Next Article in Journal
Revenue Risk of U.S. Tight-Oil Firms
Previous Article in Journal
Study of Wind Turbine Fault Diagnosis Based on Unscented Kalman Filter and SCADA Data
 
 
Font Type:
Arial Georgia Verdana
Font Size:
Aa Aa Aa
Line Spacing:
Column Width:
Background:
Article

Probability Model Based Energy Efficient and Reliable Topology Control Algorithm

by
Ning Li
*,
Jose-Fernan Martinez-Ortega
,
Lourdes Lopez Santidrian
and
Juan Manuel Meneses Chaus
Research Center on Software Technologies and Multimedia Systems for Sustainability (CITSEM), Universidad Politécnica de Madrid (UPM), Madrid 28031, Spain
*
Author to whom correspondence should be addressed.
Energies 2016, 9(10), 841; https://doi.org/10.3390/en9100841
Submission received: 20 June 2016 / Revised: 12 September 2016 / Accepted: 12 October 2016 / Published: 20 October 2016

Abstract

:
Topology control is an effective method for improving the performance of wireless sensor networks (WSNs). Many topology control algorithms can achieve high energy efficiency by dynamically changing the transmission range of nodes. However, these algorithms prefer to choose short multihop communication links rather than the long directly communication links which also energy efficient probabilistic. Note that these fact, in this paper, we propose a mathematic model to explore the probability that the long directly communication links are more energy efficient than the short links. We investigate the properties of this probability and find out the optimal transmission range which has highest probability of energy efficient. Based on this conclusion, we propose the energy efficient and reliable topology control algorithm (ERTC) to maintain the r-range for the nodes instead of the k-connection; moreover, ERTC can achieve energy efficient and network connection at the same time.

1. Introduction

Wireless sensor networks (WSNs) have become more and more widely used and important in recent years. The properties of WSNs—which contain hundreds or thousands of sensors—are limited by the energy, the bandwidth, the capability of computing, etc. Moreover, in most applications, the WSNs are arranged in the remote area where changing the sensor nodes always impossible or inconvenient, so how to save the node energy and prolong the network lifetime is important for WSN. There are many algorithms have been proposed to improve the network reliable and energy efficient for WSN. One remarkable approach is topology control. Topology control has been proposed to address many problems in WSNs by adding or deleting nodes/links according to certain algorithms. The aim of topology control is to reduce energy consumption and preserve other fundamental properties for the network at the same time [1], such as network connectivity, reliability, fault-tolerant, coverage, etc.
In WSNs, topology control can be implemented in three approaches [2]: (1) Power Adjustment Approach: minimizing the transmission power by adjusting the transmission range of node; in this approach, the long distance communication links will be eliminated while the short links will be chosen; (2) Power Model Management: controlling the feature of the operating mode to reduce energy consumption; there are four operating modes: sleep mode, idle mode, transmission mode, and receiving mode; since the energy consumption during the transmission mode and receiving mode is generally higher than that in the sleep mode [3], so switching the redundant nodes into sleep mode can save energy obviously [4]; (3) Clustering Approach [5]: selecting a set of nodes in the network to construct an efficiently hierarchical topology; the clusterheads are restricted to certain tasks like collecting data, processing packets, or forwarding packets to non-clusterheads; the non-clusterheads nodes collect data and transmit the data packets to the clusterheads. In this paper, we mainly concentrate on the first one, i.e., the power adjustment approach.
To the power adjustment approach, on one hand, for reducing interference and energy consumption, each node transmits packets with relative low power [6]. The algorithms are generally localized, i.e., each node uses only the information that is one or two hops away. The problem of minimizing the total energy consumption for the whole network is NP-hard in both two and three dimensional space [7,8]. In addition, if the WSN consists thousands of nodes, it is difficult to calculate the optimal transmission ranges for transmitting the packets to the concerned nodes [3]. On the other hand, even reducing the transmission range of nodes is the most common and effective approach to control the network topology and reduce the energy consumption in WSN, but in this paper we will show that the long directly communication links can probabilistically spend less energy than the short indirectly communication links, i.e., it is probabilistic when reducing the energy consumption of network by reducing transmission range.
Motivated by these, in this paper, we explore the probability of reducing energy consumption by reducing the transmission range, and investigate the properties of this probability under different scenarios. Based on the conclusions, we propose an energy efficient and reliable topology control algorithm (ERTC) which meets the requirements of network connection and energy efficient at the same time. The contributions of this paper are as follows:
  • we propose a mathematic probability model for energy consumption analysis when applying the transmission power adjustment approach. To the best of our knowledge, this is the first probability analysis model for this kind of issue;
  • we analyze the probability model in detail and explore the features of this model under different network parameters;
  • we propose an ERTC based on these conclusions, which maintain the r-range of the node instead of the k-connection and can adapt the network dynamic.
The rest parts of the paper are organization as follows: in Section 2, we will introduce the related works of the and topology control; Section 3 will provide the network model and state the problems which will be investigated in this paper; we will introduce the probability model and analysis the properties of this model in Section 4; in Section 5, we will introduce the ERTC method in detail; Section 6 explores the performance of ERTC based on simulation; in Section 7, we conclude this paper.

2. Related Works

The latest surveys of network topology control algorithms can be found in [2,9,10,11]. The primary goals of topology control are to guarantee the network connection and reduce the energy consumption as far as possible. Many heuristic algorithms have been proposed, such as, Local Minimum Spanning Tree (LMST) [12], Local Tree-based Reliable Topology (LTRT) [6], A1 [13], Poly [14], Centralized Robust Topology Control Algorithm (CRTCA) [15], Cooperative topology control scheme with Opportunistic Interference Cancelation (COIC) [16], Local Mean Neighbor (LMN) [17], Local Mean Algorithm (LMA) [17], Smart Boundary Yao Gabriel Graph (SBYaoGG) [18], BRASP [19], etc. Almost all of these protocols regard topology control as a technique in which nodes dynamically change their transmission ranges to gain energy efficient and network connection. In [12], each node builds its own LMST independently and only on-tree nodes that one-hop away are kept in the final topology. Considering the fact that the LMST always constructs one-connected network in the final topology, in [6], the authors propose LTRT algorithm, which combines the idea of LMST and Tree-based Reliable Topology (TRT) together to guarantee k-edge connectivity in the resulting topology. LTRT can maintain the network connection at low computational cost and energy consumption. In [19], due to the lossy links in the real environment (which can provide only probabilistic connection), the authors propose a novel probabilistic network model, in which the network connectivity is metered by the network reachability. The authors explore the minimal transmission power for each node when the network reachability is above a given threshold. Based on the conclusion, the authors propose BRASP algorithm to improve the energy efficiency and reduce the average node degree. A1 assumes the network topology as a connected network and finds a set of active nodes to form connected dominating set (CDS) [13]. This algorithm can form a reduced topology while keeping the network connection and coverage at the same time. In addition, A1 forms the CDS which comprising high energy nodes in a single phase construction process and a set of active nodes for energy efficiency and better sensing coverage, respectively. Similarly with A1, Poly [14] is also the algorithm based on CDS. In Poly, the network is modeled as a connected graph. The protocol can turn off the unnecessary node and keep the network connection and coverage at the same time. LMN and LMA are the two typical power adjustment topology control algorithms [17]. In LMA, all the nodes can get their node degree. The algorithm sets the minimum threshold and maximum threshold for this number; if the node degree is less than the minimum threshold, the transmission range will be increased; otherwise, transmission range will be reduced. The principle of LMN is similar with LMA, but LMN does not set the maximum and minimum thresholds for the node degree. In LMN, the nodes use the mean neighbors’ node degree as the threshold to adjust the transmission ranges.

3. Network Model and Problem Statement

In general, there are three models can express the connection mode between nodes, which are shown in Figure 1 [20]. Figure 1a illustrates the k nearest neighbor model; each node in this model has constant node degree and maintains the node degree by changing communication range dynamically. Figure 1b illustrates the disc model; in this model, the transmission range is modeled as a disk with radius r; the nodes connect with other nodes that fall into its communication range. Figure 1c illustrates the Erdos-Renyi random graph that connects any two nodes by the same probability which is not appropriate in WSNs. Disc model is more plausible in WSN since obtaining k neighbors is not always feasible due to the communication range limitation [20]. Therefore, in this paper, we only interested in the Disc model. The nodes in this model are uniform distributed and fixed; moreover, the nodes have different initial transmission ranges and can change their transmission ranges from zero to the maximum.
The notations and network definitions used in this paper are as follows:
n
The node number of the whole network;
r
The Euclidean distance between two nodes u and v, in this paper, we also use r to represent the initial transmission range;
γ
The distance-power gradient;
P u v
The energy required to transmit data from node u to node v;
ρ
The probability of energy efficient when applying the power adjustment topology control algorithm.
Definition 1.
The communication range of node u is defined as the area where other nodes can receive u’s packet correctly.
In this paper, the communication ranges of nodes are circles, but may not be the same. Moreover, the transmission range can be changed from zero to maximum.
Definition 2.
The energy P u v required to transmit data packet from node u to node v is defined as r γ , where r is the Euclidean distance between node u and node v, and γ is a constant called the distance-power gradient whose typical value is between 2 and 4 [21,22,23].
Definition 3.
The neighbors of node u are defined as the nodes which can receive the packet from node u and can reply message to node u.
Consequently, as shown in Figure 2, according to the definition of the neighbors, if node v is the neighbor of node u, then the node u is also the neighbor of node v. In Figure 2, even the node m locates in the communication range of node u, but it can not send packet to node u due to the small transmission range, so node m is not the neighbor of node u. Node v is the neighbor node of node u, since node u also locates in the transmission range of node v.
Definition 4.
r-range of the node is defined as the optimal transmission range which has high probability of energy efficient.
Like the definition of k-connection for the network reliability and considering the probability that reduce the energy consumption by reducing the transmission range, if the nodes can maintain the optimal transmission range, i.e., r-range, the probability of energy efficient will be high.
As discussed in Section 2, many energy efficient topology control algorithms change the transmission range dynamically to gain energy efficient, but they fail to give the strict proof of whether this approach always effective or not; if not, what is the probability of this issue, and how to improve this probability? In this paper, we will analyze these issues in detail.

4. Probability Analysis

Theorem 1.
After the transmission range adjustment, the probability that the energy consumption is less than the previous one is ρ = 2 r 2 0 r ( r γ x γ ) 1 γ d x 1 .
Proof. 
In WSN, supposing that node v is the neighbor of node u. when node u transmits packet to node v, the energy consumption is related to the distance between two nodes, which can be expressed as:
P u v 1 r γ ,
where r is the Euclidean distance between node u and node v, γ is the distance-power gradient that depending on the characteristics of the communication medium ( 2 γ 4 , γ 2 for outdoor propagation modes [23]); P u v 1 is the power needed for link between node u and node v.
If the transmission ranges of node u and node v are reduced based on the topology control algorithm, then node u and node v cannot communicate directly, which is shown in Figure 3. As a result, node n will be chosen as the relay node, where node n is the neighbor of both node u and node v. Thus, the energy needed to transmit packets from node u to node v will be:
P u v 2 r 1 γ + r 2 γ ,
where r 1 is the Euclidean distance between node u and node n, r 2 is the Euclidean distance between node n and node v; P u v 2 is the power needed for communicating between node u and node v by using relay node n.
Therefore, the issues we need to solve are when P u v 2 is smaller than P u v 1 and what is the probability that P u v 2 smaller than P u v 1 . For exploring these issues, we define the Energy efficient Dominating Sets (EDS) as follows:
{ P u v 1 P u v 2 r 1 + r 2 r 0 < r 1 r 0 < r 2 r ,
where the first constraint means the energy consumption after power adjustment is smaller than the previous one; the second constraint make sure node u still can communication with node v by using a relay node; the third and the fourth constraints guarantee the transmission ranges of each nodes are smaller than the previous. The EDS is shown in Figure 4.
According the definition of EDS and the principle of linear programming, the EDS is the shadow area in Figure 4. The area ABC means the whole values which satisfy the second, third, and fourth constraints in Equation (3); the area A B is the set that the energy consumption is smaller than the previous. Therefore, the probability that the energy consumption is less than the previous one is the proportion of area A B in area ABC, which can be calculated as:
ρ = 2 r 2 0 r ( r γ x γ ) 1 γ d x 1 ,
where x is the transmission range of nodes and 0 < x < r .
Lemma 1.
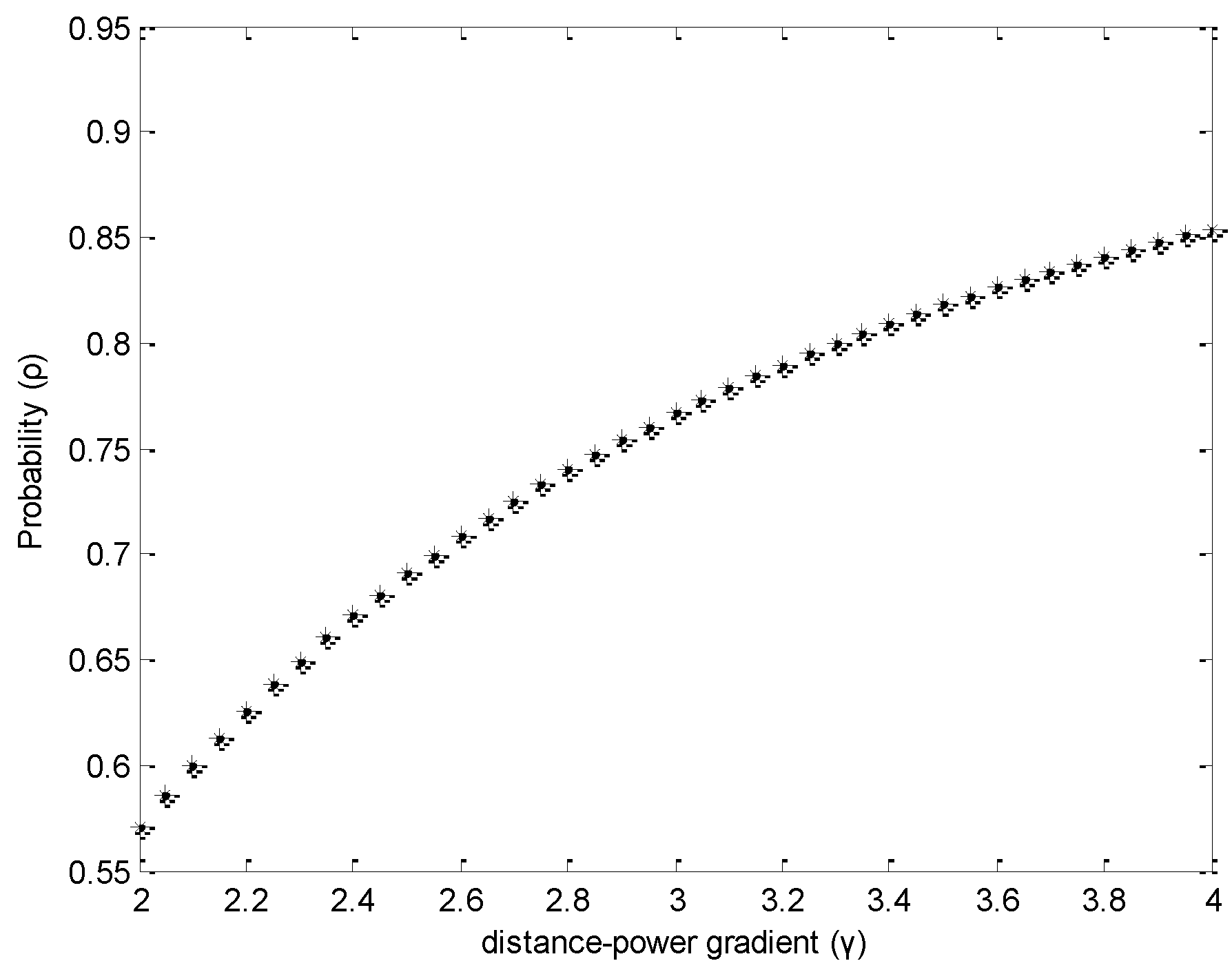
With the increasing of γ ( 2 γ 4 ), the probability ρ will increase from 0.5708 to 0.8541.
Proof. 
Considering the first derivative function of ρ on γ :
ρ γ = d [ 2 r 2 0 r ( r γ x γ ) 1 γ d x 1 ] d γ ,
In order to simplify the denotation, we define:
f ( γ ) = ( r γ x γ ) 1 γ ,
Therefore, Equation (5) can be rewritten as:
ρ γ = d [ 2 r 2 0 r f ( γ ) d x 1 ] d γ ,
Since 0 < x < r , so if we can prove f ( γ ) is an increasing function, then we can conclude that ρ ( γ ) is also the increasing function with γ . The first derivative function of f ( γ ) on γ is:
f ( γ ) = e 1 γ ( r γ x γ ) γ 1 r γ x γ ( r γ ln ( r ) x γ ln x ) ln ( r γ x γ ) γ 2                                > e 1 γ ( r γ x γ ) ln ( r γ ) ln ( r γ x γ ) γ 2 > 0 ,
As f ( γ ) > 0 , so f ( γ ) is an increasing function. Thus, the probability ρ will increase with the increasing of γ . In addition, the maximum and minimum values of ρ are as follows:
ρ min = ρ 2 = 0.5708 ,
ρ max = ρ 4 = 0.8541 ,
This can also be found in Figure 5.
As shown in Figure 5, with the increasing of γ , the probability ρ increases. The maximum value of ρ is 0.8741 and the minimum value is only 0.5708. This demonstrates that the algorithm which reduces the energy consumption by adjusting the transmission range is probabilistic, i.e., short transmission range does not mean small energy consumption. The reason why the probability increases with the increasing of γ is that with the increasing of γ , the energy consumption is more and more seriously effected by the distance between two nodes, which can be concluded from Equation (1); so if the transmission range changes, the energy consumption will be changed obviously.
Lemma 2.
With constant γ , the probability ρ will keep constant with the variation of the initial transmission range r.
Proof. 
We can prove this conclusion by simulation. The result can be found in Figure 6.
Figure 6 illustrates that with the increasing of r, the probability ρ will keep constant. In addition, when γ increases, the probability increases, too; and the bigger the γ , the small increasing rate is, which is consistent with the conclusion of Lemma 1 (shown in Figure 5).
The Lemma 2 indicates that the probability is nothing to do with the initial transmission range, i.e., no matter what r is, with constant γ , the probability will be the same.
Lemma 3.
With fixed value of γ , when the transmission range is ( 1 / 2 ) 1 / γ r , the probability ρ e can get the maximum value.
Proof. 
When applying the power adjustment topology control algorithm, the EDS of r 1 and r 2 are shown in Equation (3) and Figure 4. Thus, similar with the definition of EDS, the Un-EDS of r 1 and r 2 can be shown as follows:
{ P u v 1 P u v 2 r 1 + r 2 r 0 < r 1 r 0 < r 2 r ,
The meanings of each constraint are similar with Equation (3). The values which satisfy Un-EDS mean that the energy consumption of WSN does not decrease after reducing the transmission range. Therefore, how to reduce the size of Un-EDS is an effective method to increase the probability of energy efficient. A possible way is to eliminate some values of r 1 and r 2 from Un-EDS. Therefore, the new probability of energy efficient will be:
ρ e = 0 r ( r γ x γ ) 1 γ d x r 2 / 2 r 2 / 2 ( r r 1 ) ( r r 2 ) ,
where s = ( r r 1 ) ( r r 2 ) is the eliminated Un-EDS.
According the principle of linear programming, when r 1 and r 2 are in the boundary of Un-EDS, the eliminated Un-EDS s can get the maximum value, i.e., the probability ρ e can get the maximum value, which can be found in Equation (12). This means that r 1 and r 2 should satisfy the constraint as follows:
r 2 = ( r γ r 1 γ ) 1 / γ ,
The first derivative function of s and r 2 on r 1 can be expressed as:
s r 1 = d s d r 1 = r 2 r + ( r 1 r ) r 2 r 1 ,
r 2 r 1 = d r 2 d r 1 = r 1 γ 1 ( r γ r 1 γ ) 1 γ γ ,
Substitute Equation (15) into Equation (14), when s r 1 = 0 , the eliminated Un-EDS s can get the extremum value when r 1 = ( 1 / 2 ) 1 / γ r . Furthermore, when 0 < r 1 < ( 1 / 2 ) 1 / γ r , s r 1 > 0 ; when ( 1 / 2 ) 1 / γ r < r 1 < r , s r 1 < 0 ; so s ( ( 1 / 2 ) 1 / γ r ) is the maximum value of s. This conclusion also can be found in Figure 7. In Figure 7, we set the initial transmission range r to 1, i.e., r = 1 in this simulation.
When the probability ρ e get the maximum value, the values of r 1 are 0.7r, 0.8r, and 0.85r where γ = 2 , γ = 3 , and γ = 4 , respectively. The maximum value of ρ e in Figure 7 is consistent with the conclusion in Table 1, which are got from Equations (4) and (12).
From Table 1, we can find that after eliminating some values from the Un-EDS, the probabilities of energy efficient increase obviously: 11% when γ = 2 , 7% when γ = 3 , and 5% when γ = 4 . Thus, in the power adjustment based topology control algorithm, we can use ( 1 / 2 ) 1 / γ r as the optimal transmission range of nodes.

5. Energy Efficient and Reliable Topology Control Protocol

In Section 4, we proved that the optimal transmission range for getting high probability of energy efficient is ( 1 / 2 ) 1 / γ r . In this section, we propose an energy efficient and reliable topology control protocol based on this conclusion.
In Section 4, we have explored the probability of energy efficient by reducing the transmission range in power adjustment based topology control algorithm. For guaranteeing the network connection, in this paper, we introduce the conclusions in [24] into our algorithm as the constraints of network reliable. In [24], the authors prove that when every node connects to its nearest 5.1774 log n neighbors, the network is asymptotic connectivity (the asymptotic connectivity means that when the number of neighbor nodes is larger than m, then the probability that the network is connected is asymptotic to 1); when each node connects to less than 0.074 log n nearest neighbors, the network is asymptotic disconnectivity (the asymptotic disconnectivity means that when the number of neighbor nodes is smaller than k, then the probability that the network is disconnected is asymptotic to 1). The simulation result also shows that if the number of neighbors larger than 1.5 log n , the probability of connectedness increases rapidly to 1 for a modest number of nodes (e.g., n 30 ). Therefore, in ERTC, 1.5 log n will be used as the lower limitation of the neighbors number, i.e., the node degree.
There are two stages in the ERTC: (1) neighbor information collection; (2) transmission range adjustment.

5.1. Neighbor Information Collection

In this section, node i broadcast HELLO message m i using initial transmission range r i to calculate the node degree and the distances to the neighbor nodes. As shown in Section 3, the transmission range is a circle, but may not same for each node. The HELLO message m i includes the transmission power P i , the source node ID I i , and the version number v s i which is used to decide whether the received HELLO message is a new one or not. When the neighbor nodes receive this HELLO message, firstly, comparing the node ID I i in the HELLO message m i with the node IDs that in the neighbors-list; if the node ID already exist, then check the version number v s i to find out whether this HELLO message is a new one or not; if not, the HELLO message will be dropped immediately; otherwise, updating the neighbor-list; in case the node ID I i does not exist in the neighbors-list, then adding the node ID to the neighbors-list. The distances d i j between two nodes are calculated when the node i receives the HELLO message m j from the neighbor nodes by using received signal strength indicator (RSSI) [25,26]. When the node i receive the HELLO message m j from other nodes, they will update the neighbors-list based on the same principle which described above and calculate the node degree N 1 i .
As shown in Lemma 4, the optimal transmission range for node i is ( 1 / 2 ) 1 / γ r i , when the source node i receive the HELLO message m j from the neighbor nodes, it will compare the distance d i j with ( 1 / 2 ) 1 / γ r i ; the number of neighbor nodes whose distances to the source node i are smaller than ( 1 / 2 ) 1 / γ r i will be the node degree of node i with transmission range ( 1 / 2 ) 1 / γ r i , which is N 2 i .

5.2. Transmission Range Adjustment

In this stage, the node i adjusts their transmission range according the node degree N 1 i and N 2 i . As discussed in Section 3, the optimal transmission range for energy efficient is ( 1 / 2 ) 1 / γ r i and for guaranteeing the network connection, the lower limitation of the neighbors number is 1.5 log n ; therefore, for meeting the requirements of both the energy efficient and the network reliability, the node degree N 1 i and N 2 i should be compared with 1.5 log n for deciding the transmission range of node i. There are three relationships between the node degree and the lower limitation of neighbor numbers in ERTC: (1) N 2 i 1.5 log n ; (2) N 2 i 1.5 log n N 1 i ; and (3) N 1 i 1.5 log n ; different relationships will have different transmission range adjustment strategies:
(i)
when N 2 i 1.5 log n , it means that when the transmission range of node i is ( 1 / 2 ) 1 / γ r i , it has the highest probability to satisfy the requirements of both the energy efficient and network connection. Therefore, the transmission range of node i is reduced to ( 1 / 2 ) 1 / γ r i , which is reasonable.
(ii)
when N 2 i 1.5 log n N 1 i , this means that when the transmission range of node i is r i , the network connection can be satisfied; however, when the transmission range is ( 1 / 2 ) 1 / γ r i , it can not meet the requirement of network connection. As shown in Figure 7, when the transmission range is close to ( 1 / 2 ) 1 / γ r i , the probability is close to the highest probability, too. In addition, considering the node in ERTC is uniform distributed, so the node degree n i is proportional with the coverage area π r i 2 ; therefore, the transmission range in this situation can be set to ( ( 1.5 log n ) / N 2 i ) 1 / 2 ( 1 / 2 ) 1 / γ r i .
(iii)
when N 1 i 1.5 log n , this means the initial transmission range of node i r i can not meet the requirement of network connection. Therefore, the transmission range should be increased. Similar with the reason in (ii), the transmission range closer to ( 1 / 2 ) 1 / γ r i has higher probability of energy efficient than that far from ( 1 / 2 ) 1 / γ r i and considering the node distribution in ERTC is uniform, so the transmission range in this range can be set to ( ( 1.5 log n ) / N 1 i ) 1 / 2 r i .
The process of the ERTC is:
Energy Efficient and Reliable Topology Control Algorithm (ERTC)
1.  ERTC:
Input:
2.  The length of the configuration area, Border_length;
3.  The number of the nodes in the network, n;
4.  The value of distance-power gradient, γ ;
Ensure:
5.  Broadcast the HELLO message m i with initial transmission range r i ;
6.  Receive the HELLO message m j ;
7.  Update the neighbors-list;
8.  Calculate the node degree N 1 i ;
9.  Compare the distance between node i and the neighbor nodes with ( 1 / 2 ) 1 / γ r i ;
10. Calculate the node degree N 2 i ;
11.   if N 2 i 1.5 log n then
       TR = ( 1 / 2 ) 1 / γ r i ;
12.   else if N 2 i 1.5 log n N 1 i then
       TR = ( ( 1.5 log n ) / N 2 i ) 1 / 2 ( 1 / 2 ) 1 / γ r i ;
13.   else
       TR = ( ( 1.5 log n ) / N 1 i ) 1 / 2 r i ;
14.   end if
15.  r i = TR;
As shown in the table above, the runtime complexity for ERTC is O(n), which is the same as the runtime complexity of LMA and LMN [17]. Therefore, the ERTC can improve the network performance without increasing the algorithm complexity seriously.

6. Simulation and Discussion

In this section, we will evaluate the performance of ERTC and discuss the properties in detail.
ERTC is power adjustment based topology control algorithm; we compare the performance of ERTC with LMA and LMN in this paper. The reasons why the LMA and LMN are chosen as the contrasts are: (1) the ERTC is most similar to LMA and LMN and can be regarded as the extensional of LMN and LMA based on the theory analysis in Section 4; (2) LMN and LMA are the two typical and basic power adjustment based topology control algorithms. As a contrast, we use NONE (in which there is no topology control algorithm used) as the control group.
The topology control algorithms that will be simulated in this section are as follows.
  • NONE: without using topology control algorithm, i.e., forming the network topology randomly and do not control the network topology artificially.
  • LMA: in LMA, there are two node degree thresholds: the minimum threshold and maximum threshold. If the node degree is smaller than the minimum threshold, the node will increase the transmission range by certain factor A i n c ; otherwise, reducing the transmission ranges by A d e c . The nodes in which the node degrees are between the minimum threshold and the maximum threshold will not change their transmission ranges.
  • LMN: in LMN, each node collects the neighbor information from their neighbors, and calculates the average neighbors’ node degree. The value will be set as the node degree threshold. If the node degree is large than this threshold, the transmission range will be reduced; otherwise, it will be increased.
  • ERTC: the algorithm proposed in this paper.

6.1. The Properties of Energy Efficient and Reliable Topology Control Algorithm

In this section, the performance and properties of ERTC will be discussed in detail. We built the simulation platform by MATLAB. The simulation parameters are presented as follows: (1) the node number: 50–200; (2) distribution range: 1 km × 1 km; (3) initial transmission range: 0–200 m; (4) distance-power gradient: γ = 3 ; (5) simulation time: 3000 s; (6) initial energy supply: 100 J; (7) transmit power: 0–1 mW; (8) receive power: 0.5 mW; (9) transmission rate: 10 kbit/s.
In Figure 8, the network is formed randomly (Figure 8a) and by the ERTC (Figure 8b), respectively. From Figure 8, we can clearly find that the ERTC reduces the number of communication links of the original network and guarantees the network connection at the same time. The communication links in Figure 8b are less than that in Figure 8a, which means that after using the ERTC, the energy consumption will be reduced. The node degree in Figure 8b is obviously smaller than that in Figure 8a; the conclusion can be found in Figure 9, too.
Figure 9 shows the node degree of the original network and the network which uses the ERTC. From Figure 9, we can conclude that with the increasing of the node number, the overall trend of node degree is increasing. However, the node degree does not always increase with the rising of the node number, e.g., as shown in Figure 8, when the node number is 100, 105, 110, and 120, the node degree does not keep increasing when the node number rises. The reason is that the network is created randomly, so the node degree oscillates near the average node degree; however, the overall trend is increasing. The increasing trend in ERTC is similar with the original one, but node degrees are smaller than that. In addition, when the node number is large than 100, the increasing rate of the original network is faster than that in ERTC. Furthermore, as shown by the blue points in Figure 9, with the increasing of the node number, the increasing trends are different between the original network and ERTC. The reason of this issue will be explained in the next section. Moreover, in Figure 9, the node degree in ERTC is larger than the minimum node degree threshold, so the network connection can be guaranteed. This is consistent with the conclusion in Figure 8b.
Figure 10 shows the numbers of nodes that use different transmission range adjustment strategies (introduced in Section 5) to adjust the transmission range. Since the number of nodes which use the rule (i) is pretty huge, so in Figure 10, we show the logarithm value of this number. In Figure 10, with the increasing of the node number, the nodes which use the rule (i) to adjust their transmission range has the similar increasing trend with the average node degree shown in Figure 9. Additionally, in Figure 10, the number of nodes use rule (i) is huge, and the number of nodes that use rule (ii) and rule (iii) are quite small. Since most transmission ranges will be set to ( 1 / 2 ) 1 / γ r (which is the optimal transmission range), so the network will have high probability to reduce the energy consumption.
Due to the randomly formation of the network and the small number of nodes which use rule (ii) and rule (iii), in Figure 10, the statistic characteristics of these values are not regularly, so we can not get a clear trend from these data.
The inconformity shown in Figure 9 (by the blue points) can be explained by the conclusion in Figure 10. In Figure 10, the number of communication links that use rule (ii) when node numbers are 170, 175, and 180 are 0, 5, and 0, respectively; to the rule (iii), this numbers are 6, 0, and 0, respectively. Note that when the node number is 175, there are more nodes decrease the transmission ranges than that when the node numbers are 170 and 180; and when the node number is 170, there is more nodes increase the transmission ranges than that when the node numbers are 175 and 180, so in Figure 9, the node degree increasing trends of the blue points are different with that in the black points.

6.2. Compare the Performance of Energy Efficient and Reliabile Topology Control Algorithm with Other Topology Control Protocols

In this section, the performance of ERTC will be compared with two typical transmission power adjustment based topology control algorithms: LMA and LMN. The principles of LMA and LMN have been introduced at the beginning of Section 6.
Figure 11 indicates that the number of communication links in ERTC is the smallest, which can be found in Figure 11b. In Figure 11c,d, different color lines are used to represent different kinds of communication links. In Figure 11c, the black links represent the communication links that have been increased, while the blue lines mean the communication links which have been reduced. Similarly, in Figure 11d, the black lines indicate that the communication range are not changed, the red lines mean the communication links are increased, and the blue lines show the communication links are reduced.
Both the LMA and LMN do not take the energy consumption into consideration. Moreover, since the maximum and minimum thresholds of node degrees in LMA are set by users without strict definition, the network topology will change greatly under different thresholds. In ERTC, the node degree thresholds are variation with different network conditions (such as the node numbers, the different topology, etc.), which aims to maintain r-range instead of k-connection for the nodes. Furthermore, as shown in Figure 11b and Figure 13, the protocol can meet the requirements of network connection and energy efficient at the same time in ERTC.
Figure 12 shows the node degrees of different algorithms under different scenarios. The node degree of ERTC increases with the increasing of node number, and the trend is similar with that of the original network. For LMA, the node degree will keep oscillating between 8 and 11. The reason is that the minimum and maximum node degree thresholds have been set to 8 and 11 in this simulation. However, the performance of LMA is affected by the value of thresholds greatly. The node degree trend is totally different in LMN, it looks randomly with the increasing of the node number. This is because the LMN decides the node degree only based on their neighbors’ average node degree, which is easy to fall into the locally optimal solutions. However, the overall node degree trend in LMN is increasing.
In Figure 12, when the node number smaller than 140, the node degree of ERTC is smaller than that of LMA; otherwise, when the node number is larger than 145, the node degree of ERTC is large than LMA. The reason is that ERTC does not maintain constant node degree which is popular in the topology control algorithm to guarantee network connection. Maintaining constant neighbors can not reflect the dynamic of WSN, so it can not guarantee that the node works at the optimal transmission range which is energy efficient with high probability. As a result, in ERTC, the algorithm maintains the r-range for the node rather than the k-connection. The r-range is the optimal transmission range with high probability of energy efficient. In addition, although LMA has stable node degree, the network performance of LMA is seriously affected by the node degree thresholds. Moreover, how to set the node degree threshold has not been discussed strictly in LMA.
Figure 13 displays the energy consumption in different topology control algorithms. From Figure 13, we can conclude that the energy consumption of ERTC is the smallest in these algorithms, and ERTC saves approximately 67.4% energy compare with none topology control network. The energy consumption in LMA and LMN are larger than ERTC; moreover, due to LMN can maintain the node degree in a stable level, so the energy consumption is smaller than LMA. However, the node degree in LMN cannot adapt the topology changing.
In Section 4, we proved that when the transmission range of node i is ( 1 / 2 ) 1 / γ r i , then the probability that the communication link is energy efficient is highest than others. Correspondingly, in Figure 13, the ERTC whose transmission range is related to ( 1 / 2 ) 1 / γ r i consumes less energy than other topology control algorithms. This demonstrates that the conclusion that we get in Section 4 is effective in reducing the energy consumption for WSN. Additionally, as shown in [24], when the node degree is larger than 1.5 log n , the network is connected with high probability (nearly 1). In Figure 8b and Figure 9, when the node degree in ERTC is larger than 1.5 log n , then the network is connected as shown in Figure 8b. Therefore, the simulation results show that the theoretical analyses are correct and effective.

7. Conclusions

In this paper, for diminishing the energy consumption of WSN as far as possible, first, we propose a probability model for energy efficient in WSN; second, we analyze the properties of the probability model and find out the optimal transmission range; finally, we propose an ERTC based on the conclusions in Section 4, which maintains r-range for the nodes instead of k-connection. To the best of our knowledge, this paper is the first one that provides the strict mathematic analysis model for these kinds of issues. In addition, in this paper, we also investigate the performance of ERTC and compare the performance with LMN and LMA, which are the typical power adjustment based topology control algorithms.
We have proved that when the transmission ranges are changed, the probability of energy efficient is ρ = 2 r 2 0 r ( r γ x γ ) 1 γ d x 1 , which varies with the distance-power gradient γ and keeps constant with different r, i.e., the probability is nothing to do with the initial transmission range. The probability varies from 0.5708 to 0.8541. We have also proved that when the transmission range is ( 1 / 2 ) 1 / γ r , the probability ρ will get the maximum value. In this paper, we also propose an ERTC algotithm, which can guarantee both the energy efficient and network connection at the same time.

Acknowledgments

The research leading to the presented results has been undertaken within the SWARMs European Project (Smart and Networking Underwater Robots in Cooperation Meshes), under Grant Agreement No. 662107-SWARMs-ECSEL-2014-1. The China Scholarship Council (CSC), which has partially supported the first author’s research described in this paper, is also acknowledging as a fund contributor.

Author Contributions

Ning Li and Jose-Fernan Martinez conceived and designed the experiments; Ning Li, Jose-Fernan Martinez, Lourdes Lopez Santidrian and Juan Manuel Meneses Chaus performed the experiments; Ning Li, Jose-Fernan Martinez, Lourdes Lopez Santidrian and Juan Manuel Meneses Chaus analyzed the data; Ning Li and Jose-Fernan Martinez contributed analysis tools; Ning Li and Jose Fernan Martinez wrote the paper.

Conflicts of Interest

The authors declare no conflict of interest.

References

  1. Huang, Y.J.; Martinez, J.F.; Diaz, V.H.; Sendra, J. A novel topology control approach to maintain the node degree in dynamic wireless sensor networks. Sensors 2014, 14, 4672–4688. [Google Scholar] [CrossRef] [PubMed]
  2. Aziz, A.A.; Sekercioglu, Y.A.; Fitzpatrick, P.; Ivanovich, M. A survey on distributed topology control techniques for extending the lifetime of battery powered wireless sensor networks. IEEE Commun. Surv. Tutor. 2013, 15, 121–144. [Google Scholar] [CrossRef]
  3. Jones, C.E.; Sivalingam, K.M.; Agrawal, P.; Chen, J.C. A survey of energy efficient network protocols for wireless networks. J. Wirel. Netw. 2013, 7, 343–358. [Google Scholar] [CrossRef]
  4. Feeney, L.M.; Nilsson, M. Investigating the energy consumption of a wireless network interface in an ad hoc networking environment. In Proceedings of the Twentieth Annual Joint Conference of the IEEE Computer and Communications Societies, Anchorage, AK, USA, 22–26 April 2001; pp. 1548–1557.
  5. Shen, C.C.; Srisathapornphat, C.; Liu, R.; Huang, Z.; Jaikaeo, C.; Lloyd, E.L. CLTC: A cluster-based topology control for ad hoc networks. IEEE Trans. Mob. Comput. 2004, 3, 18–32. [Google Scholar] [CrossRef]
  6. Miyao, K.; Nakayama, H.; Ansari, N.; Kato, N. LTRT: An efficient and reliable topology control algorithm for ad hoc network. IEEE Trans. Wirel. Commun. 2009, 8, 1536–1276. [Google Scholar] [CrossRef]
  7. Kirousis, L.M.; Kranakis, E.; Krizanc, D.; Pelc, A. Power consumption in packet radio networks. Parallel Distrib. Syst. I 1997, 1200, 363–374. [Google Scholar]
  8. Clementi, A.E.F.; Penna, P.; Silvestri, R. On the power assignment problem in radio networks. Mob. Netw. Appl. 2004, 9, 125–140. [Google Scholar] [CrossRef]
  9. Bagci, H.; Korpeoglu, I.; Yazici, A. A distributed fault-tolerant topology control algorithm for heterogeneous wireless sensor networks. IEEE Trans. Parallel Distrib. Syst. 2014, 26, 914–923. [Google Scholar] [CrossRef]
  10. Li, M.; Li, Z.J.; Vasilakos, A.V. A survey on topology control in wireless sensor networks: Taxonomy, comparative study, and open issues. Proc. IEEE 2013, 101, 2538–2557. [Google Scholar] [CrossRef]
  11. Huang, Y.J.; Martinez, J.F.; Senda, J.; Lopez, L. Resilient wireless sensor networks using topology control: A review. Sensors 2015, 15, 24735–24770. [Google Scholar] [CrossRef] [PubMed]
  12. Li, N.; Hou, J.C.; Liu, S. Design and analysis of an MST-based topology control algorithm. IEEE Trans. Wirel. Commun. 2015, 4, 1195–1206. [Google Scholar]
  13. Rizvi, S.; Qureshi, H.K.; Khayam, S.A.; Rakocevic, V.; Rajarajan, M. A1: An energy efficient topology control algorithm for connected area coverage in wireless sensor networks. J. Netw. Comput. Appl. 2012, 35, 597–605. [Google Scholar] [CrossRef]
  14. Qureshhi, H.K.; Rizvi, S.; Saleem, M.; Khayam, S.A.; Rakocevic, V.; Rajarajan, M. Poly: A reliable and Energy efficient topology control protocol for wireless sensor networks. Comput. Commun. 2011, 34, 1235–1242. [Google Scholar] [CrossRef]
  15. Zhao, J.; Cao, G.H. Robust topology control in multi-hop cognitive radio networks. IEEE Trans. Mob. Comput. 2014, 13, 2634–2647. [Google Scholar] [CrossRef]
  16. Ao, X.; Yu, F.R.; Jiang, S.; Guan, Q.; Leung, V.C.M. Distributed cooperative topology control for WANETs with opportunistic interference cancelation. IEEE Trans. Veh. Technol. 2014, 63, 789–801. [Google Scholar] [CrossRef]
  17. Kubisch, M.; Karl, H.; Wolisz, A.; Zhong, L.C. Distributed algorithm for transmission power control in wireless sensor networks. In Proceedings of the IEEE Wireless Communications and Networking, New Orleans, LA, USA, 16–20 March 2003; pp. 558–563.
  18. Chiwewe, T.M.; Hancke, G.P. A distributed topology control technique for low interference and energy efficiency in wireless sensor network. IEEE Trans. Ind. Inform. 2012, 8, 11–19. [Google Scholar] [CrossRef]
  19. Liu, Y.; Ni, L.; Hu, C. A generalized probabilistic topology control for wireless sensor networks. IEEE J. Sel. Areas Commun. 2012, 30, 1780–1788. [Google Scholar] [CrossRef]
  20. Huang, Y.; Martinez, J.F.; Sendra, J.; Lopez, L. The influence of communication range on connectivity for resilient wireless sensor network using a probabilistic approach. Int. J. Distrib. Sens. Netw. 2013, 2013. [Google Scholar] [CrossRef]
  21. Rodoplu, V.; Meng, T.H. Minimum energy mobile wireless networks. IEEE J. Sel. Areas Commun. 2002, 17, 1333–1344. [Google Scholar] [CrossRef]
  22. Zhu, Y.; Huang, M.; Chen, S.; Wang, Y. Energy efficient topology control in cooperative ad hoc network. IEEE Trans. Parallel Distrib. Syst. 2012, 23, 1480–1491. [Google Scholar] [CrossRef]
  23. Rappaport, T.S. Wireless Communication: Principles and Practice; Prentice-Hall: Englewood Cliffs, NJ, USA, 1996; pp. 69–122, 139–196. [Google Scholar]
  24. Xue, F.; Kumar, P.R. The number of neighbors needed for connectivity of wireless networks. Wirel. Netw. 2004, 10, 169–181. [Google Scholar] [CrossRef]
  25. Parker, R.; Valaee, S. Vehicular node localization using received-signal-strength indicator. IEEE Trans. Veh. Technol. 2007, 56, 3371–3380. [Google Scholar] [CrossRef]
  26. Feng, C.; Au, W.S.A.; Valaee, S.; Tan, Z. Received-signal-strength-based indoor positioning using compressive sensing. IEEE Trans. Mob. Comput. 2012, 11, 1983–1993. [Google Scholar] [CrossRef]
Figure 1. Different network models: (a) k nearest neighbor model; (b) disc model; and (c) Erdos-Renyi random graph.
Figure 1. Different network models: (a) k nearest neighbor model; (b) disc model; and (c) Erdos-Renyi random graph.
Figure 2. Definition of communication range and neighbor.
Figure 2. Definition of communication range and neighbor.
Figure 3. Transmission range adjustment.
Figure 3. Transmission range adjustment.
Figure 4. The Energy efficient Dominating Sets (EDS) shown in Equation (3).
Figure 4. The Energy efficient Dominating Sets (EDS) shown in Equation (3).
Figure 5. The relationship between γ and ρ .
Figure 5. The relationship between γ and ρ .
Figure 6. Relationship between r and ρ for γ .
Figure 6. Relationship between r and ρ for γ .
Figure 7. Relationship between r and ρ e for γ .
Figure 7. Relationship between r and ρ e for γ .
Figure 8. The simulation result: (a) NONE; and (b) energy efficient and reliable topology control algorithm (ERTC). * The X-axis and Y-axis means the node distribution area.
Figure 8. The simulation result: (a) NONE; and (b) energy efficient and reliable topology control algorithm (ERTC). * The X-axis and Y-axis means the node distribution area.
Figure 9. The relationship between node number and node degree.
Figure 9. The relationship between node number and node degree.
Figure 10. The number of different kind of communication links in different scenario.
Figure 10. The number of different kind of communication links in different scenario.
Figure 11. The simulation result: (a) NONE; (b) ERTC; (c) Local Mean Neighbor (LMN); and (d) Local Mean Algorithm (LMA). * The X-axis and Y-axis means the node distribution area.
Figure 11. The simulation result: (a) NONE; (b) ERTC; (c) Local Mean Neighbor (LMN); and (d) Local Mean Algorithm (LMA). * The X-axis and Y-axis means the node distribution area.
Figure 12. The relationship between node number and node degree in four protocols.
Figure 12. The relationship between node number and node degree in four protocols.
Figure 13. The energy consumption of different topology control protocols.
Figure 13. The energy consumption of different topology control protocols.
Table 1. Probabilities before and after optimizing.
Table 1. Probabilities before and after optimizing.
Value of γProbabilities
r1ρeρ
γ = 20.70710.6890.5708
γ = 30.79370.83790.7666
γ = 40.84090.89960.8541

Share and Cite

MDPI and ACS Style

Li, N.; Martinez-Ortega, J.-F.; Lopez Santidrian, L.; Meneses Chaus, J.M. Probability Model Based Energy Efficient and Reliable Topology Control Algorithm. Energies 2016, 9, 841. https://doi.org/10.3390/en9100841

AMA Style

Li N, Martinez-Ortega J-F, Lopez Santidrian L, Meneses Chaus JM. Probability Model Based Energy Efficient and Reliable Topology Control Algorithm. Energies. 2016; 9(10):841. https://doi.org/10.3390/en9100841

Chicago/Turabian Style

Li, Ning, Jose-Fernan Martinez-Ortega, Lourdes Lopez Santidrian, and Juan Manuel Meneses Chaus. 2016. "Probability Model Based Energy Efficient and Reliable Topology Control Algorithm" Energies 9, no. 10: 841. https://doi.org/10.3390/en9100841

APA Style

Li, N., Martinez-Ortega, J.-F., Lopez Santidrian, L., & Meneses Chaus, J. M. (2016). Probability Model Based Energy Efficient and Reliable Topology Control Algorithm. Energies, 9(10), 841. https://doi.org/10.3390/en9100841

Note that from the first issue of 2016, this journal uses article numbers instead of page numbers. See further details here.

Article Metrics

Back to TopTop