Augmented Nonlinear Controller for Maximum Power-Point Tracking with Artificial Neural Network in Grid-Connected Photovoltaic Systems
Abstract
:1. Introduction
- A grid-connected PV system including the topological structure, MPPT algorithm, DC/DC boost converter, and DC/AC inverter control strategy is proposed.
- The presented paper applies the ANN + AFL controller to extract maximum power from solar power. The control effect is compared with that of several algorithms (previously mentioned) under various conditions to prove its performance and superiority.
- The advantages and disadvantages of ANN + AFL are discussed based on the error analysis, in order to show the effectiveness and superiority of the presented controller over the conventional controllers.
2. Grid-Connected Photovoltaic (PV) Generation System
2.1. Structure of the Proposed System
2.2. PV Cell Model
3. Artificial Neural Network (ANN) Method for Maximum Power-Point Tracking (MPPT)
3.1. Neural Network Construction for MPPT
3.2. Neural Network Analysis for MPPT
4. Topology and Control Strategy for Proposed Power Converter
4.1. Nonlinear Model of DC/DC Converter
4.2. Augmented-State Feedback Linearization (AFL) Control for Nonlinear Systems
4.3. DC/AC Inverter and Control
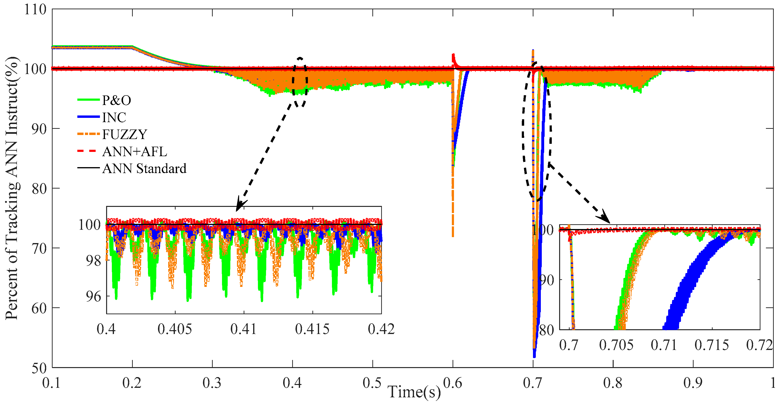
5. Simulation Results and Discussion
- The effect of fast irradiance variations must be investigated for the evolution of the operating point of the PV array for slow temperature variations.
- The operating point of the PV array must be analyzed under rapid irradiance changes at a fixed temperature of 25 °C.
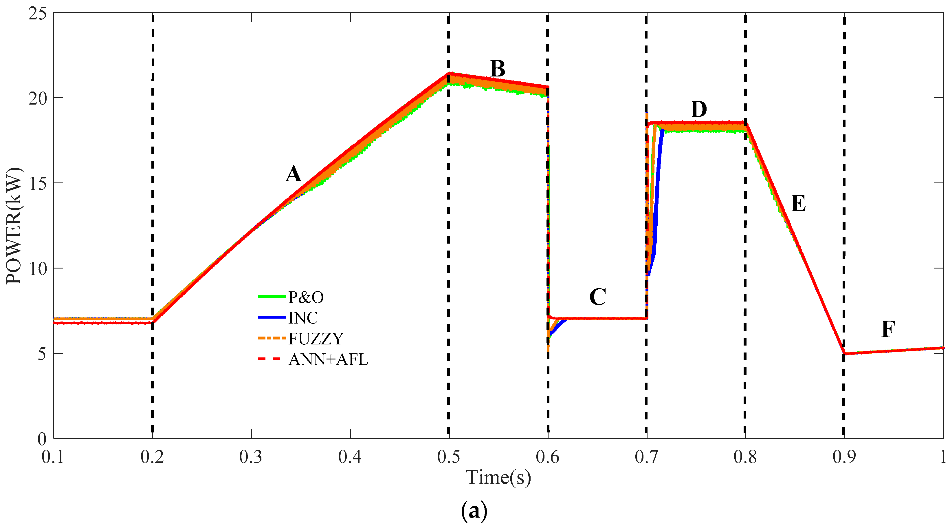
5.1. Simulation Case 1
- Part A:
- In order to assess the intelligence of the hybrid structure, the irradiance is increased to 1000 W/m2 from 300 W/m2 between 0.2 s and 0.5 s, at a uniform speed. The temperature is also increased from −5 °C between 0.2 s and 0.5 s at a uniform speed.
- Part B:
- The irradiance is maintained at a constant value of 1000 W/m2, and the temperature is increased to 45 °C between 0.5 s and 0.6 s at a uniform speed.
- Part C:
- The irradiance is decreased to 350 W/m2 from 1000 W/m2 between 0.6 s and 0.7 s. The temperature is maintained at a constant value of 45 °C.
- Part D:
- The irradiance is increased to 900 W/m2 from 350 W/m2 between 0.7 s and 0.8 s. The temperature is maintained at a constant value of 45 °C.
- Part E:
- The irradiance is decreased to 250 W/m2 from 900 W/m2 between 0.8 s and 0.9 s at a uniform speed. The temperature is maintained at a constant value of 45 °C.
- Part F:
- The temperature is decreased from 45 °C at a uniform speed, between 0.9 s and 1.0 s, and the irradiance is maintained at a constant value of 250 W/m2.
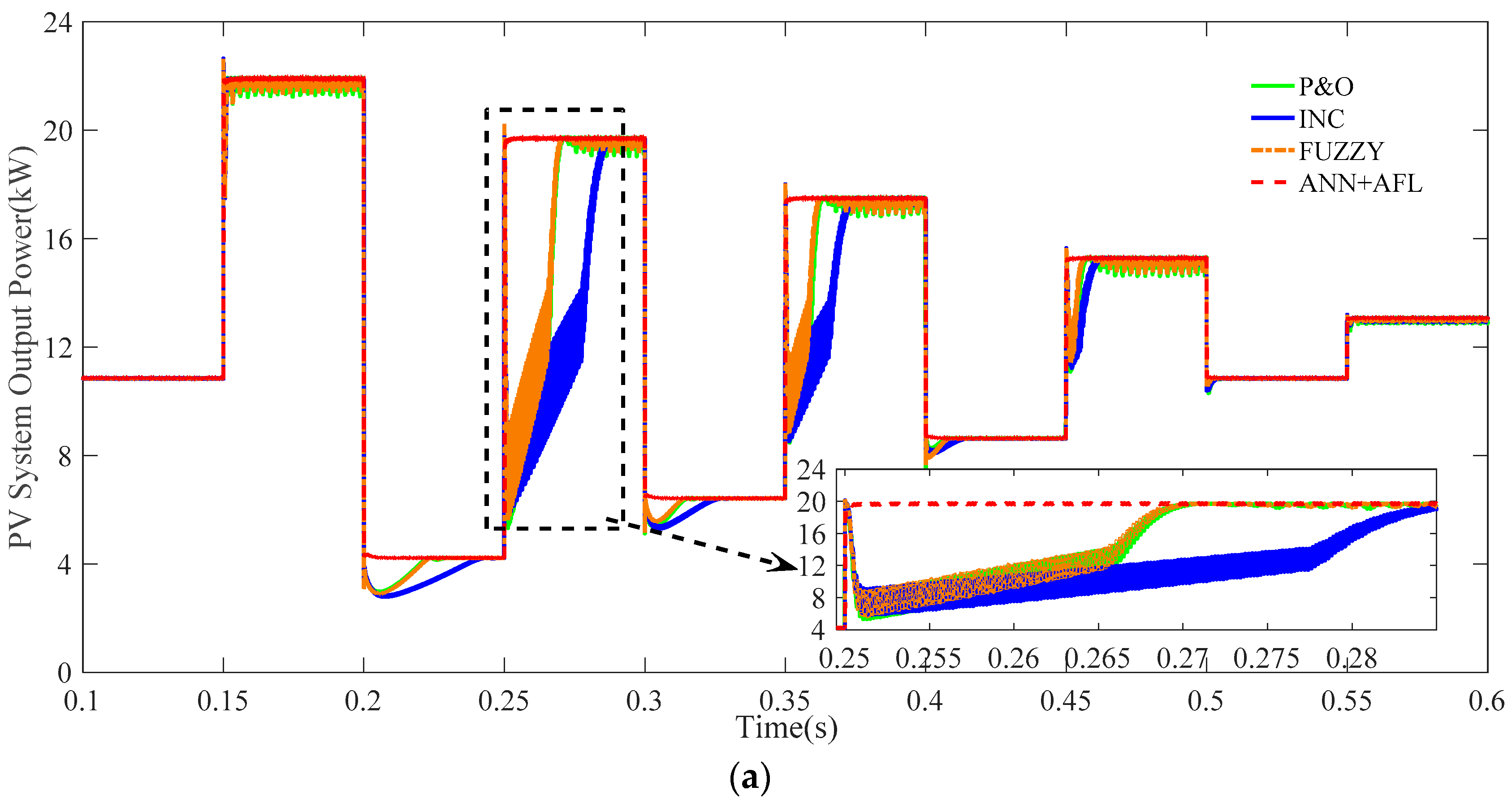
5.2. Simulation Case 2
- 0 s~0.15 s: The irradiance is maintained at a constant value of 500 W/m2.
- 0.15 s~0.2 s: The irradiance is increased to 1000 W/m2 from 500 W/m2.
- 0.2 s~0.25 s: The irradiance is decreased to 200 W/m2 from 1000 W/m2.
- 0.25 s~0.3 s: The irradiance is increased to 900 W/m2 from 200 W/m2.
- 0.3 s~0.35 s: The irradiance is decreased to 300 W/m2 from 900 W/m2.
- 0.35 s~0.4 s: The irradiance is increased to 800 W/m2 from 300 W/m2.
- 0.4 s~0.45 s: The irradiance is decreased to 400 W/m2 from 800 W/m2.
- 0.45 s~0.5 s: The irradiance is increased to 700 W/m2 from 400 W/m2.
- 0.5 s~0.55 s: The irradiance is decreased to 500 W/m2 from 700 W/m2.
- 0.55 s~0.6 s: The irradiance is increased to 600 W/m2 from 500 W/m2.
6. Conclusions
Acknowledgments
Author Contributions
Conflicts of Interest
Appendix A. Nonlinearity Control Theory and Parameter Analysis in Third-Order Systems
Appendix A.1. Some Definitions in Nonlinearity Control Theory
- Vector field: Given a subset S in Rn, a vector field is represented by a vector-valued function V: S→Rn in standard Cartesian coordinates (x1, …, xn). If each component of V is continuous, then V is a continuous vector field, and more generally, V is a Ck vector field if each component of V is k times continuously differentiable. A vector field can be visualized by assigning vectors to individual points within an n-dimensional space.A vector field defines a unique dynamical system described as a differential equation:i.e., a vector field f, with initial condition x0, determines an integral curve t→(x1(t), …, xn(t)), which is a solution to Equation (A1) such that x(0) = x0.
- Lie derivative: If f is a smooth vector field on U and h is a smooth function on U, then, f(h) is a smooth function on U defined by:A vector field can be interpreted as an operator mapping the function h onto the function f(h). The function f(h) is called the Lie derivative of the function h along the vector field f; it is usually denoted as Lfh, which is a more convenient notation for repeated operations:Repeated Lie derivatives along the same vector field f are denoted as , . The Lie derivative Lfh of a smooth function h along a vector field f is also denoted by .
- Lie bracket: If f and g are smooth vector fields on U and h is a smooth function on U, then, [f, g](h) is a smooth function on U defined by:The Lie bracket [f, g] of two vector fields f and g is also denoted by ad f g. [f, g] is a vector field. Repeated Lie brackets are denoted as , .
Appendix A.2. Multi-Input Feedback Linearization Theorem
- a nonsingular state feedback:where K(x) is a smooth function from V0 onto Rn, β(x) is an m × m matrix with smooth entries, nonsingular in V0
- a local diffeomorphism in V0: , if, and only if, in U0:
- , is involutive and of constant rank.
- Rank Gn−1 = n.
Appendix B. Simulation Parameters
Simulation Parameters
References
- Renewable Energy Policy Network for the 21st Century (REN21). Renewables 2010; Global Status Report; REN21 Secretariat: Paris, France, 2010. [Google Scholar]
- International Energy Agency (IEA). Technology Roadmap Solar, Photovoltaic Energy; IEA: Paris, France, 2010. [Google Scholar]
- Kish, G.J.; Lee, J.J.; Lehn, P.W. Modelling and control of photovoltaic panels utilising the incremental conductance method for maximum power point tracking. IET Renew. Power Gener. 2012, 6, 259–266. [Google Scholar] [CrossRef]
- Femia, N.; Petrone, G.; Spagnuolo, G.; Vitelli, M. A technique for improving P&O MPPT performances of double-stage grid-connected photovoltaic systems. IEEE Trans. Ind. Electron. 2009, 56, 4473–4482. [Google Scholar]
- Esram, T.; Chapman, P.L. Comparison of photovoltaic array maximum power point tracking techniques. IEEE Trans. Energy Convers. 2007, 22, 439–449. [Google Scholar] [CrossRef]
- Gonzalez, D.; Ramos-Paja, C.A.; Petrone, G. Automated procedure for calculating the controller parameters in photovoltaic dc/dc converters. Int. Rev. Electr. Eng. 2011, 6, 3027–3040. [Google Scholar]
- Adinolfi, G.; Femia, N.; Petrone, G.; Spagnuolo, G.; Vitelli, M. Design of dc/dc converters for DMPPT PV applications based on the concept of energetic efficiency. J. Sol. Energy Eng. 2010, 132. [Google Scholar] [CrossRef]
- Rezvani, A.; Gandomkar, M.; Izadbakhsh, M.; Ahmadi, A. Environmental/economic scheduling of a micro-grid with renewable energy resources. J. Clean. Prod. 2015, 87, 216–226. [Google Scholar] [CrossRef]
- Hohm, D.P.; Ropp, M.E. Comparative study of maximum power point tracking algorithms. Prog. Photovolt. Res. Appl. 2003, 11, 47–62. [Google Scholar] [CrossRef]
- Salas, V.; Olias, E.; Barrado, A.; Lazaro, A. Review of the maximum power point tracking algorithms for stand-alone photovoltaic systems. Sol. Energy Mater. Sol. Cells 2006, 90, 1555–1578. [Google Scholar] [CrossRef]
- Ahmed, J.; Salam, Z. An improved perturb and observe (P&O) maximum power point tracking (MPPT) algorithm for higher efficiency. Appl. Energy 2015, 150, 97–108. [Google Scholar]
- Piegari, L.; Rizzo, R. Adaptive perturb and observe algorithm for photovoltaic maximum power point tracking. IET Renew. Power Gener. 2010, 4, 317–328. [Google Scholar] [CrossRef]
- Mamarelis, E.; Petrone, G.; Spagnuolo, G. A two-steps algorithm improving the P&O steady state MPPT efficiency. Appl. Energy 2014, 113, 414–421. [Google Scholar]
- Hussein, K.H.; Muta, I.; Hoshino, T.; Osakada, M. Maximum photovoltaic power tracking: An algorithm for rapidly changing atmospheric conditions. IEEE Proc. Gener. Transm. Distrib. 1995, 142, 59–64. [Google Scholar] [CrossRef]
- Hsieh, G.C.; Chen, H.L.; Chen, Y.; Tsai, C.M.; Shyu, S.S. Variable frequency controlled incremental conductance derived MPPT photovoltaic stand-along DC bus system. In Proceedings of the 23th Annual IEEE Applied Power Electronics Conference and Exposition, Austin, TX, USA, 24–28 February 2008.
- Qiang, M.; Mingwei, S.; Liying, L.; Guerrero, J.M. A novel improved variable step-size incremental-resistance MPPT method for PV systems. IEEE Trans. Ind. Electron. 2011, 58, 2427–2434. [Google Scholar]
- Algazar, M.M.; Al-Monier, H.; EL-halim, H.A.; Salem, M.E.E.K. Maximum power point tracking using fuzzy logic control. Int. J. Electr. Power Energy Syst. 2012, 39, 21–28. [Google Scholar] [CrossRef]
- Liu, L.; Liu, C.; Wang, J.; Kong, Y. Simulation and hardware implementation of a hill-climbing modified fuzzy-logic for maximum power point tracking with direct control method using boost converter. J. Vib. Control 2015, 21, 335–342. [Google Scholar] [CrossRef]
- Chiu, C.S.; Ouyang, Y.L. Robust maximum power tracking control of uncertain photovoltaic systems: A unified T-S fuzzy model-based approach. IEEE Trans. Control Syst. Technol. 2011, 19, 1516–1526. [Google Scholar] [CrossRef]
- Khaldi, N.; Mahmoudi, H.; Zazi, M.; Barradi, Y. The MPPT control of PV system by using neural networks based on Newton Raphson method. In Proceedings of the 2014 International Renewable and Sustainable Energy Conference (IRSEC), Quarzazate, Morocco, 17–19 October 2014.
- Singh, M.D.; Shine, V.J.; Janamala, V. Application of artificial neural networks in optimizing MPPT control for standalone solar PV system. In Proceedings of the 2014 International Conference on Contemporary Computing and Informatics (IC3I), Mysore, India, 27–29 November 2014.
- Elobaid, L.M.; Abdelsalam, A.K.; Zakzouk, E.E. Artificial neural network-based photovoltaic maximum power point tracking techniques: A survey. IET Renew. Power Gener. 2015, 9, 1043–1063. [Google Scholar] [CrossRef]
- Valencia, P.A.O.; Ramos-Paja, C.A. Sliding-mode controller for maximum power point tracking in grid-connected photovoltaic systems. Energies 2015, 8, 12363–12387. [Google Scholar] [CrossRef]
- Bianconi, E.; Calvente, J.; Giral, R.; Mamarelis, E.; Petrone, G.; Ramos-paja, C.A.; Spagnuolo, G.; Vitelli, M. A fast current-based MPPT technique employing sliding mode control. IEEE Trans. Ind. Electron. 2013, 60, 1168–1178. [Google Scholar] [CrossRef]
- Gonzalez Montoya, D.; Ramos-Paja, C.A.; Giral, R. Improved design of sliding mode controllers based on the requirements of MPPT techniques. IEEE Trans. Power Electron. 2015, 31, 235–247. [Google Scholar] [CrossRef]
- Liu, Y.H.; Huang, S.C.; Huang, J.W.; Liang, W.C. A particle swarm optimization-based maximum power point tracking algorithm for PV systems operating under partially shaded conditions. IEEE Trans. Energy Convers. 2012, 27, 1027–1035. [Google Scholar] [CrossRef]
- Renaudineau, H.; Donatantonio, F.; Fontchastagner, J.; Petrone, G.; Spagnuolo, G.; Martin, J.-P.; Pierfederici, S. A PSO-Based Global MPPT Technique for Distributed PV Power Generation. IEEE Trans. Ind. Electron. 2015, 62, 1047–1058. [Google Scholar] [CrossRef]
- Benyoucef, A.S.; Chouder, A.; Kara, K.; Silvestre, S.; Sahed, O.A. Artificial bee colony based algorithm for maximum power point tracking (MPPT) for PV systems operating under partial shaded conditions. Appl. Soft Comput. 2015, 32, 38–48. [Google Scholar] [CrossRef]
- Trejos, A.; Gonzalez, D.; Ramos-Paja, C.A. Modeling of step-up grid-connected photovoltaic systems for control purposes. Energies 2012, 5, 1900–1926. [Google Scholar] [CrossRef]
- Punitha, K.; Devaraj, D.; Sakthivel, S. Artificial neural network based modified incremental conductance algorithm for maximum power point tracking in photovoltaic system under partial shading conditions. Energy 2013, 62, 330–340. [Google Scholar] [CrossRef]
- Rezvani, A.; Gandomkar, M. Modeling and control of grid connected intelligent hybrid photovoltaic system using new hybrid fuzzy-neural method. Sol. Energy 2016, 127, 1–18. [Google Scholar] [CrossRef]
- Mutlag, A.H.; Mohamed, A.; Shareef, H. A nature-inspired optimization-based optimum fuzzy logic photovoltaic inverter controller utilizing an eZdsp F28335 Board. Energies 2016, 9. [Google Scholar] [CrossRef]
- Shiau, J.; Wei, Y.; Lee, M. Fuzzy controller for a voltage-regulated solar-powered MPPT system for hybrid power system application. Energies 2015, 8, 3292–3312. [Google Scholar] [CrossRef]
- Bhatnagar, P.; Nema, R.K. Maximum power point tracking control techniques: State-of-the-art in photovoltaic applications. Renew. Sustain. Energy Rev. 2013, 23, 224–241. [Google Scholar] [CrossRef]
- Ahmed, J.; Salam, Z. A critical evaluation on maximum power point tracking methods for partial shading in PV systems. Renew. Sustain. Energy Rev. 2015, 47, 933–953. [Google Scholar] [CrossRef]
- Manganiello, P.; Ricco, M.; Petrone, G.; Monmasson, E.; Spagnuolo, G. Optimization of perturbative PV MPPT methods through online system identification. IEEE Trans. Ind. Electron. 2014, 61, 6812–6821. [Google Scholar] [CrossRef]
- Mamarelis, E.; Petrone, G.; Spagnuolo, G. A hybrid digital-analog sliding mode controller for photovoltaic applications. IEEE Trans. Ind. Inf. 2103, 9, 1094–1103. [Google Scholar] [CrossRef]
- Haroun, R.; Aroudi, A.E.; Cid-Pastor, A.; Garcia, G.; Olalla, C.; Martinez-Salamero, L. Impedance matching in photovoltaic systems using cascaded boost converters and sliding-mode control. IEEE Trans. Power Electron. 2015, 30, 3185–3199. [Google Scholar] [CrossRef]
- Erickson, R.W.; Maksimovic, D. Fundamentals of Power Electronics, 2nd ed.; Springer: Berlin, Germany, 2007. [Google Scholar]
- Hossein, A.M.; Hossein, M. Improving the performance of a nonlinear boiler-turbine unit via bifurcation control of external disturbances: A comparison between sliding mode and feedback linearization control approaches. Nonlinear Dyn. 2016, 85, 229–243. [Google Scholar]
- Xibei, D.; Alok, S. Hydropower plant frequency control via feedback linearization and sliding mode control. J. Dyn. Syst. Meas. Control 2016, 138. [Google Scholar] [CrossRef]
- Francesco, A.; Maurizio, C.; Marcello, P.; Antonino, S. Input-output feedback linearization control with on-line MRAS-based inductor resistance estimation of linear induction motors including the dynamic end effects. IEEE Trans. Ind. Appl. 2016, 52, 254–266. [Google Scholar]
- Dannehl, J.; Wessels, C.; Fuchs, F.W. Limitation of voltage-oriented PI current control of grid-connected PWM rectifier with LCL filters. IEEE Trans. Ind. Electron. 2009, 56, 380–388. [Google Scholar] [CrossRef]
- Dannehl, J.; Fuchs, F.W.; Hansen, S.; Thogersen, P.B. Investigation of active damping approaches for PI-based current control of grid-connected pulse width modulation converter with LCL filters. IEEE Trans. Ind. Appl. 2010, 46, 1509–1517. [Google Scholar] [CrossRef]
- Dannehl, J.; Fuchs, F.W.; Thogersen, P.B. PI state current control of grid-connected PWM converters with LCL filters. IEEE Trans. Power Electron. 2010, 25, 2320–2330. [Google Scholar] [CrossRef]
- Hwang, T.S.; Park, S.Y. A seamless control strategy of a distributed generation inverter for the critical load safety under strict grid disturbances. IEEE Trans. Power Electron. 2013, 28, 4780–4790. [Google Scholar] [CrossRef]
























| Parameter | Value |
|---|---|
| Voc (open-circuit voltage) | 64.2 V |
| Isc (short-circuit current) | 5.96 A |
| VMP (rated voltage) | 54.7 V |
| IMP (rated current) | 5.58 A |
| PMax (rated power) | 305.2 W |
| NP (number of parallel cells) | 1 |
| NS (number of series cells) | 96 |
| αv (Temperature coefficient) | 0.001 (%/°C) |
© 2016 by the authors; licensee MDPI, Basel, Switzerland. This article is an open access article distributed under the terms and conditions of the Creative Commons Attribution (CC-BY) license (http://creativecommons.org/licenses/by/4.0/).
Share and Cite
Ma, S.; Chen, M.; Wu, J.; Huo, W.; Huang, L. Augmented Nonlinear Controller for Maximum Power-Point Tracking with Artificial Neural Network in Grid-Connected Photovoltaic Systems. Energies 2016, 9, 1005. https://doi.org/10.3390/en9121005
Ma S, Chen M, Wu J, Huo W, Huang L. Augmented Nonlinear Controller for Maximum Power-Point Tracking with Artificial Neural Network in Grid-Connected Photovoltaic Systems. Energies. 2016; 9(12):1005. https://doi.org/10.3390/en9121005
Chicago/Turabian StyleMa, Suliang, Mingxuan Chen, Jianwen Wu, Wenlei Huo, and Lian Huang. 2016. "Augmented Nonlinear Controller for Maximum Power-Point Tracking with Artificial Neural Network in Grid-Connected Photovoltaic Systems" Energies 9, no. 12: 1005. https://doi.org/10.3390/en9121005
APA StyleMa, S., Chen, M., Wu, J., Huo, W., & Huang, L. (2016). Augmented Nonlinear Controller for Maximum Power-Point Tracking with Artificial Neural Network in Grid-Connected Photovoltaic Systems. Energies, 9(12), 1005. https://doi.org/10.3390/en9121005

