Analysis on the Initial Cracking Parameters of Cross-Measure Hydraulic Fracture in Underground Coal Mines
Abstract
:1. Introduction

- (1)
- Hydraulic fracturing in underground coalmines is an auxiliary technology, serving subsequent coal mining. Therefore, monotonic increase of the pump pressure during the fracturing process is not allowed to avoid damaging the integrity of coal seam roof and floor. In this aspect, Lin studied the pulsating stress wave generation, propagation and the mechanism of coal and rock breakage from the theoretical perspective [17].
- (2)
- The coal bed is thin and bounded by coal seam roof and floor, and it is conventionally assumed that the physical and mechanical properties of coal would not affect hydraulic fracturing initiation. However, hydraulic fracturing initiation can be influenced by other factors, such as in-situ stress and rock strength. Using numerical simulation, Lian and Lin, et al. found the rule of crack initiation and propagation influenced by in-situ stress and rock strength [18,19].
- (3)
- The layout of a borehole is limited by the occurrence of coal seam such as strike, inclination, and dip angle as shown in Figure 1.
2. Model Development
2.1. Stress Analysis for Cross-Measure Fracturing Boreholes

2.2. Model for Calculation of Initial Cracking Parameters

3. Field Experimentation
3.1. Mine-Site Condition and Borehole Layout

| Number | Borehole Size/mm | Azimuth Angle/° | Borehole Angle/° | Borehole Depth/m |
|---|---|---|---|---|
| 1# | 91 | 0 | 60 | 30.2 |
| 2# | 91 | 0 | 57 | 33.2 |
| 3# | 91 | 0 | 55 | 35.1 |
| 4# | 91 | 0 | 53 | 37.0 |
| 5# | 91 | 0 | 50 | 39.8 |
| 6# | 91 | 0 | 47 | 42.4 |
| 7# | 91 | 0 | 44 | 45.0 |
| 8# | 91 | 0 | 42 | 46.6 |
3.2. In-Situ Stress Measurement in Test Site


| Equipment Name | Type | Parameters |
|---|---|---|
| Electronic precision material testing machine | AG-I 250kN | 1/1000 degree loading precision, 1/1000 degree displacement control precision |
| Acoustic emission detection system | 16CHsSAMOS™ System | 12 channels, 40 MHz, 18 bit A/D, 1 KHz–3 MHz frequency range, 100 dB maximum signal amplitude, 40 MSPS sample rate |
| Category | The Maximum σ1 | The Intermediate σ2 | The Minimum σ3 |
|---|---|---|---|
| Principal stress /MPa | 23.7 | 9.9 | 4.5 |
| θx (The angle between principal stress and x)/° | 39.0 | 94.6 | 51.1 |
| θy (The angle between principal stress and y)/° | 129.1 | 87.8 | 38.9 |
| θz (The angle between principal stress and z)/° | 86.8 | 3.4 | 88.4 |
3.3. Hydraulic Fracturing Equipment for Field Test


4. Results and Discussion
4.1. Analysis on the Initiation Parameters
4.1.1. State of In-Situ Stress in Coal Seams
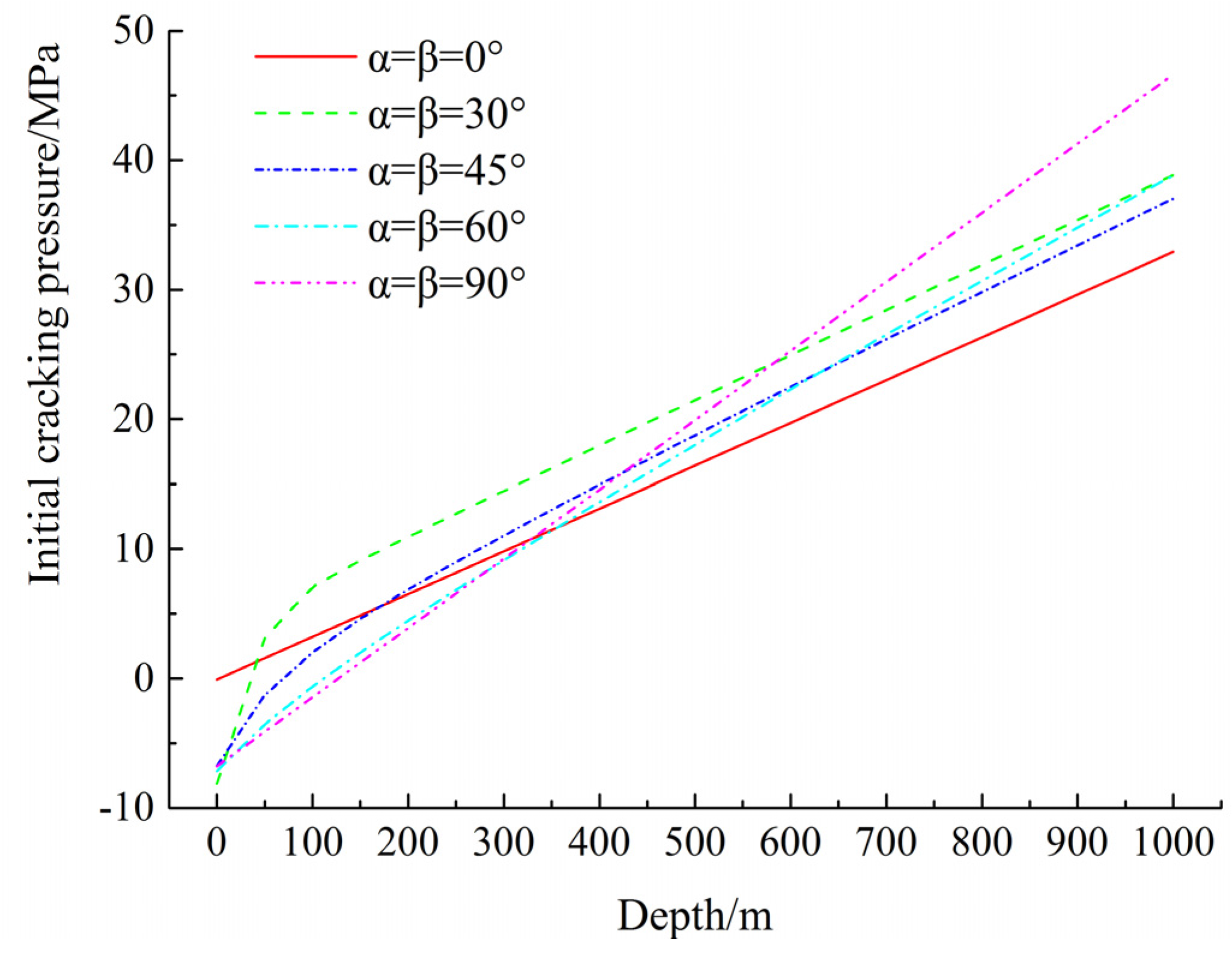
4.1.2. The Effect of Burial Depth on Borehole Cracking Initiation


4.1.3. The Effect of the Coal Seam Dip Angle on Borehole Cracking Initiation


4.1.4. The Effect of the Stress Orientations on Boreholes Initiation


4.2. Field Validation and Discussion
| Number | 1# | 2# | 3# | 4# | 5# | 6# | 7# | 8# |
|---|---|---|---|---|---|---|---|---|
| Initiation pressure/MPa | 16.8 | 17.3 | 17.9 | 18.4 | 19.7 | 20.8 | 21.9 | 22.6 |
| Initiation location/° | 144 | 143.5 | 143.1 | 142.7 | 142 | 141.2 | 140.6 | 139.7 |
- (1)
- The fracturing pump is far away from the borehole for the safety purpose and a certain amount of pressure is dissipated in the pipe line from the pump to borehole destination. This amount of pressure loss can be calculated using the following Equation [30]:where is the pressure loss of the pipe line (MPa/m); Q is the average flow (L/min); D is the diameter of pipe line (mm), which is 32 mm; Re is the Reynolds number, taking 11165Q/D; and L is the distance between pump and fractured borehole (m), which is usually set as 500 m.
- (2)
- The gravity of water increases the actual initiation pressure due to the height difference between fractured borehole bottom and the discharged pump. This amount of pressure loss can be calculated from the following Equation:where is the pressure loss caused by the gravity of water (MPa); ρ is the density of water (kg/m3); g is the gravitational acceleration (m/s2); and is the height difference (m), which can be calculated from Table 1.



5. Conclusions
Acknowledgments
Author Contributions
Conflicts of Interest
References
- Dai, S.F.; Ren, D.Y.; Chou, C.L.; Finkelman, R.B.; Seredind, V.V.; Zhou, Y.P. Geochemistry of trace elements in Chinese coals: A review of abundances, genetic types, impacts on human health, and industrial utilization. Int. J. Coal Geol. 2012, 94, 3–21. [Google Scholar] [CrossRef]
- Shen, B.H.; Liu, J.Z.; Zhang, H. The technical measures of gas control in China coal mines. J. China Coal Soc. 2007, 32, 673–679. [Google Scholar]
- Yuan, L. Key technique to high efficiency and safe mining in highly gassy mining area with complex geologic condition. J. China Coal Soc. 2006, 31, 174–178. [Google Scholar]
- Lu, Y.Y.; Liu, Y.; Li, X.H.; Kang, Y. A new method of drilling long boreholes in low permeability coal by improving its permeability. Int. J. Coal Geol. 2010, 84, 94–102. [Google Scholar] [CrossRef]
- Karacan, C.Ö.; Diamond, W.P.; Schatzel, S.J. Numerical analysis of the influence of in-seam horizontal methane drainage boreholes on longwall face emission rates. Int. J. Coal Geol. 2007, 72, 94–102. [Google Scholar] [CrossRef]
- Klaus, N. Control of gas emissions in underground coal mines. Int. J. Coal Geol. 1998, 35, 57–82. [Google Scholar]
- Sun, D.F.; Chen, J.F.; Long, J.M.; Li, W.S.; Mei, X.D. Experimental study on high pressure hydraulic fracturing technology to uncover coal in cross-cut. Coal Sci. Technol. 2013, 41, 163–165. [Google Scholar]
- Hubbert, M.K.; Willis, D.G. Mechanics of hydraulic fracturing. Trans. Soc. Petrol. Eng. AIME 1957, 210, 153–166. [Google Scholar]
- Schmidt, D.R.; Zoback, M.D. Poroelasticity effects in the determination of minimum horizontal principal stress in hydraulic fracturing test—A proposed breakdown equation employing a modified effective stress relation for tensile failure. Int. J. Rock Mech. Min. Sci. 1989, 26, 499–506. [Google Scholar] [CrossRef]
- Zhang, X.; Jeffrey, R.G.; Bunger, A.P.; Thiercelin, M. Initiation and growth of a hydraulic fracture from a circular wellbore. Int. J. Rock Mech. Min. Sci. 2011, 48, 984–995. [Google Scholar] [CrossRef]
- Huang, J.; Griffiths, D.V.; Wong, S.W. In situ stress determination from inversion of hydraulic fracture data. Int. J. Rock Mech. Min. Sci. 2011, 48, 476–481. [Google Scholar] [CrossRef]
- Huang, J.; Griffiths, D.V.; Wong, S.W. Initiation pressure, location and orientation of hydraulic fracture. Int. J. Rock Mech. Min. Sci. 2012, 49, 59–67. [Google Scholar] [CrossRef]
- Chen, M.; Jin, Y.; Zhang, G.Q. Rock Mechanics of Petroleum Engineering; Science Press: Beijing, China, 2008; pp. 167–173. [Google Scholar]
- Wang, T.; Zhou, W.B.; Chen, J.H.; Xiao, X.; Li, Y.; Zhao, X.Y. Simulation of hydraulic fracturing using particle flow method and application in a coal mine. Int. J. Coal Geol. 2014, 121, 1–13. [Google Scholar] [CrossRef]
- Zhang, X.; Jeffrey, R.G.; Thiercelin, M. Deflection and propagation of fluid-driven fractures at frictional bedding interfaces: A numerical investigation. J. Struct. Geol. 2007, 29, 396–410. [Google Scholar] [CrossRef]
- Zhang, X.; Jeffrey, R.G.; Thiercelin, M. Escape of fluid-driven fractures from frictional bedding interfaces: A numerical study. J. Struct. Geol. 2008, 30, 478–490. [Google Scholar] [CrossRef]
- Li, X.Z.; Lin, B.Q.; Zhai, C.; Li, Q.G.; Ni, G.H. The mechanism of breaking coal and rock by pulsating pressure wave in single low permeability seam. J. China Coal Soc. 2013, 38, 918–923. [Google Scholar]
- Lian, Z.L.; Zhang, J.; Wang, X.X.; Wu, H.A.; Xue, B. Simulation study of characteristics of hydraulic fracturing propagation. Rock Soil Mech. 2009, 30, 169–174. [Google Scholar]
- Lin, H.X.; Du, C.Z. Experimental research on the quasi three-axis hydraulic fracturing of coal. J. China Coal Soc. 2011, 36, 1801–1805. [Google Scholar]
- Li, C.L.; Kong, X.Y. A theoretical study on rocks break down pressure calculation equation of fracturing process. Oil Drill. Prod. Technol. 2000, 22, 54–57. [Google Scholar]
- Hossain, M.M.; Rahman, M.K.; Rahman, S.S. Hydraulic fracture initiation and propagation: Roles of wellbore trajectory, perforation and stress regimes. J. Petrol. Sci. Eng. 2000, 27, 129–149. [Google Scholar] [CrossRef]
- Bradley, W.B. Failure of inclined borehole. J. Energ. Resour. Technol. 1979, 101, 233–239. [Google Scholar] [CrossRef]
- Aadnoy, B.S.; Rogaland, U.; Chenevert, M.E. Stability of Highly Inclined Boreholes. In Proceedings of the SPE/IADC Drilling Conference, New Orleans, LA, USA, 15–18 March 1987.
- Tan, C.P.; Willoughby, D.R. Critical Mud Weight and Risk Contour Plots for Designing Inclined Wells. In Proceedings of the 68th Annual Technical Conference and Exhibition of the Society of Petroleum Engineers, Houston, TX, USA, 3–6 October 1993.
- Ge, Z.L.; Mei, X.D.; Lu, Y.Y.; Xia, B.W.; Chen, J.F. Mechanical model and test study of sealed drilling for hydraulic fracturing in underground coal mines. Rock Soil Mech. 2014, 35, 1097–1103. [Google Scholar]
- Jiang, Y.D.; Xian, X.F.; Xu, J. Research on application of Kaiser effect of acoustic emission to measuring initial stress in rock mass. Rock Soil Mech. 2005, 26, 946–950. [Google Scholar]
- Khademian, Z.; Shahiar, K.; Gharouni, N.M. Developing an algorithm to estimate in situ stresses using a hybrid numerical method based on local stress measurement. Int. J. Rock Mech. Min. Sci. 2012, 55, 80–85. [Google Scholar] [CrossRef]
- Jing, F.; Sheng, Q.; Zhang, Y.H.; Luo, C.W.; Liu, Y.K. Research on distribution rule of shallow crustal geostress in China mainland. Chin. J. Rock Mech. Eng. 2007, 26, 2056–2062. (In Chinese) [Google Scholar]
- Zhao, D.A.; Chen, Z.M.; Cai, X.L.; Li, S.Y. Analysis of distribution rule of geostress in China. Chin. J. Rock Mech. Eng. 2007, 26, 1265–1211. (In Chinese) [Google Scholar]
- Thomas, J.L. Fluid Jet Technology: Fundamentals and Application; Water Jet Technology Association: St. Louis, MO, USA, 1995. [Google Scholar]
- Zhu, B.C.; Tang, S.H.; Yan, Z.F.; Zhang, J.Z. Effects of crustal stresses and natural fractures on fracture pressure of coal reservoirs. J. China Coal Soc. 2009, 34, 1199–1202. [Google Scholar]
© 2015 by the authors; licensee MDPI, Basel, Switzerland. This article is an open access article distributed under the terms and conditions of the Creative Commons Attribution license (http://creativecommons.org/licenses/by/4.0/).
Share and Cite
Lu, Y.; Cheng, L.; Ge, Z.; Xia, B.; Li, Q.; Chen, J. Analysis on the Initial Cracking Parameters of Cross-Measure Hydraulic Fracture in Underground Coal Mines. Energies 2015, 8, 6977-6994. https://doi.org/10.3390/en8076977
Lu Y, Cheng L, Ge Z, Xia B, Li Q, Chen J. Analysis on the Initial Cracking Parameters of Cross-Measure Hydraulic Fracture in Underground Coal Mines. Energies. 2015; 8(7):6977-6994. https://doi.org/10.3390/en8076977
Chicago/Turabian StyleLu, Yiyu, Liang Cheng, Zhaolong Ge, Binwei Xia, Qian Li, and Jiufu Chen. 2015. "Analysis on the Initial Cracking Parameters of Cross-Measure Hydraulic Fracture in Underground Coal Mines" Energies 8, no. 7: 6977-6994. https://doi.org/10.3390/en8076977
APA StyleLu, Y., Cheng, L., Ge, Z., Xia, B., Li, Q., & Chen, J. (2015). Analysis on the Initial Cracking Parameters of Cross-Measure Hydraulic Fracture in Underground Coal Mines. Energies, 8(7), 6977-6994. https://doi.org/10.3390/en8076977

