferrite/graphene nanocomposites and their dual-region microwave absorption performance. J. Mater. Chem. C 2016, 4, 9738–9749. [Google Scholar] [CrossRef]
- Takizawa, K.; Hashimoto, O. Transparent wave absorber using resistive thin film at V-band frequency. IEEE Trans. Microw. Theory Tech. 1999, 47, 1137–1141. [Google Scholar] [CrossRef]
- Haruta, M.; Wada, K.; Hashimoto, O. Wideband wave absorber at X frequency band using transparent resistive film. Microw. Opt. Technol. Let. 2000, 24, 223–226. [Google Scholar] [CrossRef]
- Wu, B.A.; Tuncer, H.M.; Naeem, M.; Yang, B.; Cole, M.T.; Milne, W.I.; Hao, Y. Experimental demonstration of a transparent graphene millimetre wave absorber with 28% fractional bandwidth at 140 GHz. Sci. Rep. 2014, 4. [Google Scholar] [CrossRef] [PubMed]
- Grande, M.; Bianco, G.V.; Vincenti, M.A.; de Ceglia, D.; Capezzuto, P.; Petruzzelli, V.; Scalora, M.; Bruno, G.; D’Orazio, A. Optically transparent microwave screens based on engineered graphene layers. Opt. Express 2016, 24, 22788–22795. [Google Scholar] [CrossRef] [PubMed]
- Schurig, D.; Mock, J.J.; Justice, B.J.; Cummer, S.A.; Pendry, J.B.; Starr, A.F.; Smith, D.R. Metamaterial electromagnetic cloak at microwave frequencies. Science 2006, 314, 977–980. [Google Scholar] [CrossRef] [PubMed]
- Landy, N.I.; Sajuyigbe, S.; Mock, J.J.; Smith, D.R.; Padilla, W.J. Perfect metamaterial absorber. Phys. Rev. Lett. 2008, 100, 207402. [Google Scholar] [CrossRef] [PubMed]
- Watts, C.M.; Liu, X.L.; Padilla, W.J. Metamaterial Electromagnetic Wave Absorbers. Adv. Mater. 2012, 24, OP98–OP120. [Google Scholar] [CrossRef] [PubMed]
- Ding, F.; Cui, Y.X.; Ge, X.C.; Jin, Y.; He, S.L. Ultra-broadband microwave metamaterial absorber. Appl. Phys. Lett. 2012, 100. [Google Scholar] [CrossRef]
- Liu, Y.H.; Gu, S.; Luo, C.R.; Zhao, X.P. Ultra-thin broadband metamaterial absorber. Appl. Phys. A-Mater. 2012, 108, 19–24. [Google Scholar] [CrossRef]
- Liu, T.; Kim, S. S. Design of wide-bandwidth electromagnetic wave absorbers using the inductance and capacitance of a square loop-frequency selective surface calculated from an equivalent circuit model. Opt. Commun. 2016, 359, 372–377. [Google Scholar] [CrossRef]
- Li, M.L.; Yi, Z.X.; Luo, Y.H.; Muneer, B.; Zhu, Q. A novel integrated switchable absorber and radiator. IEEE Trans. Antennas Propag. 2016, 64, 944–952. [Google Scholar] [CrossRef]
- Bychanok, D.; Li, S.; Sanchez-Sanchez, A.; Gorokhov, G.; Kuzhir, P.; Ogrin, F.Y.; Pasc, A.; Ballweg, T.; Mandel, K.; Szczurek, A.; et al. Hollow carbon spheres in microwaves: Bio inspired absorbing coating. Appl. Phys. Lett. 2016, 108. [Google Scholar] [CrossRef]
- Bychanok, D.; Li, S.; Gorokhov, G.; Piasotski, K.; Meisak, D.; Kuzhir, P.; Burgess, E.A.; Gallagher, C.P.; Ogrin, F.Y.; Hibbins, A.P.; et al. Fully carbon metasurface: Absorbing coating in microwaves. J. Appl. Phys. 2017, 121, 121. [Google Scholar] [CrossRef]
- Alvarez, H.F.; Gomez, M.E.D.; Las-Heras, F. A thin c-band polarization and incidence angle-insensitive metamaterial perfect absorber. Materials 2015, 8, 1666–1681. [Google Scholar] [CrossRef] [PubMed]
- Cheng, Y.Z.; Cheng, Z.Z.; Mao, X.S.; Gong, R.Z. Ultra-thin multi-band polarization-insensitive microwave metamaterial absorber based on multiple-order responses using a single resonator structure. Materials 2017, 10, 1241. [Google Scholar] [CrossRef] [PubMed]
- Okano, Y.; Ogino, S.; Ishikawa, K. Development of optically transparent ultrathin microwave absorber for ultrahigh-frequency RF identification system. IEEE Trans. Microw. Theory Tech. 2012, 60, 2456–2464. [Google Scholar] [CrossRef]
- Lee, I.G.; Yoon, S.H.; Lee, J.S.; Hong, I.P. Design of wideband radar absorbing material with improved optical transmittance by using printed metal-mesh. Electron. Lett. 2016, 52, 555–556. [Google Scholar] [CrossRef]
- Smith, D.R.; Vier, D.C.; Koschny, T.; Soukoulis, C.M. Electromagnetic parameter retrieval from inhomogeneous metamaterials. Phys. Rev. E 2005, 71. [Google Scholar] [CrossRef] [PubMed]
- Cui, T.J.; Smith, D.R.; Liu, R.P. Metamaterials: Theory, Design and Applications; Springer: New York, NY, USA, 2011; ISBN 978-1-4899-8391-6. [Google Scholar]
- Baena, J.D.; Bonache, J.; Martin, F.; Sillero, R.M.; Falcone, F.; Lopetegi, T.; Laso, M.A.G.; Garcia-Garcia, J.; Gil, I.; Portillo, M.F.; et al. Equivalent-circuit models for split-ring resonators and complementary split-ring resonators coupled to planar transmission lines. IEEE Trans. Microw. Theory Tech. 2005, 53, 1451–1461. [Google Scholar] [CrossRef]
- Costa, F.; Monorchio, A.; Manara, G. Analysis and design of ultra thin electromagnetic absorbers comprising resistively loaded high impedance surfaces. IEEE Trans. Antennas Propag. 2010, 58, 1551–1558. [Google Scholar] [CrossRef]
- Pozar, D.M. Microwave Engineering, 4th ed.; John Wiley & Sons: Hoboken, NJ, USA, 2012; ISBN 9780470631553. [Google Scholar]
- Munk, B.A. Frequency Selective Surfaces: Theory and Design; John Wiley & Sons: Hoboken, NJ, USA, 2000; ISBN 9780471723776. [Google Scholar]
- Langley, R.J.; Parker, E.A. Equivalent-circuit model for arrays of square loops. Electron. Lett. 1982, 18, 294–296. [Google Scholar] [CrossRef]
- Yu, F.; Wang, J.; Wang, J.F.; Ma, H.; Du, H.L.; Xu, Z.; Qu, S.B. Reflective frequency selective surface based on low-permittivity dielectric metamaterials. Appl. Phys. Lett. 2015, 107. [Google Scholar] [CrossRef]
- Beadie, G.; Brindza, M.; Flynn, R.A.; Rosenberg, A.; Shirk, J.S. Refractive index measurements of poly(methyl methacrylate) (PMMA) from 0.4–1.6 μm. Appl. Opt. 2015, 54, F139–F143. [Google Scholar] [CrossRef] [PubMed]
- Oh, C.S.; Lee, S.M.; Kim, E.H.; Lee, E.W.; Park, L.S. Electro-optical properties of index matched ITO-PET film for touch panel application. Mol. Cryst. Liq. Cryst. 2012, 568, 32–37. [Google Scholar] [CrossRef]
- Hecht, E. Optics, 4th ed.; Addison Weslsy: San Francisco, CA, USA, 2002; ISBN 0321188780. [Google Scholar]










| No. | R (Ω) | C (pF) | L (nH) | Bandwidth of Absorption Better Than 90% (GHz) |
|---|---|---|---|---|
| A | 182.95 | 0.025 | 7.13 | 2.2 |
| B | 182.95 | 0.040 | 3.33 | 4.1 |
| C | 182.95 | 0.065 | 0.90 | 5.9 |
| No. | εr | d (mm) | f1 (GHz) | f2 (GHz) | R in Figure 4a (Ω) | R in Figure 4b (Ω) |
|---|---|---|---|---|---|---|
| (1) | 25.0 | 1 | 12 | 18 | 104.3 | 200 |
| (2) | 2.08 | 4 | 8 | 18 | 191.5 | 275 |
| (3) | 5.32 | 2.5 | 8 | 18 | 107.7 | 205 |
| (4) | 33.28 | 1 | 8 | 18 | 22.08 | 45 |
| (5) | 2.5 | 10 | 2 | 17 | 71.88 | 300 |
| d (mm) | p (mm) | t (mm) | w (mm) | g (mm) |
|---|---|---|---|---|
| 5.3 | 6 | 3.6 | 0.17 | 0.7 |
| Absorber | Absorption Band above 90% (GHz) | Relative Bandwidth 1 | Thickness (mm) | Relative Thickness 2 | Optical Transparency |
|---|---|---|---|---|---|
| Ref. [4] | 8.3~11.6 | 1.40 | 24.56 | 0.679 | Not given |
| Ref. [5] | 125~165 | 1.32 | 1.3 | 0.542 | 80~85% |
| Ref. [6] | About 8.7~11.2 | 1.28 | 3.6 | 0.104 | 80~85% |
| Ref. [18] | 0.915~0.928 | 1.01 | 5.1 | 0.015 | About 75% |
| Ref. [19] | 9.6~13.9 | 1.45 | 2.1 | 0.068 | Metal mesh-96.3% ITO sheet-90% Total-not given |
| This work | 6~18 | 3 | 4.0 | 0.080 | 78% at 600 nm Total-above 60% |
© 2018 by the authors. Licensee MDPI, Basel, Switzerland. This article is an open access article distributed under the terms and conditions of the Creative Commons Attribution (CC BY) license (http://creativecommons.org/licenses/by/4.0/).
Share and Cite
Deng, R.; Li, M.; Muneer, B.; Zhu, Q.; Shi, Z.; Song, L.; Zhang, T. Theoretical Analysis and Design of Ultrathin Broadband Optically Transparent Microwave Metamaterial Absorbers. Materials 2018, 11, 107. https://doi.org/10.3390/ma11010107
Deng R, Li M, Muneer B, Zhu Q, Shi Z, Song L, Zhang T. Theoretical Analysis and Design of Ultrathin Broadband Optically Transparent Microwave Metamaterial Absorbers. Materials. 2018; 11(1):107. https://doi.org/10.3390/ma11010107
Chicago/Turabian StyleDeng, Ruixiang, Meiling Li, Badar Muneer, Qi Zhu, Zaiying Shi, Lixin Song, and Tao Zhang. 2018. "Theoretical Analysis and Design of Ultrathin Broadband Optically Transparent Microwave Metamaterial Absorbers" Materials 11, no. 1: 107. https://doi.org/10.3390/ma11010107
APA StyleDeng, R., Li, M., Muneer, B., Zhu, Q., Shi, Z., Song, L., & Zhang, T. (2018). Theoretical Analysis and Design of Ultrathin Broadband Optically Transparent Microwave Metamaterial Absorbers. Materials, 11(1), 107. https://doi.org/10.3390/ma11010107
