Characterization of Gallium Indium Phosphide and Progress of Aluminum Gallium Indium Phosphide System Quantum-Well Laser Diode
Abstract
:1. Introduction
2. Experiment
3. Results and Discussion
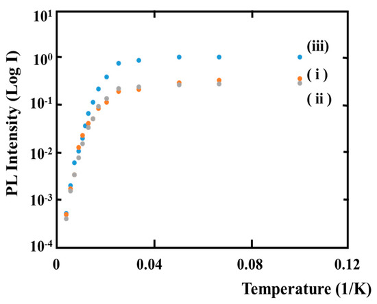
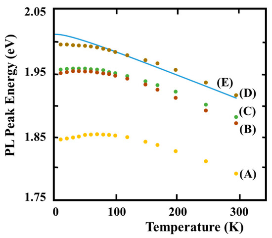
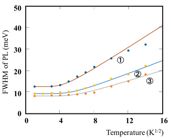
3.1. GaInP Epitaxial Layer
3.2. GaInP Epitaxial Layers
3.3. Quantum Well AlGaInP Laser Diode
3.3.1. Development History of Quantum Well Laser
3.3.2. Quantum Well Structure Grown on Misorientation Substrates
4. Summary
Acknowledgments
Conflicts of Interest
Appendix A
Estimation Method of Temperature Rising of Active Layer
- Heat is only generated by injected electric power.
- Thermal only flows from heatsink (thermal does not flow out from the laser chip to the atmosphere).
- Thermal flow and temperature are continuous at interface of each layer.
- Chip shape is mesa stripe structure.
| Prameters | Symbol | Value | Unit |
|---|---|---|---|
| Laser chip size | - | 500 × 300 × 100 | μm |
| AlN heat sink size | - | 1100 × 1100 × 2400 | μm |
| Operation current | Iop | 100 | mA |
| Operation voltage | Vop | 2.5 | V |
| Light output power | Pout | 30 | mW |
| Thermal conductivity of GaInP | σGaInP | 0.053 | W/cm·K |
| Thermal conductivity of AlGaInP | σAlGaInP | 0.06 | W/cm·K |
| Thermal conductivity of GaAs | σGaAs | 0.44 | W/cm·K |
| Thermal conductivity of Si | σSi | 1.45 | W/cm·K |
| Thermal conductivity of AlN | σAlN | 2.6 | W/cm·K |

References
- Kobayashi, K.; Kawata, S.; Gomyo, A.; Suzuki, T. Room-temperature CW operation of AlGaInP double-heterostructure visible lasers. Electron. Lett. 1985, 21, 931–932. [Google Scholar] [CrossRef]
- Ikeda, M.; Mori, Y.; Sato, M.; Kaneko, K.; Watanabe, N. Room-temperature continuous-wave operation of an AlGaInP double heterostructure laser grown by atmospheric pressure metalorganic chemical vapor deposition. Appl. Phys. Lett. 1985, 47, 1027–1028. [Google Scholar] [CrossRef]
- Ishikawa, M.; Ohba, Y.; Sugawara, H.; Yamamoto, M.; Nakanishi, T. Room-temperature cw operation of InGaP/InGaAlP visible light laser diodes on GaAs substrates grown by metalorganic chemical vapor deposition. Appl. Phys. Lett. 1986, 48, 207–208. [Google Scholar] [CrossRef]
- Suzuki, T.; Gomyo, A.; Iijima, S.; Kobayashi, K.; Kawata, S.; Hino, I.; Yuasa, T. Band-gap energy anomaly and sublattice ordering in GaInP and AlGaInP growth by metalorganic vapor phase epitaxy. Jpn. J. Appl. Phys. 1988, 27, 2098–2106. [Google Scholar] [CrossRef]
- Suzuki, T.; Gomyo, A. Strong ordering in GaInP alloy semiconductors: Formation mechanism for the ordered phase. J. Cryst. Growth 1988, 93, 396–405. [Google Scholar] [CrossRef]
- Gomyo, A.; Suzuki, T. Obsevation of strong ordering in GaxIn1−xP alloy semiconductors. Phys. Rev. Lett. 1988, 60, 2645–2648. [Google Scholar] [CrossRef] [PubMed]
- Gomyo, A.; Kobayashi, K.; Kawata, S.; Suzuki, T.; Yuasa, T. Studies of GaxIn1−xP layers grown by metalorganic vapor phase epitaxy; effects of V/III ratio and growth temperature. J. Cryst. Growth 1986, 77, 367–373. [Google Scholar] [CrossRef]
- Hämisch, Y.; Steffen, R.; Forchel, A.; Röntgen, P. Rapid thermal annealing induced order-disorder transition in Ga0.52In0.48P/(Al0.35Ga0.65)0.5In0.5P heterostructure. Appl. Phys. Lett. 1993, 62, 3007–3009. [Google Scholar]
- Gavrilovic, P.; Dabkowski, F.P.; Meehan, K.; Williams, J.E.; Stutius, W.; Hsieh, K.C.; Holonyak, N.; Shahid, M.A.; Mahajan, S. Disordering of the ordered structure in MOCVD-grown GaInP and AlGaInP by impurity diffusion and thermal annealing. J. Cryst. Growth 1988, 93, 426–433. [Google Scholar] [CrossRef]
- Cao, D.S.; Kimball, A.W.; Chen, G.S.; Fry, K.L.; Stringfellow, G.B. Organometallic vapor phase epitaxy of high-quality Ga0.51In0.49P at high growth rates. J. Appl. Phys. 1989, 66, 5384–5387. [Google Scholar] [CrossRef]
- Suzuki, T.; Gomyo, A.; Hino, I.; Kobayashi, K.; Kawata, S.; Iijima, S. P-type doping effects on band-gap energy for Ga0.5In0.5P grown by metalorganic vapor phase epitaxy. Jpn. J. Appl. Phys. 1988, 27, 1549–1552. [Google Scholar] [CrossRef]
- Nishikawa, Y.; Tsuburai, Y.; Nozaki, C.; Ohba, Y.; Kokubun, Y.; Kinoshita, H. Zn doping characteristics for InGaAlP grown by low-pressure metalorganic chemical vapor deposition. Appl. Phys. Lett. 1988, 53, 2182–2184. [Google Scholar] [CrossRef]
- Gomyo, A.; Suzuki, T.; Iijima, S.; Hotta, H.; Fujii, H.; Kawata, S.; Kobayashi, K.; Ueno, Y.; Hino, I. Nonexistance of long-range order in Ga0.5In0.5P epitaxial layers grown on (111)B and (110)GaAs substrates. Jpn. J. Appl. Phys. 1988, 27, 2370–2372. [Google Scholar] [CrossRef]
- Ikada, M.; Morita, E.; Toda, A.; Yamamoto, T.; Kaneko, K. MOCVD growth of AlGaInP on a (111)B GaAs substrates and its application to lasers. In Proceedings of the 15th International Symposium GaAs and Related Compounds, Atlanta, GA, USA, 1989; pp. 83–88. [Google Scholar]
- Hamada, H.; Shono, M.; Honda, S.; Yamaguchi, T. Semiconductor Laser Device. U.S. Patent 5,016,252, 26 September 1988. [Google Scholar]
- Hamada, H.; Shono, M.; Honda, S.; Yamaguchi, T.; Niina, T. Crystal growth of InGaP by low pressure MOCVD method—Effect of off angle substrate. In Proceedings of the 36th Spring Meeting of the Japan Society of Applied Physics, Chiba, Japan, 1–4 April 1989. [Google Scholar]
- Minagawa, S.; Kondow, M.; Kakibayashi, H. Disappearance of long-range ordering in Ga0.5In0.5P with tilting of substrate from (100) Towards (511)A. Electron. Lett. 1989, 25, 1439–1440. [Google Scholar] [CrossRef]
- Gomyo, A.; Kawata, S.; Suzuki, T.; Iijima, S.; Hino, I. Large (6°) off-angle effects on sublattice ordering and band-gap energy in Ga0.5In0.5P grown on (001) GaAs substrates. Jpn. J. Appl. Phys. 1989, 28, 1728–1730. [Google Scholar] [CrossRef]
- Gomyo, A.; Suzuki, T.; Kobayashi, K.; Kawata, S.; Hotta, H.; Hino, I. GaAs-substrate-surface orientation effects on band-gap energy for MOVPE grown GaInP. In Proceedings of the 38th Spring Meeting of the Japan Society of Applied Physics, Kanagawa, Japan, 28–31 March 1991. [Google Scholar]
- Buchan, N.; Heuberger, W.; Jakubowicz, A.; Roentgen, P. The growth of Ga0.52In0.48P and Al0.18Ga0.34In0.48P on lens-shaped GaAs substrates by metalorganic vapor phase epitaxy. In Proceedings of the International Symposium GaAs and Related Compounds, Seattle, WA, USA, 9–12 September 1991; pp. 529–534. [Google Scholar]
- Jou, M.-J.; Lin, J.-F.; Chen, C.-Y.; Lee, B.-J. Effect of substrate misorientations on the optical properties and doping characteristics of MOVPE grown Ga0.5In0.5P and (Al0.5Ga0.5)0.5In0.5P. In Proceedings of the Sixth International Conference on Metalorganic Vapor Phase Epitaxy, Cambridge, MA, USA, 8–11 June 1992; pp. 134–135. [Google Scholar]
- Kikuchi, A.; Kishino, K. Substrate misorientation effects in gas source molecular beam epitaxy grown AlGaInP crystal and AlGaInP lasers. In Proceedings of the Eleventh Record of Alloy Symposium Semiconductor Physics and Electronics, Kyoto, Japan, 8–10 July 1992; pp. 535–540. [Google Scholar]
- Geels, R.S.; Bour, D.P.; Treat, D.W.; Bringans, R.D.; Welch, D.F.; Scifres, D.R. 3W laser diodes operating at 633 nm. Electron. Lett. 1992, 28, 1043–1044. [Google Scholar] [CrossRef]
- Skidmore, J.A.; Emanuel, M.A.; Beach, R.J.; Benett, W.J.; Freitas, B.L.; Carlson, N.W.; Solarz, R.W.; Bour, D.P.; Treat, D.W. High-power CW operation of AlGaInP laser-diode array at 640 nm. IEEE trans. Photonics Technol. Lett. 1995, 7, 133–135. [Google Scholar] [CrossRef]
- Imanishi, D.; Sato, Y.; Nagamuna, k.; Ito, S.; Hirata, S. Highly reliable 7 W operation of 644 nm wavelength laser diode arrays with top-hat near field pattern. In Proceedings of the 19th IEEE International Semiconductor Laser Conference, Simane, Japan, 21–25 September 2004; pp. 49–50. [Google Scholar]
- Sumpf, B.; Zorn, M.; Staske, R.; Fricke, J.; Ressel, P.; Ginolas, A.; Paschke, K.; Erbert, G. 3W-bord area lasers and 12 W-bar with conversion efficiencies up to 40% at 650 nm. In Proceedings of the 20th IEEE International Semiconductor Laser Conference, Waimea, HI, USA, 17–21 September 2006; pp. 37–38. [Google Scholar]
- Lott, J.A.; Schneider, R.P.; Choquette, K.D.; Kilcoyne, S.P.; Figiel, J.J. Room temperature continuous wave operation of red vertical cavity surface emitting laser diodes. Electron. Lett. 1993, 29, 1693–1694. [Google Scholar] [CrossRef]
- Tai, K.; Huang, K.F.; Wu, C.C.; Wynn, J.D. Continuous wave visible InGaP/InGaAlP quantum well surface emitting laser diodes. Electron. Lett. 1993, 29, 1314–1316. [Google Scholar] [CrossRef]
- Hatakishi, G.; Takaoka, K. Red VCSELs. Rev. Laser Eng. 2001, 29, 789–792. [Google Scholar] [CrossRef]
- Akahane, K.; Yamamoto, N.; Kawanishi, T. Wavelength tenability of highly stacked quantum dot laser fabricated by a strain compensation technique. In Proceedings of the 22th IEEE International Semiconductor Laser Conference, Kyoto, Japan, 27–30 September 2010; pp. 37–38. [Google Scholar]
- Krysa, A.B.; Roberts, J.S.; Devenson, J.; Beanland, R.; Karomi, I.; Shutts, S.; Smowton, P.M. Growth and characterization of InAsP/AlGaInP QD laser structures. In Proceedings of the 2016 Compound Semiconductor Week (CSW) [Includes 28th International Conference on Indium Phosphide & Related Materials (IPRM) & 43rd International Symposium on Compound Semiconductors (ISCS)], Toyama, Japan, 26–30 June 2016. [Google Scholar]
- Hamada, H. Progress of aluminum gallium indium phosphide red laser diodes and beyond. Fiber Integr. Opt. 2015, 34, 259–281. [Google Scholar] [CrossRef]
- Schneider, R.P., Jr.; Jones, E.D.; Lott, J.A.; Bryan, R.P. Photoluminescence linewidths in metalorganic vapor phase epitaxially grown ordered and disordered InAlGaP alloys. J. Appl. Phys. 1992, 72, 5397–5400. [Google Scholar] [CrossRef]
- Su, L.C.; Ho, I.H.; Stringfellow, G.B. Control of ordering in Ga0.50In0.50P using growth temperature. J. Appl. Phys. 1994, 76, 3520–3525. [Google Scholar] [CrossRef]
- Kurtz, S.R.; Olson, J.M.; Arent, J.; Bode, M.H.; Bertnss, K.A. Low-band-gap Ga0.5In0.5P grown on (511)B GaAs substrates. J. Appl. Phys. 1994, 75, 5110–5113. [Google Scholar] [CrossRef]
- Lambkin, J.D.; Considine, L.; Walsh, S.; O’Cornnor, G.M.; McDonagh, C.J.; Glynn, T.J. Temperature dependence of the photoluminescence intensity of ordered and disordered In0.48Ga0.52P. Appl. Phys. Lett. 1994, 65, 73–75. [Google Scholar] [CrossRef]
- Delong, M.C.; Mowbray, D.J.; Hogg, R.A.; Skolnick, M.S.; Williams, J.E.; Meehan, K.; Kurtz, S.R.; Olson, J.M.; Schneider, R.P.; Wu, M.C.; Hopkinson, M. Band gap of “completely disordered” Ga0.52In0.48P. Appl. Phys. Lett. 1995, 66, 3185–3187. [Google Scholar] [CrossRef]
- Suzuki, M.; Itaya, K.; Nishikawa, Y.; Sugiwara, H.; Hatakoshi, G. Effects of substrate misorientation on reduction of deep levels and residual oxygen incorporation in InGaInP alloys. In Proceedings of the 19th International Symposium GaAs and Related Compounds, Karuizawa, Japan, 28 September–2 October 1993; pp. 465–470. [Google Scholar]
- Willams, E.W.; Bebb, H.B. Photoluminescence II: Gallium Arsenide; Academic Press: New York, NY, USA, 1972; pp. 321–392. [Google Scholar]
- Varshni, Y.P. Temperature dependence of the energy gap in semiconductors. Physica 1967, 34, 149–154. [Google Scholar] [CrossRef]
- Casey, H.C., Jr.; Panish, M.B. Heterostructure Lasers, Part A Fundamental Principals; Academic Press: New York, NY, USA, 1978; pp. 9–20. [Google Scholar]
- Ishitani, Y.; Minagawa, S.; Tanaka, T. Temperature dependence of the band-gap energy of disordered GaInP. J. Appl. Phys. 1994, 75, 5326–5331. [Google Scholar] [CrossRef]
- Kondow, M.; Minagawa, S.; Inoue, Y.; Nishino, T.; Hamakawa, Y. Anomalous temperature dependence of the ordered Ga0.5In0.5P photoluminescence spectrum. Appl. Phys. Lett. 1989, 54, 1760–1762. [Google Scholar] [CrossRef]
- Kondow, M.; Yanagisawa, H.; Kakibayashi, H.; Minagawa, S. Bandgap anomaly in OMVPE-GaInP. In Proceedings of the 51st Autumn Meeting of the Japan Society of Applied Physics, Iwate, Japan, 26–29 September 1990; p. 1094. [Google Scholar]
- Ishitani, Y.; Minagawa, S. The effect of the phonon-electron interaction on the temperature dependence of the band gap energy of GaInP. In Proceedings of the 53th Autumn Meeting of the Japan Society of Applied Physics, Osaka, Japan, 16–17 September 1992; p. 232. [Google Scholar]
- Yanagisawa, H.; Kondow, M.; Kawano, T.; Minagawa, S. Temperature dependence of photoluminescence of AlGaInP/GaInP quantum well structure. In Proceedings of the 51st Autumn Meeting of the Japan Society of Applied Physics, Iwate, Japan, 26–29 September 1990; p. 1094. [Google Scholar]
- Schneider, R.P.; Jones, E.D., Jr.; Follstaedt, D.M. Growth and characterization of InGaP unicompositional disorder-order-disorder quantum wells. Appl. Phys. Lett. 1994, 65, 587–589. [Google Scholar] [CrossRef]
- Ishikawa, M.; Shiozawa, H.; Tsuburai, Y.; Uematsu, Y. Short-wavelength (638 nm) room-temperature cw operation of InGaAlP laser diodes with quaternary active layer. Electron. Lett. 1990, 26, 211–213. [Google Scholar] [CrossRef]
- Itaya, K.; Ishikawa, M.; Uematsu, Y. 636 nm room temperature cw operation by heterobarrier blocking structure InGaAlP laser diodes. Electron. Lett. 1990, 26, 839–840. [Google Scholar] [CrossRef]
- Hamada, H.; Shono, M.; Honda, S.; Hiroyama, R.; Yodoshi, M.; Yamaguchi, T. AlGaInP visible laser diodes grown on misoriented substrates. In Proceedings of the 12th IEEE International Semiconductor Laser Conference, Davos, Switzerland, 9–14 September 1990; pp. 174–175. [Google Scholar]
- Hamada, H.; Shono, M.; Honda, S.; Hiroyama, R.; Yodoshi, K.; Yamaguchi, T. AlGaInP visible laser diodes grown on misoriented substrates. IEEE J. Quantum Electron. 1991, 27, 1483–1490. [Google Scholar] [CrossRef]
- Kobayashi, K.; Ueno, Y.; Hotta, H.; Gomyo, A.; Tada, K.; Hara, K.; Yuasa, T. 632.7 nm CW operation (20 °C) of AlGaInP visible laser diodes fabricated on (001) 6°off toward [110] GaAs substrate. Jpn. J. Appl. Phys. 1990, 29, 1669–1671. [Google Scholar] [CrossRef]
- Valster, A.; Liedenbaum, C.T.H.F.; Van Der Heijden, J.M.M.; Finke, M.N.; Severens, A.L.G.; Boermans, M.J.B. 633 nm cw operation of GaInP/AlGaInP laser-diodes. In Proceedings of the 12th IEEE International Semiconductor Laser Conference, Davos, Switzerland, 9–14 September 1990; pp. 28–29. [Google Scholar]
- Shono, M.; Hamada, H.; Honda, S.; Hiroyama, R.; Yodoshi, K.; Yamaguchi, T. Low-threshold 630-nm-band AlGaInP multiquantum well laser diodes grown on misoriented substrates. Electron. Lett. 1992, 28, 905–906. [Google Scholar] [CrossRef]
- Tanaka, T.; Yanagisawa, H.; Yano, S.; Minagawa, S. Optimization of MQW structure in 630 nm AlGaInP laser diodes for high-temperature operation. In Proceedings of the 13th IEEE International Semiconductor Laser Conference, Takamatsu, Japan, 21–25 September 1992; pp. 160–161. [Google Scholar]
- Rennie, J.; Okajima, M.; Watanabe, M.; Hatakoshi, G. High-temperature operation of 634 nm InGaAlP laser diodes utilizing a multiple quantum barrier. In Proceedings of the 13th IEEE International Semiconductor Laser Conference, Takamatsu, Japan, 21–25 September 1992; pp. 158–159. [Google Scholar]
- Honda, S.; Hamada, H.; Shono, M.; Hiroyama, R.; Yodoshi, K.; Yamaguchi, T. Transverse-mode stabilized 630 nm-band AlGaInP strained multiquantum-well laser diodes grown on misoriented substrates. Electron. Lett. 1992, 28, 1365–1366. [Google Scholar] [CrossRef]
- Valster, A.; Van der Poel, C.J.; Finke, M.N.; Boermans, M.J.B. Low threshold current density (760 A/cm2) and high power (45 mW) operation of strained Ga0.42In0.38P multiquantum well laser diodes emitting at 632 nm. Electron. Lett. 1992, 28, 144–145. [Google Scholar] [CrossRef]
- Geels, R.S.; Welch, D.F.; Scifres, D.R.; Bour, D.P.; Treat, D.W.; Bringans, R.D. Low threshold, high power, single mode 630 nm lasers. In Proceedings of the 13th IEEE International Semiconductor Laser Conference, Takamatsu, Japan, 21–25 September 1992; pp. 156–157. [Google Scholar]
- Mannoh, M.; Kamiyama, S.; Hoshina, J.; Kidoguchi, I.; Ohta, H.; Ishibashi, A.; Ban, Y.; Ohnaka, K. Extremely low threshold current operation 638 nm GaInP/AlGaInP strained MQW lasers. In Proceedings of the IEEE International Electron Devices Meeting, San Francisco, CA, USA, 13–16 December 1992; pp. 867–870. [Google Scholar]
- Hamada, H.; Shono, M.; Honda, S.; Yodoshi, K.; Yamaguchi, T.; Niina, T. High-performance 630-nm band AlGaInP strained multiple quantum well laser diodes with multiquantum barrier. In Proceedings of the IEEE LEOS 1993 Summer Topical Meeting, Santa Barbara, CA, USA, 19–30 July 1993; pp. 27–28. [Google Scholar]
- Tanaka, T.; Yanagisawa, H.; Kawanaka, S.; Minagawa, S. Low-threshold strained-layer quantum-well 630-nm AlGaInP LDs and relative intensity of strain-induced polarization mode. In Proceedings of the 14th IEEE International Semiconductor Laser Conference, Maui, HI, USA, 19–23 September 1994; pp. 125–126. [Google Scholar]
- Watanabe, M.; Matsuura, H.; Shimoda, N.; Okuda, H. High temperature and reliable operation of 630-nm-band InGaAlP tensile-strained multiquantum-well laser diodes. In Proceedings of the 14th IEEE International Semiconductor Laser Conference, Maui, HI, USA, 19–23 September 1994; pp. 99–100. [Google Scholar]
- Hotta, H.; Miyasaka, F.; Tada, K.; Kobayashi, K. Uniform hole injection resulting in low operating current and stable high temperature CW operation in 630 nm band AlGaInP multi-quantum well laser. In Proceedings of the 14th IEEE International Semiconductor Laser Conference, Maui, HI, USA, 19–23 September 1994; pp. 203–204. [Google Scholar]
- Hiroyama, R.; Hamada, H.; Shono, M.; Honda, S.; Yodoshi, K.; Yamaguchi, T. 630 nm band AlGaInP strained MQW laser diodes with an MQB grown on misoriented substrates. In Proceedings of the 13th IEEE International Semiconductor Laser Conference, Takamatsu, Japan, 21–25 September 1992; pp. 154–155. [Google Scholar]
- Hiroyama, R.; Bessho, Y.; Kase, H.; Ikegami, T.; Honda, S.; Shono, M.; Yodoshi, K.; Yamaguchi, T.; Niina, T. Strain-compensated multiple quantum well 630-nm-band AlGaInP laser diodes. In Proceedings of the 14th IEEE International Semiconductor Laser Conference, Maui, HI, USA, 19–23 September 1994; pp. 205–206. [Google Scholar]
- Hiroyama, R. Studies on High Power AlGaAs and AlGaInP Systems Semiconductor Lasers. Ph.D. Thesis, Kobe University, Kobe, Japan, August 2004. [Google Scholar]
- Iga, K.; Uenohara, H.; Koyama, F. Electron reflectance of multiquantum barrier (MQB). Electron. Lett. 1986, 22, 1008–1010. [Google Scholar] [CrossRef]
- Honda, S.; Miyake, T.; Ikegami, T.; Yagi, K.; Bessho, Y.; Hiroyama, R.; Shono, M.; Sawada, M. Low threshold 650 nm band real refractive index-guided AlGaInP laser diodes with strain-compensated MQW active layer. Electron. Lett. 2000, 36, 1284–1286. [Google Scholar] [CrossRef]
- Martin, O.J.F.; Bona, G.-L.; Wolf, P. Thermal behavior of visible AlGaInP-GaInP ridge laser diodes. IEEE J. Quantum Electron. 1992, 28, 2582–2588. [Google Scholar] [CrossRef]
- Hamada, H. Development of red semiconductor laser and its future. Inst. Electron. Inf. Commun. Eng. 2007, 90, 665–673. [Google Scholar]
- Hamada, H.; Shono, M.; Honda, S.; Hiroyama, R.; Matsukawa, K.; Yodashi, K.; Yamaguchi, T. High-power operation of 630 nm-band transverse-mode stabilized AlGaInP laser diodes with current-blocking region near facets. Electron. Lett. 1991, 27, 661–662. [Google Scholar] [CrossRef]
- Shimada, N.; Ohno, A.; Abe, S.; Miyashita, M.; Yagi, T. High-Power 625-nm AlGaInP Laser Diode. IEEE J. Sel. Top. Quantum Electron. 2011, 17, 1723–1726. [Google Scholar] [CrossRef]
- Hamada, H.; Tominaga, K.; Shono, M.; Honda, S.; Yodoshi, K.; Yamaguchi, T. Room temperature CW operation of 610 nm band AlGaInP strained multiquantum well laser diodes with multiquantum barrier. Electron. Lett. 1992, 28, 1834–1835. [Google Scholar] [CrossRef]
- Bour, P.D.; Treat, D.W.; Beernink, K.J.; Krusor, B.S.; Geels, R.S.; Welch, D.F. 610-nm band AlGaInP single quantum well laser diode. IEEE Photonics Technol. Lett. 1994, 6, 128–131. [Google Scholar] [CrossRef]
- Tanaka, T.; Yanagisawa, H.; Takimoto, M.; Minagawa, S. Tensile-strained AlGaInP single quantum well LDs emitting at 615 nm. Electron. Lett. 1993, 29, 1864–1866. [Google Scholar] [CrossRef]
- Matthews, J.W.; Blakeslee, A.E. Defects in epitaxial multilayers (III). J. Cryst. Growth 1976, 32, 265–273. [Google Scholar] [CrossRef]
- Valster, A.; Meney, A.T.; Downess, J.R.; Adams, A.R.; Brouwer, A.A.; Corbijn, A.J. Strain Overcompensated GaInP/AlGaInP quantum well laser structure for improved reliavility at high output powers. In Proceedings of the 15th IEEE International Semiconductor Laser Conference, Haifa, Israel, 13–18 October 1996; pp. 139–140. [Google Scholar]
- Asano, H.; Wada, M.; Fukunaga, T.; Hayakawa, T. Temperature Insensitive characteristics of 1.06 µm strain-compensated single quantum well laser diodes (SQW-LDs). In Proceedings of the 16th IEEE International Semiconductor Laser Conference, Nara, Japan, 4–8 October 1998; pp. 47–48. [Google Scholar]
- Choi, W.-J.; Dapkus, P.D.; Jewell, J.J. 1.2 µm GaAsP/InGaAs strain compensated single-quantum-well diode laser on GaAs using metal–organic chemical vapor deposition. Photonics Technol. Lett. 1999, 11, 1572–1574. [Google Scholar] [CrossRef]
- Tansu, N.; Mawst, L.J. Low-Threshold Strain-Compensated InGaAs(N) (λ = 1.19–1.31 µm) Quantum Well Lasers. Photonics Technol. Lett. 2002, 14, 444–446. [Google Scholar] [CrossRef]
- Akahane, K.; Yamamoto, N.; Tsuchiya, M. Highy stacked quantum dot laser fabricated using a strain compensation technique. In Proceedings of the 21th IEEE International Semiconductor Laser Conference, Naples, Italy, 15–18 September 2008; pp. 31–32. [Google Scholar]
- Al-Ghamdi, M.S.; Smowton, P.M.; Krysa, A.B. Lasing output and threshold current density in p-doped InP/AlGaInP quantum dot laser diodes. In Proceedings of the 2014 IEEE International Semiconductor Laser Conference, Palma de Mallorca, Spain, 7–10 September 2014; pp. 119–120. [Google Scholar]
- Kuramoto, N. Aluminum nitride substrate. HYBRIDS 1988, 4, 27–33. [Google Scholar] [CrossRef]
- Joy, W.B.; Dixon, R.W. Thermal resistance of hetero-structure lasers. J. Appl. Phys. 1975, 46, 855–862. [Google Scholar]











| Sample NumberGaAs Substrate | Growth Temperature (°C) | Crystalline Structure | ||
|---|---|---|---|---|
| Ordered | Ordered + Disorded | Disordered | ||
| Ex144 (100) just | 650 | ○ with two directions | - | - |
| Ex146 5° misorientation toward [011] | 680 | - | - | ○ almost |
| Ex145-A 5° misorientation toward [011] | 650 | - | ○ with week ordered | - |
| Ex145-B 5° misorientation toward [01−1] | 650 | ○ with a single directions | - | - |
| Ex148 9° misorientation toward [011] | 650 | - | - | ○ completely |
| Samples | Ca | Ea (meV) | Cb | Eb (meV) | Cb/Ca |
|---|---|---|---|---|---|
| Ex146 | 102.65 | 24 | 104.3 | 62 | 101.65 |
| Ex145-A | 102.08 | 24 | 104.0 | 66 | 101.92 |
| Ex145-B | 101.88 | 16 | 104.0 | 68 | 102.12 |
| Highly Ordered LC159 [36] | 103.2 | 16.4 | 101.46 | 50 | 10−1.74 |
| Samples | ℏω (meV) | A (meV) |
|---|---|---|
| Ex146 | 7 | 7.9 |
| Ex145-A | 6.3 | 9 |
| Ex145-B | 4 | 12.4 |
© 2017 by the author. Licensee MDPI, Basel, Switzerland. This article is an open access article distributed under the terms and conditions of the Creative Commons Attribution (CC BY) license (http://creativecommons.org/licenses/by/4.0/).
Share and Cite
Hamada, H. Characterization of Gallium Indium Phosphide and Progress of Aluminum Gallium Indium Phosphide System Quantum-Well Laser Diode. Materials 2017, 10, 875. https://doi.org/10.3390/ma10080875
Hamada H. Characterization of Gallium Indium Phosphide and Progress of Aluminum Gallium Indium Phosphide System Quantum-Well Laser Diode. Materials. 2017; 10(8):875. https://doi.org/10.3390/ma10080875
Chicago/Turabian StyleHamada, Hiroki. 2017. "Characterization of Gallium Indium Phosphide and Progress of Aluminum Gallium Indium Phosphide System Quantum-Well Laser Diode" Materials 10, no. 8: 875. https://doi.org/10.3390/ma10080875
APA StyleHamada, H. (2017). Characterization of Gallium Indium Phosphide and Progress of Aluminum Gallium Indium Phosphide System Quantum-Well Laser Diode. Materials, 10(8), 875. https://doi.org/10.3390/ma10080875
