Parametric Optimization of Regenerative Organic Rankine Cycle System for Diesel Engine Based on Particle Swarm Optimization
Abstract
:1. Introduction
2. Exhaust Energy of the Vehicle Diesel Engine
| Items | Parameters | Units |
|---|---|---|
| Displacement | 9.726 | L |
| Rated power | 280 | kW |
| Maximum torque | 1500 | N·m |
| Rated speed | 2200 | r/min |
| Stroke | 130 | mm |
| Cylinder diameter | 126 | mm |
| Compression ratio | 17 | - |





3. Regenerative Organic Rankine Cycle (RORC) System
3.1. Description of the Regenerative Organic Rankine Cycle (RORC) System

3.2. Organic Working Fluid Selection
| Working fluids | Components | Composition (mass fraction) | Tcri (K) | Pcri (MPa) | Safety group | GWP (100 Years) | ODP |
|---|---|---|---|---|---|---|---|
| butane | - | - | 425.13 | 3.796 | A3 | 20 | 0.000 |
| R124 | - | - | 395.43 | 3.624 | A1 | 620 | 0.026 |
| R134a | - | - | 374.21 | 4.059 | A1 | 1370 | 0.000 |
| R416A | R124/R134a/butane | 0.395:0.59:0.015 | 380.23 | 3.975 | A1/A1 | 1000 | 0.010 |

3.3. Thermodynamic Modeling of the Regenerative Organic Rankine Cycle (RORC) System
- (1)
- The pressure drop and heat loss in the tubes are neglected;
- (2)
- The evaporating pressure varies from 1.5 MPa to 2.5 MPa;
- (3)
- The intermediate pressure varies from 0.9 MPa to 1.8 MPa;
- (4)
- The degree of superheat varies from 0 K to 10 K;
- (5)
- The isentropic efficiency of the expander is set to 0.85;
- (6)
- The heat exchange coefficient of the evaporator is set to 0.85, which is the ratio of the heat absorbed by the organic working fluids in the evaporator to the heat released by engine exhaust when passing through the evaporator;
- (7)
- The ambient temperature and condensing temperature are set to 288 K and 303 K, respectively;
- (8)
- The exhaust temperature at the outlet of the evaporator (Tout) is set to 380 K [28].

| Working fluids | Tsa (K), 1.5 MPa | Tsa (K), 2.5 MPa | Tsa (K), 0.9 MPa | Tsa (K), 1.8 MPa | |
|---|---|---|---|---|---|
| R416A | Dew point | 334.83 | 357.78 | 314.53 | 342.72 |
| Bubble point | 333.21 | 356.47 | 312.77 | 341.17 | |
| Butane | 372.27 | 400.11 | 347.84 | 381.81 | |
| R134a | 328.38 | 350.73 | 308.68 | 336.05 | |
| R124 | 350.87 | 375.70 | 328.99 | 359.38 | |
4. Parametric Optimization of the Regenerative Organic Rankine Cycle (RORC) System
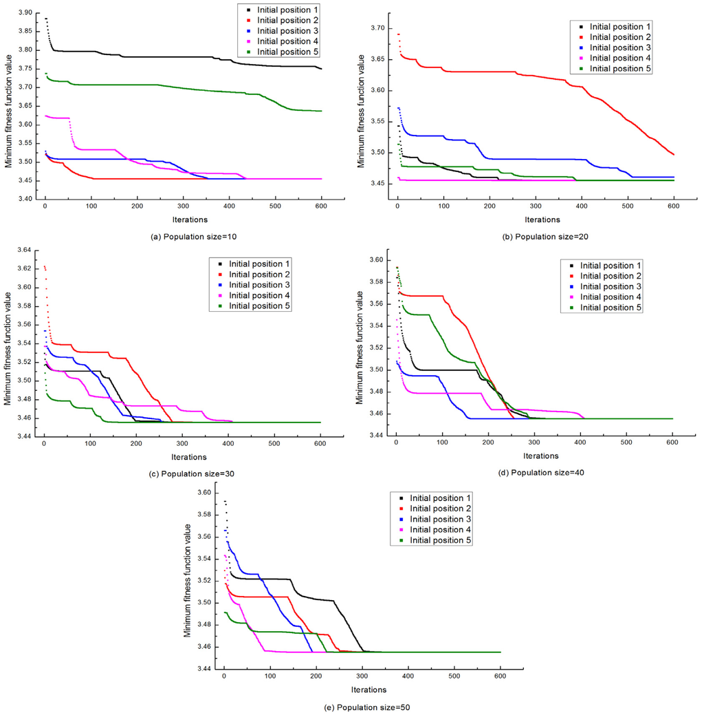
4.1. Particle Swarm Optimization (PSO)


4.2. Results and Analysis of Parametric Optimization





5. Performance Analysis of the Regenerative Organic Rankine Cycle (RORC) System and Diesel Engine-RORC Combined System




6. Conclusions
- (1)
- To obtain the optimal net power output and exergy destruction rate of the RORC system, for certain operating conditions of the diesel engine, the optimal values for evaporating pressure, intermediate pressure, and degree of superheat should be known with certainty. In this research, for the four selected working fluids, under various operating conditions of the diesel engine, the optimal evaporating pressure is 2.5 MPa, the amplitude of the optimized intermediate pressure variation is below 7 kPa, and the amplitude of the optimized degree of superheat variation is below 2 K.
- (2)
- The required mass flow rate of the working fluid should vary with operating condition of the diesel engine. Among the four selected working fluids, the net power output of the RORC system using butane is the maximum, and the required mass flow rate of butane is the minimum. Accordingly, the total weight of the RORC system using butane can be reduced, and the risk of environmental pollution can be significantly decreased.
- (3)
- Considering the operating performances of the RORC system, the order of the working fluid selection decreasing in sequence is as follows: butane > R124 > R416A > R134a. When the engine speed is 2200 r/min and engine torque is 1215 N·m, the net power output of the RORC system using butane is 36.57 kW, and the WHRE of the RORC system using butane is 12.02%.
- (4)
- For the diesel engine-RORC combined system, the improvements in power output and fuel economy are significant. When the engine speed is 1131 r/min and engine torque is 1200 N·m, the BSFC of the combined system using butane is 173.3 g/kW·h, and the maximum improvement in BSFC of the combined system using butane is 11.56%. When the engine speed is 2200 r/min and engine torque is 1215 N·m, the POIR of the combined system using butane is 11.56%.
Acknowledgments
Author Contributions
Conflicts of Interest
Nomenclature
maximum available exhaust energy rate (kW) | |
effective power output of the diesel engine (kW) | |
net power output (kW) | |
exergy destruction rate (kW) | |
| Texh | exhaust temperature at evaporator inlet (K) |
| Tout | exhaust temperature at evaporator outlet (K) |
fuel consumption rate of the diesel engine (g/h) | |
power (kW) | |
heat transfer rate (kW) | |
| T | temperature (K) |
| P | pressure (MPa) |
| h | enthalpy (kJ/kg) |
mass flow rate (kg/s) | |
| T0 | ambient temperature (K) |
| H | pump head (m) |
| g | gravitational acceleration (m/s2) |
| Nmax | maximum iteration number |
| n | current iteration |
| K | population size |
| pbest | personal best position |
| gbest | global best position |
| rand1 | random number 1 |
| rand2 | random number 2 |
| c1 | acceleration coefficient 1 |
| c2 | acceleration coefficient 2 |
| D | dimension of search space |
| bsfc | brake specific fuel consumption |
Acronyms
| ORC | organic Rankine cycle |
| RORC | regenerative organic Rankine cycle |
| OFOH | open feed organic fluid heater |
| BSFC | brake specific fuel consumption |
| POIR | power output increasing rate |
| ODP | ozone depletion potential |
| GWP | global warming potential |
| WHRE | waste heat recovery efficiency |
Greek Letters
| cp,exh | exhaust specific heat at constant pressure (kJ/kg·K) |
| ηe | heat exchange coefficient of the evaporator |
| ηt | isentropic efficiency of expander |
fraction of vapor extracted (%) | |
| ω | inertia weight |
| x | position of particle |
| v | velocity of particle |
Subscripts
| 1, 2, 2s, 3, 3s, 4, 5, 6, 7 | state points in cycle (as shown in Figure 8) |
| cs | combine system |
| cri | critical |
| t | expander |
| L | low-temperature heat source |
| f | fuel |
| e | evaporator |
| p1 | Pump 1 |
| p2 | Pump 2 |
| p3 | Pump 3 |
| w | water |
| w1 | cooling water at the inlet of the condenser |
| w2 | cooling water at the outlet of the condenser |
| o | organic working fluid |
| con | condenser |
| exh | exhaust |
| eng | diesel engine |
| max | maximum |
| min | minimum |
| out | outlet |
| net | net power output |
| sa | saturation |
References
- Bari, S.; Hossain, S.N. Waste heat recovery from a diesel engine using shell and tube heat exchanger. Appl. Therm. Eng. 2013, 61, 355–363. [Google Scholar] [CrossRef]
- Dolz, V.; Novella, R.; García, A.; Sánchez, J. HD diesel engine equipped with a bottoming Rankine cycle as a waste heat recovery system. Part 1: Study and analysis of the waste heat energy. Appl. Therm. Eng. 2012, 36, 269–278. [Google Scholar] [CrossRef]
- Wang, Z.Q.; Zhou, N.J.; Guo, J.; Wang, X.Y. Fluid selection and parametric optimization of organic Rankine cycle using low temperature waste heat. Energy 2012, 40, 107–115. [Google Scholar] [CrossRef]
- Reverberi, A.; Borghi, A.D.; Dovì, V. Optimal design of cogeneration systems in industrial plants combined with district heating/cooling and underground thermal energy storage. Energies 2011, 4, 2151–2165. [Google Scholar] [CrossRef]
- Shu, G.; Liu, L.; Tian, H.; Wei, H.; Yu, G. Parametric and working fluid analysis of a dual-loop organic Rankine (DORC) used in engine waste heat recovery. Appl. Energy 2014, 113, 1188–1198. [Google Scholar] [CrossRef]
- Wang, E.; Zhang, H.; Fan, B.; Wu, Y. Optimized performances comparison of organic Rankine cycles for low grade waste heat recovery. J. Mech. Sci. Technol. 2012, 26, 2301–2312. [Google Scholar] [CrossRef]
- Di Battista, D.; Mauriello, M.; Cipollone, R. Waste heat recovery of an ORC-based power unit in a turbocharged diesel engine propelling a light duty vehicle. Appl. Energy 2015, 152, 109–120. [Google Scholar] [CrossRef]
- Zhang, J.; Feng, J.; Zhou, Y.; Fang, F.; Yue, H. Linear active disturbance rejection control of waste heat recovery systems with organic Rankine cycles. Energies 2012, 5, 5111–5125. [Google Scholar] [CrossRef]
- Katsanos, C.O.; Hountalas, D.T.; Pariotis, E.G. Thermodynamic analysis of a Rankine cycle applied on a diesel truck engine using steam and organic medium. Energy Convers. Manag. 2012, 60, 68–76. [Google Scholar] [CrossRef]
- Zhang, J.; Zhang, H.; Yang, K.; Yang, F.; Wang, Z.; Zhao, G.; Liu, H.; Wang, E.; Yao, B. Performance analysis of regenerative organic Rankine cycle (RORC) using the pure working fluid and the zeotropic mixture over the whole operating range of a diesel engine. Energy Convers. Manag. 2014, 84, 282–294. [Google Scholar] [CrossRef]
- Wei, M.; Song, P.; Zhao, B.; Shi, L.; Wang, Z.; Ma, C. Unsteady flow in the suction process of a scroll expander for an ORC waste heat recovery system. Appl. Therm. Eng. 2015, 78, 460–470. [Google Scholar] [CrossRef]
- Xie, H.; Yang, C. Dynamic behavior of Rankine cycle system for waste heat recovery of heavy duty diesel engines under driving cycle. Appl. Energy 2013, 112, 130–141. [Google Scholar] [CrossRef]
- Gao, H.; Liu, C.; He, C.; Xu, X.; Wu, S.; Li, Y. Performance analysis and working fluid selection of a supercritical organic Rankine cycle for low grade waste heat recovery. Energies 2012, 5, 3233–3247. [Google Scholar] [CrossRef]
- Li, Y.R.; Du, M.T.; Wu, C.M.; Wu, S.Y.; Liu, C. Potential of organic Rankine cycle using zeotropic mixtures as working fluids for waste heat recovery. Energy 2014, 77, 509–519. [Google Scholar] [CrossRef]
- Roy, J.P.; Misra, A. Parametric optimization and performance analysis of a regenerative Organic Rankine Cycle using R-123 for waste heat recovery. Energy 2012, 39, 227–235. [Google Scholar] [CrossRef]
- Wang, E.H.; Zhang, H.G.; Fan, B.Y.; Ouyang, M.G.; Zhao, Y.; Mu, Q.H. Study of working fluid selection of organic Rankine cycle (ORC) for engine waste heat recovery. Energy 2011, 36, 3406–3418. [Google Scholar] [CrossRef]
- Feidt, M.; Kheiri, A.; Pelloux-Prayer, S. Performance optimization of low-temperature power generation by supercritical ORCs (organic Rankine cycles) using low GWP (global warming potential) working fluids. Energy 2014, 67, 513–526. [Google Scholar]
- Aghahosseini, S.; Dincer, I. Comparative performance analysis of low-temperature Organic Rankine Cycle (ORC) using pure and zeotropic working fluids. Appl. Therm. Eng. 2013, 54, 35–42. [Google Scholar] [CrossRef]
- Xi, H.; Li, M.J.; Xu, C.; He, Y.L. Parametric optimization of regenerative organic Rankine cycle (ORC) for low grade waste heat recovery using genetic algorithm. Energy 2013, 58, 473–482. [Google Scholar] [CrossRef]
- Sun, Z.; Wang, J.; Dai, Y.; Wang, J. Exergy analysis and optimization of a hydrogen production process by a solar-liquefied natural gas hybrid driven transcritical CO2 power cycle. Int. J. Hydrog. Energy 2012, 37, 18731–18739. [Google Scholar] [CrossRef]
- Feng, Y.; Zhang, Y.; Li, B.; Yang, J.; Shi, Y. Sensitivity analysis and thermoeconomic comparison of ORCs (organic Rankine cycles) for low temperature waste heat recovery. Energy 2015, 82, 664–677. [Google Scholar] [CrossRef]
- Xiao, L.; Wu, S.Y.; Yi, T.T.; Liu, C.; Li, Y.R. Multi-objective optimization of evaporation and condensation temperatures for subcritical organic Rankine cycle. Energy 2015, 83, 723–733. [Google Scholar] [CrossRef]
- Mamaghani, A.H.; Najafi, B.; Shirazi, A.; Rinaldi, F. 4E analysis and multi-objective optimization of an integrated MCFC (molten carbonate fuel cell) and ORC (organic Rankine cycle) system. Energy 2015, 82, 650–663. [Google Scholar] [CrossRef]
- Hu, M.; Cho, H. A probability constrained multi-objective optimization model for CCHP system operation decision support. Appl. Energy 2014, 116, 230–242. [Google Scholar] [CrossRef]
- Boyaghchi, F.A.; Heidarnejad, P. Thermoeconomic assessment and multi objective optimization of a solar micro CCHP based on organic Rankine cycle for domestic application. Energy Convers. Manag. 2015, 97, 224–234. [Google Scholar] [CrossRef]
- Yang, K.; Zhang, H.; Song, S.; Yang, F.; Liu, H.; Zhao, G.; Zhang, J.; Yao, B. Effects of degree of superheat on the running performance of an organic Rankine cycle (ORC) waste heat recovery system for diesel engines under various operating conditions. Energies 2014, 7, 2123–2145. [Google Scholar] [CrossRef]
- Song, S.; Zhang, H.; Lou, Z.; Yang, F.; Yang, K.; Wang, H.; Bei, C.; Chang, Y.; Yao, B. Performance analysis of exhaust waste heat recovery system for stationary CNG engine based on organic Rankine cycle. Appl. Therm. Eng. 2011, 76, 301–309. [Google Scholar] [CrossRef]
- Zhang, H.; Wang, E.; Fan, B. A performance analysis of a novel system of a dual loop bottoming organic Rankine cycle (ORC) with a light-duty diesel engine. Appl. Energy 2013, 102, 1504–1513. [Google Scholar] [CrossRef]
- Liu, Q.; Shen, A.; Duan, Y. Parametric optimization and performance analyses of geothermal organic Rankine cycles using R600a/R601a mixtures as working fluids. Appl. Energy 2015, 148, 410–420. [Google Scholar] [CrossRef]
- Li, N.J.; Wang, W.J.; Hsu, C.C.J. Hybrid particle swarm optimization incorporating fuzzy reasoning and weighted particle. Neurocomputing 2015, 167, 488–501. [Google Scholar] [CrossRef]
- Mohammadi-Ivatloo, B.; Rabiee, A.; Soroudi, A.; Ehsan, M. Iteration PSO with time varying acceleration coefficients for solving non-convex economic dispatch problems. Int. J. Electr. Power Energy Syst. 2012, 42, 508–516. [Google Scholar] [CrossRef]
© 2015 by the authors; licensee MDPI, Basel, Switzerland. This article is an open access article distributed under the terms and conditions of the Creative Commons Attribution license (http://creativecommons.org/licenses/by/4.0/).
Share and Cite
Wang, H.; Zhang, H.; Yang, F.; Song, S.; Chang, Y.; Bei, C.; Yang, K. Parametric Optimization of Regenerative Organic Rankine Cycle System for Diesel Engine Based on Particle Swarm Optimization. Energies 2015, 8, 9751-9776. https://doi.org/10.3390/en8099751
Wang H, Zhang H, Yang F, Song S, Chang Y, Bei C, Yang K. Parametric Optimization of Regenerative Organic Rankine Cycle System for Diesel Engine Based on Particle Swarm Optimization. Energies. 2015; 8(9):9751-9776. https://doi.org/10.3390/en8099751
Chicago/Turabian StyleWang, Hongjin, Hongguang Zhang, Fubin Yang, Songsong Song, Ying Chang, Chen Bei, and Kai Yang. 2015. "Parametric Optimization of Regenerative Organic Rankine Cycle System for Diesel Engine Based on Particle Swarm Optimization" Energies 8, no. 9: 9751-9776. https://doi.org/10.3390/en8099751
APA StyleWang, H., Zhang, H., Yang, F., Song, S., Chang, Y., Bei, C., & Yang, K. (2015). Parametric Optimization of Regenerative Organic Rankine Cycle System for Diesel Engine Based on Particle Swarm Optimization. Energies, 8(9), 9751-9776. https://doi.org/10.3390/en8099751
