Flame Retardancy of Carbon Fibre Reinforced Sorbitol Based Bioepoxy Composites with Phosphorus-Containing Additives
Abstract
:1. Introduction
2. Materials and Methods
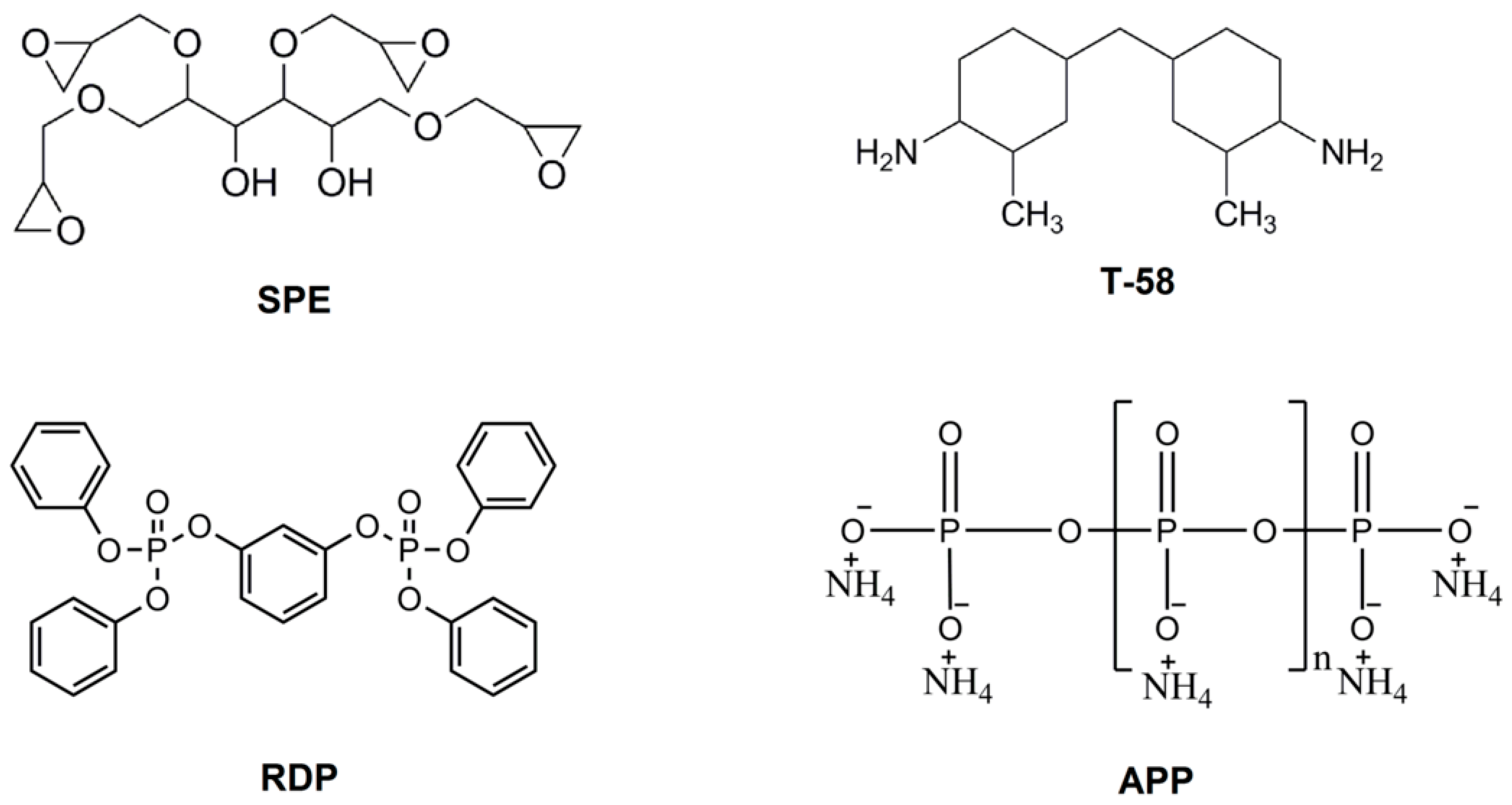
2.1. Materials
2.2. Methods
2.2.1. Composite Sample Preparation
2.2.2. Characterization of the Fire Behaviour
2.2.3. Dynamic Mechanical Analysis (DMA)
2.2.4. Tensile Test
2.2.5. Bending Test
2.2.6. Charpy Impact Test
2.2.7. Interlaminar Shear Test
3. Results and Discussion
3.1. LOI and UL-94 Results
3.2. Mass Loss Calorimetry Results
3.3. Glass Transition Temperature
3.4. Storage Modulus of the Composites
3.5. Mechanical Properties of the Composites
4. Conclusions
Acknowledgments
Author Contributions
Conflicts of Interest
References
- Dicker, M.P.M.; Duckworth, P.F.; Baker, A.B.; Francois, G.; Hazzard, M.K.; Weaver, P.M. Green composites: A review of material attributes and complementary applications. Compos. Part A Appl. Sic. Manuf. 2014, 56, 280–289. [Google Scholar] [CrossRef]
- Zafar, M.T.; Zarrinbakhsh, N.; Mohanty, A.K.; Misra, M.; Maiti, S.N.; Ghosh, A.K. Biocomposites based on poly(lactic acid)/willow-fiber and their injection moulded microcellular foams. Express Polym. Lett. 2016, 10, 176–186. [Google Scholar] [CrossRef]
- Tengsuthiwat, J.; Boonyasopon, P.; Dangtungee, R.; Siengchin, S. Characterization of poly(hydroxybutyrate-co-hydroxyvalerate)/Sisal Fiber/Clay bio-composites Prepared by Casting Technique. Period. Polytech. Mech. 2016, 60, 103–112. [Google Scholar] [CrossRef]
- Davis, M.J. Managing Micro-Voiding of Adhesive Bonds; Adhesion Associates Pty. Ltd.: Redbank, Australia, 2009. [Google Scholar]
- Pickering, K.L.; Aruan Efendy, M.G.; Le, T.M. A review of recent developments in natural fibre composites and their mechanical performance. Compos. Part A Appl. Sic. Manuf. 2016, 83, 98–112. [Google Scholar] [CrossRef]
- Niedermann, P.; Szebényi, G.; Toldy, A. Novel high glass temperature sugar-based epoxy resins: Characterization and comparison to mineral oil-based aliphatic and aromatic resins. Express Polym. Lett. 2015, 9, 85–94. [Google Scholar] [CrossRef]
- Chrysanthos, M.; Galy, J.; Pascault, J.P. Preparation and properties of bio-based epoxy networks derived from isosorbide diglycidyl ether. Polymer 2011, 52, 3611–3620. [Google Scholar] [CrossRef]
- Niedermann, P.; Szebényi, G.; Toldy, A. Characterization of high glass transition temperature sugar-based epoxy resin composites with jute and carbon fibre reinforcement. Compos. Sci. Technol. 2015, 117, 62–68. [Google Scholar] [CrossRef]
- Drzal, L.; Misra, M.; Miyagawa, H.; Mohanty, A. Bio-Based Epoxy, Their Nanocomposites and Methods for Making Those. U.S. Patent 20,050,119,371 A1, 2 June 2005. [Google Scholar]
- Omrani, E.; Barari, B.; Moghadam, A.D.; Rohatgi, P.K.; Pillai, K.M. Mechanical and tribological properties of self-lubricating bio-based carbon-fabric epoxy composites made using liquid composite molding. Tribol. Int. 2015, 92, 222–232. [Google Scholar] [CrossRef]
- Toldy, A.; Niedermann, P.; Rapi, Z.; Szolnoki, B. Flame retardancy of glucofuranoside based bioepoxy and carbon fibre reinforced composites made thereof. Polym. Degrad. Stabil. 2017. submitted. [Google Scholar]
- Perret, B.; Schartel, B.; Stöß, K.; Ciesielski, M.; Diederichs, J.; Döring, M.; Krämer, J.; Altstädt, V. Novel DOPO-based flame retardants in high-performance carbon fibre epoxy composites for aviation. Eur. Polym. J. 2011, 47, 1081–1089. [Google Scholar] [CrossRef]
- Toldy, A.; Szolnoki, B.; Marosi, G. Flame retardancy of fibre-reinforced epoxy resin composites for aerospace applications. Polym. Degrad. Stabil. 2011, 96, 371–376. [Google Scholar] [CrossRef]
- Camino, G.; Lomakin, S. Intumescent materials. In Fire Retardant Materials; Horrocks, A.R., Price, D., Eds.; Woodhead Publishing Limited: Cambridge, UK, 2001; pp. 318–336. [Google Scholar]
- Zhang, W.; He, X.; Song, T.; Jiao, Q.; Yang, R. The influence of the phosphorus-based flame retardant on the flame retardancy of the epoxy resins. Polym. Degrad. Stabil. 2014, 109, 209–217. [Google Scholar] [CrossRef]
- Braun, U.; Balabanovich, A.I.; Schartel, B.; Knoll, U.; Artner, J.; Ciesielski, M.; Döring, M.; Perez, R.; Sandler, J.K.; Altstädt, V.; et al. Influence of the oxidation state of phosphorus on the decomposition and fire behaviour of flame-retarded epoxy resin composites. Polymer 2006, 47, 8495–8508. [Google Scholar] [CrossRef]
- Pawlowski, K.H.; Schartel, B. Flame retardancy mechanisms of triphenyl phosphate, resorcinol bis(diphenyl phosphate) and bisphenol A bis(diphenyl phosphate) in polycarbonate/acrylonitrile-butadiene-styrene blends. Polym. Int. 2007, 56, 1404–1414. [Google Scholar] [CrossRef]
- Szolnoki, B.; Bocz, K.; Marosi, G.; Toldy, A. Flame retardancy of sorbitol based bioepoxy via combined solid and gas phase action. Polymers 2016, 8, 322. [Google Scholar] [CrossRef]
- Marosi, G.; Szolnoki, B.; Bocz, K.; Toldy, A. Fire retardant recyclable and bio-based polymer composites. In Novel Fire Retardant Polymers and Composite Materials: Technological Advances and Commercial Applications; Wang, D.Y., Ed.; Woodhead Publishing Ltd.: Cambridge, UK, 2016; pp. 117–146. [Google Scholar]
- Howell, B.A. Development of additives possessing both solid-phase and gas-phase flame retardant activities. Polym. Degrad. Stabl. 2008, 93, 2052–2057. [Google Scholar] [CrossRef]
- Szolnoki, B.; Toldy, A.; Konrád, P.; Szebényi, G.; Marosi, G. Comparison of additive and reactive phosphorus-based flame retardants in epoxy resins. Period. Polytech. Chem. 2013, 57, 85–91. [Google Scholar] [CrossRef]






| Flame Retardant Composition | LOI [V/V%] | UL-94 |
|---|---|---|
| SPE composite reference | 24 | HB (1st ignition) |
| RDP 1% P | 26 | HB (1st ignition) |
| RDP 2% P | 26 | HB (1st ignition) |
| RDP 3% P | 27 | V-1 |
| APP 1% P | 25 | HB (1st ignition) |
| APP 2% P | 28 | HB (1st ignition) |
| APP 3% P | 31 | HB (2nd ignition) |
| RDP 1% P + APP 2% P | 30 | HB (2nd ignition) |
| RDP 1.5% P + APP 1.5% P | 31 | HB (2nd ignition) |
| RDP 2% P + APP 1% P | 32 | V-1 |
| Flame Retardant Composition | TTI [s] | pHRR [kW/m2] | Time of pHRR [s] | FIGRA [kW/m2s] | THR [MJ/m2] | EHC [MJ/kg] | MARHE [kW/m2] | Residue [mass%] |
|---|---|---|---|---|---|---|---|---|
| SPE composite reference | 61 | 163 | 88 | 1.9 | 16.9 | 16.4 | 77.4 | 60 |
| RDP 1% P | 57 | 127 | 72 | 1.8 | 14.4 | 15.7 | 66.3 | 63 |
| RDP 2% P | 66 | 100 | 91 | 1.1 | 11.9 | 13.2 | 51.4 | 65 |
| RDP 3% P | 77 | 88 | 107 | 0.8 | 10.6 | 12.3 | 44.3 | 67 |
| APP 1% P | 61 | 130 | 86 | 1.5 | 13.4 | 14.4 | 60.3 | 65 |
| APP 2% P | 58 | 124 | 81 | 1.5 | 13.3 | 14.1 | 61.7 | 64 |
| APP 3% P | 72 | 114 | 90 | 1.3 | 12.7 | 13.5 | 55.7 | 65 |
| RDP 1% P + APP 2% P | 84 | 92 | 122 | 0.8 | 10.9 | 11.0 | 45.2 | 63 |
| RDP 1.5% P + APP 1.5% P | 64 | 103 | 97 | 1.1 | 12.1 | 13.3 | 52.3 | 65 |
| RDP 2% P + APP 1% P | 72 | 91 | 105 | 0.9 | 10.3 | 12.2 | 44.1 | 68 |
| Flame Retardant Composition | tan delta [-] | Tg [°C] |
|---|---|---|
| SPE composite reference | 0.1263 | 111 |
| RDP 1% P | 0.1385 | 102 |
| RDP 2% P | 0.1417 | 94 |
| RDP 3% P | 0.1513 | 83 |
| APP 1% P | 0.0997 | 115 |
| APP 2% P | 0.0983 | 120 |
| APP 3% P | 0.0982 | 121 |
| RDP 1% P + APP 2% P | 0.1128 | 104 |
| RDP 1.5% P + APP 1.5% P | 0.1279 | 100 |
| RDP 2% P + APP 1% P | 0.1211 | 95 |
| Flame Retardant Composition | Storage Modulus at 25 °C [GPa] | Storage Modulus at 75 °C [GPa] |
|---|---|---|
| SPE composite reference | 68.79 | 68.86 |
| RDP 1% P | 67.33 | 61.76 |
| RDP 2% P | 65.04 | 58.93 |
| RDP 3% P | 69.60 | 44.23 |
| APP 1% P | 80.33 | 76.85 |
| APP 2% P | 62.18 | 61.31 |
| APP 3% P | 68.40 | 66.43 |
| RDP 1% P + APP 2% P | 71.54 | 68.33 |
| RDP 1.5% P + APP 1.5% P | 75.34 | 65.96 |
| RDP 2% P + APP 1% P | 73.48 | 66.70 |
| Flame Retardant Composition | Tensile Strength [MPa] | Flexural Strength [MPa] | Interlaminar Shear Strength [MPa] | Charpy Impact Energy [kJ/m2] |
|---|---|---|---|---|
| SPE reference | 916.2 ± 18.7 | 996.9 ± 64.3 | 41.1 ± 1.9 | 85.5 ± 6.6 |
| RDP 1% P | 818.8 ± 56.5 | 867.7 ± 62.2 | 44.3 ± 1.3 | 88.7 ± 6.9 |
| RDP 2% P | 826.4 ± 49.8 | 900.4 ± 64.9 | 47.5 ± 0.7 | 90.5 ± 19.3 |
| RDP 3% P | 851.2 ± 29.7 | 919.5 ± 138.4 | 41.3 ± 1.0 | 93.0 ± 6.9 |
| APP 1% P | 795.6 ± 123.0 | 895.0 ± 41.3 | 42.7 ± 1.5 | 75.1 ± 8.9 |
| APP 2% P | 842.1 ± 49.9 | 948.4 ± 43.4 | 41.0 ± 1.4 | 79.8 ± 9.4 |
| APP 3% P | 914.3 ± 76.6 | 927.4 ± 74.4 | 42.7 ± 1.2 | 102.2 ± 33.6 |
| RDP 1% P + APP 2% P | 1025.0 ± 23.4 | 1004.3 ± 95.2 | 41.0 ± 2.8 | 99.0 ± 19.9 |
| RDP 1.5% P + APP 1.5% P | 951.1 ± 37.3 | 956.0 ± 98.5 | 41.0 ± 1.1 | 95.0 ± 17.6 |
| RDP 2% P + APP 1% P | 948.1 ± 8.3 | 976.0 ± 98.5 | 38.3 ± 1.2 | 87.0 ± 1.8 |
© 2017 by the authors. Licensee MDPI, Basel, Switzerland. This article is an open access article distributed under the terms and conditions of the Creative Commons Attribution (CC BY) license (http://creativecommons.org/licenses/by/4.0/).
Share and Cite
Toldy, A.; Niedermann, P.; Pomázi, Á.; Marosi, G.; Szolnoki, B. Flame Retardancy of Carbon Fibre Reinforced Sorbitol Based Bioepoxy Composites with Phosphorus-Containing Additives. Materials 2017, 10, 467. https://doi.org/10.3390/ma10050467
Toldy A, Niedermann P, Pomázi Á, Marosi G, Szolnoki B. Flame Retardancy of Carbon Fibre Reinforced Sorbitol Based Bioepoxy Composites with Phosphorus-Containing Additives. Materials. 2017; 10(5):467. https://doi.org/10.3390/ma10050467
Chicago/Turabian StyleToldy, Andrea, Péter Niedermann, Ákos Pomázi, György Marosi, and Beáta Szolnoki. 2017. "Flame Retardancy of Carbon Fibre Reinforced Sorbitol Based Bioepoxy Composites with Phosphorus-Containing Additives" Materials 10, no. 5: 467. https://doi.org/10.3390/ma10050467
APA StyleToldy, A., Niedermann, P., Pomázi, Á., Marosi, G., & Szolnoki, B. (2017). Flame Retardancy of Carbon Fibre Reinforced Sorbitol Based Bioepoxy Composites with Phosphorus-Containing Additives. Materials, 10(5), 467. https://doi.org/10.3390/ma10050467

