Thermoelectric Properties of Poly(3-Hexylthiophene) Nanofiber Mat with a Large Void Fraction
Abstract
:1. Introduction
2. Experimental Section
2.1. Preparation of P3HT Nanofiber Mat
2.2. Characterization of Electrical Property
2.3. Characterization of Thermal Properties
3. Results and Discussion
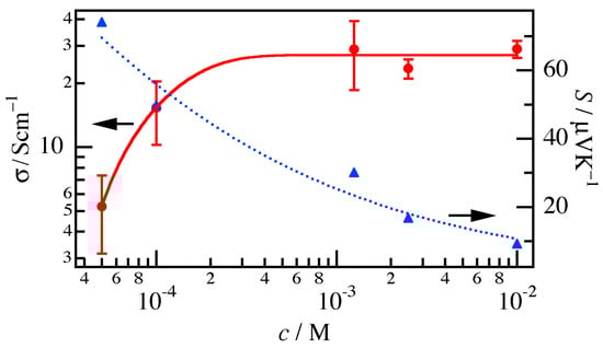
3.1. Electrical Properties of the P3HT Nanofiber Mat
3.2. Thermal Properties of the P3HT Nanofiber Mat
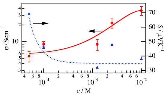
3.3. Comparison of the Nanofiber Mat and Film
4. Conclusions
Supplementary Materials
Acknowledgments
Author Contributions
Conflicts of Interest
References
- Yan, H.; Ohta, T.; Toshima, N. Stretched polyaniline films doped by (+/–)-10-camphorsulfonic acid: Anisotropy and improvement of thermoelectric properties. Macromol. Mater. Eng. 2001, 286, 139–142. [Google Scholar] [CrossRef]
- Maddison, D.S.; Unsworth, J.; Roberts, R.B. Electrical conductivity and thermoelectric power of polypyrrole with different doping levels. Synth. Met. 1988, 26, 99–108. [Google Scholar] [CrossRef]
- Hiroshige, Y.; Ookawa, M.; Toshima, N. Thermoelectric figure-of-merit of iodine-doped copolymer of phenylenevinylene with dialkoxyphenylenevinylene. Synth. Met. 2007, 157, 467–474. [Google Scholar] [CrossRef]
- Aïch, R.B.; Blouin, N.; Bouchard, A.; Leclerc, M. Electrical and thermoelectric properties of poly(2,7-carbazole) derivatives. Chem. Mater. 2009, 21, 751–757. [Google Scholar] [CrossRef]
- Bubnova, O.; Khan, Z.U.; Malti, A.; Braun, S.; Fahlman, M.; Berggren, M.; Crispin, X. Semi-metallic polymers. Nat. Mater. 2011, 10, 429–433. [Google Scholar] [CrossRef] [PubMed]
- Kim, G.H.; Shao, L.; Zhang, K.; Pipe, K.P. Engineered doping of organic semiconductors for enhanced thermoelectric efficiency. Nat. Mater. 2013, 12, 719–723. [Google Scholar] [CrossRef] [PubMed]
- Park, T.; Park, C.; Kim, B.; Shin, H.; Kim, E. Flexible PEDOT electrodes with large thermoelectric power factors to generate electricity by the touch of fingertips. Energy Environ. Sci. 2013, 6, 788–792. [Google Scholar] [CrossRef]
- Bubnova, O.; Berggren, M.; Crispin, X. Tuning the thermoelectric properties of conducting polymers in an electrochemical transistor. J. Am. Chem. Soc. 2012, 134, 16456–16459. [Google Scholar] [CrossRef] [PubMed]
- Zhang, Q.; Sun, Y.; Xu, W.; Zhu, D. Organic thermoelectric materials: Emerging green energy materials converting heat to electricity directly and efficiently. Adv. Mater. 2014, 26, 6829. [Google Scholar] [CrossRef]
- Shi, W.; Zhao, T.; Xi, J.; Wang, D.; Shuai, Z. Unravelling doping effects on PEDOT at the molecular level: From geometry to thermoelectric transport properties. J. Am. Chem. Soc. 2015, 137, 12929–12938. [Google Scholar] [CrossRef] [PubMed]
- Dubey, N.; Leclerc, M. Conducting polymers: Efficient thermoelectric materials. J. Polym. Sci. B Polym. Phys. 2011, 49, 467–475. [Google Scholar] [CrossRef]
- Xuan, Y.; Liu, X.; Desbief, S.; Leclère, P.; Fahlman, M.; Lazzaroni, R.; Berggren, M.; Cornil, J.; Emin, D.; Crispin, X. Thermoelectric properties of conducting polymers: The case of poly(3-hexylthiophene). Phys. Rev. B 2010. [Google Scholar] [CrossRef]
- Zhang, Q.; Sun, Y.; Xu, W.; Zhu, D. Thermoelectric energy from flexible P3HT films doped with a ferric salt of triflimide anions. Energy Environ. Sci. 2012, 5, 9639–9644. [Google Scholar] [CrossRef]
- Sun, J.; Yeh, M.L.; Jung, B.J.; Zhang, B.; Feser, J.; Majumdar, A.; Katz, H.E. Simultaneous increase in seebeck coefficient and conductivity in a doped poly(alkylthiophene) blend with defined density of states. Macromolecules 2010, 43, 2897–2903. [Google Scholar] [CrossRef]
- Wei, Q.; Mukaida, M.; Kirihara, K.; Ishida, T. Experimental studies on the anisotropic thermoelectric properties of conducting polymer films. ACS Macro Lett. 2014, 3, 948–952. [Google Scholar] [CrossRef]
- Gargi, D.; Kline, R.J.; DeLongchamp, D.M.; Fischer, D.A.; Toney, M.F.; O’Connor, B.T. Charge transport in highly face-on poly(3-hexylthiophene) films. J. Phys. Chem. C 2013, 117, 17421–17428. [Google Scholar] [CrossRef]
- Ihn, K.J.; Moulton, J.; Smith, P. Whiskers of poly(3-Alkylthiophene)s. J. Polym. Sci. Pol. Phys. 1993, 31, 735–742. [Google Scholar] [CrossRef]
- Merlo, J.A.; Frisbie, C.D. Field effect conductance of conducting polymer nanofibers. J. Polym. Sci. B Polym. Phys. 2003, 41, 2674–2680. [Google Scholar] [CrossRef]
- Yang, H.C.; Shin, T.J.; Yang, L.; Cho, K.; Ryu, C.Y.; Bao, Z.N. Effect of mesoscale crystalline structure on the field-effect mobility of regioregular poly(3-hexyl thiophene) in thin-film transistors. Adv. Funct. Mater. 2005, 15, 671–676. [Google Scholar] [CrossRef]
- Samitsu, S.; Shimomura, T.; Heike, S.; Hashizume, T.; Ito, K. Effective production of poly(3-alkylthiophene) nanofibers by means of whisker method using anisole solvent: Structural, optical, and electrical properties. Macromolecules 2008, 41, 8000–8010. [Google Scholar] [CrossRef]
- Samitsu, S.; Shimomura, T.; Heike, S.; Hashizume, T.; Ito, K. Field-effect carrier transport in poly(3-alkylthiophene) nanofiber networks and isolated nanofibers. Macromolecules 2010, 43, 7891–7894. [Google Scholar] [CrossRef]
- Shimomura, T.; Takahashi, T.; Ichimura, Y.; Nakagawa, S.; Noguchi, K.; Heike, S.; Hashizume, T. Relationship between structural coherence and intrinsic carrier transport in an isolated poly(3-hexylthiophene) nanofiber. Phys. Rev. B 2011. [Google Scholar] [CrossRef]
- Aronggaowa, B.; Kawasaki, M.; Shimomura, T. Thin, transparent conductive films fabricated from conducting polymer nanofibers. Polym. J. 2013, 45, 819–823. [Google Scholar] [CrossRef]
- Chang, H.J.; Morikawa, J.; Hashimoto, T. Thermal diffusivity of polyolefin by temperature wave analysis. J. Appl. Polym. Sci. 2006, 99, 1104–1110. [Google Scholar] [CrossRef]
- Prosa, T.J.; Winokur, M.J.; Moulton, J.; Smith, P.; Heeger, A.J. X-ray structural studies of poly(3-alkylthiophenes): An example of an inverse comb. Macromolecules 1992, 25, 4364–4372. [Google Scholar] [CrossRef]
- Sirringhaus, H.; Brown, P.J.; Friend, R.H.; Nielsen, M.M.; Bechgaard, K.; Langeveld-Voss, B.M.W.; Spiering, A.J.H.; Janssen, R.A.J.; Meijer, E.W.; Herwig, P.; et al. Two-dimensional charge transport in self-organized, high-mobility conjugated polymers. Nature 1999, 401, 685–688. [Google Scholar] [CrossRef]
- Bao, Z.; Dodabalapur, A.; Lovinger, A.J. Soluble and processable regioregular poly(3-hexylthiophene) for thin film field-effect transistor applications with high mobility. Appl. Phys. Lett. 1996, 69, 4108–4110. [Google Scholar] [CrossRef]
- DeLongchamp, D.M.; Vogel, B.M.; Jung, Y.; Gurau, M.C.; Richter, C.A.; Kirillov, O.A.; Obrzut, J.; Fischer, D.A.; Sambasivan, S.; Richter, L.J.; et al. Variations in semiconducting polymer microstructure and hole mobility with spin-coating speed. Chem. Mater. 2005, 17, 5610–5612. [Google Scholar] [CrossRef]
- Kushi, S.; Tsukada, R.; Noguchi, K.; Shimomura, T. Crystallization of poly(3-hexylthiophene) nanofiber in a narrow groove. Polymer 2016, 7. [Google Scholar] [CrossRef]





| Materials | α⏊ (m2/s) | Cp (J/(g·K)) | ρ (g/cm3) | κ⏊ (W/(m·K)) |
|---|---|---|---|---|
| P3HT nanofiber mat | 1.15 × 10−7 | 1.65 | 0.373 | 0.0708 |
| P3HT film | 1.09 × 10−7 | 1.32 | 1.10 | 0.158 |
| Materials | P// (W/(m·K2)) | κ⏊ (W/(m·K)) | P//T/κ⏊ |
|---|---|---|---|
| P3HT nanofiber mat | 3.7 × 10−6 | 0.0708 | 0.016 |
| P3HT film | 5.2 × 10−6 | 0.158 | 0.0098 |
© 2017 by the authors. Licensee MDPI, Basel, Switzerland. This article is an open access article distributed under the terms and conditions of the Creative Commons Attribution (CC BY) license (http://creativecommons.org/licenses/by/4.0/).
Share and Cite
Hiura, S.; Okada, N.; Wakui, J.; Narita, H.; Kanehashi, S.; Shimomura, T. Thermoelectric Properties of Poly(3-Hexylthiophene) Nanofiber Mat with a Large Void Fraction. Materials 2017, 10, 468. https://doi.org/10.3390/ma10050468
Hiura S, Okada N, Wakui J, Narita H, Kanehashi S, Shimomura T. Thermoelectric Properties of Poly(3-Hexylthiophene) Nanofiber Mat with a Large Void Fraction. Materials. 2017; 10(5):468. https://doi.org/10.3390/ma10050468
Chicago/Turabian StyleHiura, Shogo, Naoki Okada, Junma Wakui, Hikari Narita, Shinji Kanehashi, and Takeshi Shimomura. 2017. "Thermoelectric Properties of Poly(3-Hexylthiophene) Nanofiber Mat with a Large Void Fraction" Materials 10, no. 5: 468. https://doi.org/10.3390/ma10050468
APA StyleHiura, S., Okada, N., Wakui, J., Narita, H., Kanehashi, S., & Shimomura, T. (2017). Thermoelectric Properties of Poly(3-Hexylthiophene) Nanofiber Mat with a Large Void Fraction. Materials, 10(5), 468. https://doi.org/10.3390/ma10050468

