Effects of Yaw Error on Wind Turbine Running Characteristics Based on the Equivalent Wind Speed Model
Abstract
:1. Introduction
2. Wind Turbine System Model Description

2.1. Equivalent Wind Speed Model
| Terrain | α |
|---|---|
| Smooth (Sea, Sand, Snow, etc.) | 0.10–0.13 |
| Medium irregularities (Prairie, Farmland, Villages, etc.) | 0.13–0.20 |
| Irregularities (Forests, Suburbs, etc.) | 0.20–0.27 |
| Very irregularities (City, Tall buildings, Hills, etc.) | 0.27–0.40 |
2.2. Wind Turbine Model

2.3. Yaw Error Model
3. Wind Turbine Running Characteristics Simulation Analysis
3.1. Simulation Parameters
| Parameters of the Wind Turbine | Value |
|---|---|
| Blades | 3 |
| Rotor diameter | 113 m |
| Rated power | 2500 kW |
| Cut-in wind speed | 3 m/s |
| Cut-out wind speed | 22 m/s |
| Rated wind speed | 10.5 m/s |
| Mean wind speed for the wind farm | 7 m/s |
| Maximum rotor power coefficient | 0.500422 |
| Optimal tip speed ratio | 8.7 |
| Rated speed | 13 r/min |
| Center height of the hub | 87 m |
| Tower(conical) outside diameter | 4630/3040 mm |
| Minimum distance from the tip to the tower | 5.2 m |
| Rated torque | 2010 kNm |
| Air density | 1.065 kg/m3 |
| Wind shear exponent | 0.4 |
3.2. Analysis of the Effects of Yaw Error on Rotor Torque


| Yaw Error | Blade not in the Tower Shadow Zone | Blade in the Tower Shadow Zone |
|---|---|---|
| 0° | 0.0065 | −0.0960 |
| 10° | 0.0062 | −0.0938 |
| 15° | 0.0060 | −0.0892 |
| 20° | 0.0056 | −0.0845 |
| 30° | 0.0049 | −0.0718 |
| 45° | 0.0031 | −0.0479 |
| 60° | 0.0015 | −0.0240 |
3.3. Analysis of the Effects of Yaw Error on Rotor Speed


| Yaw Error | VH = 7 m/s | VH = 10 m/s | VH = 15 m/s | |||
|---|---|---|---|---|---|---|
| Rotor Speed | Speed Loss | Rotor Speed | Speed Loss | Rotor Speed | Speed Loss | |
| 0° | 10.45 | 0 | 12.80 | 0 | 12.80 | 0 |
| 10° | 10.30 | 1.44% | 12.70 | 0.78% | 12.60 | 1.56% |
| 15° | 10.10 | 3.35% | 12.45 | 2.73% | 12.35 | 3.52% |
| 20° | 9.80 | 6.22% | 11.80 | 7.81% | 11.70 | 8.60% |
| 30° | 9.10 | 12.92% | 11.20 | 12.50% | 11.10 | 13.30% |

| Yaw Error | Oscillation Value | Reduce Value |
|---|---|---|
| 0° | 0.051 | 0 |
| 10° | 0.053 | 0.011 |
| 15° | 0.050 | 0.031 |
| 20° | 0.049 | 0.058 |
| 30° | 0.045 | 0.133 |
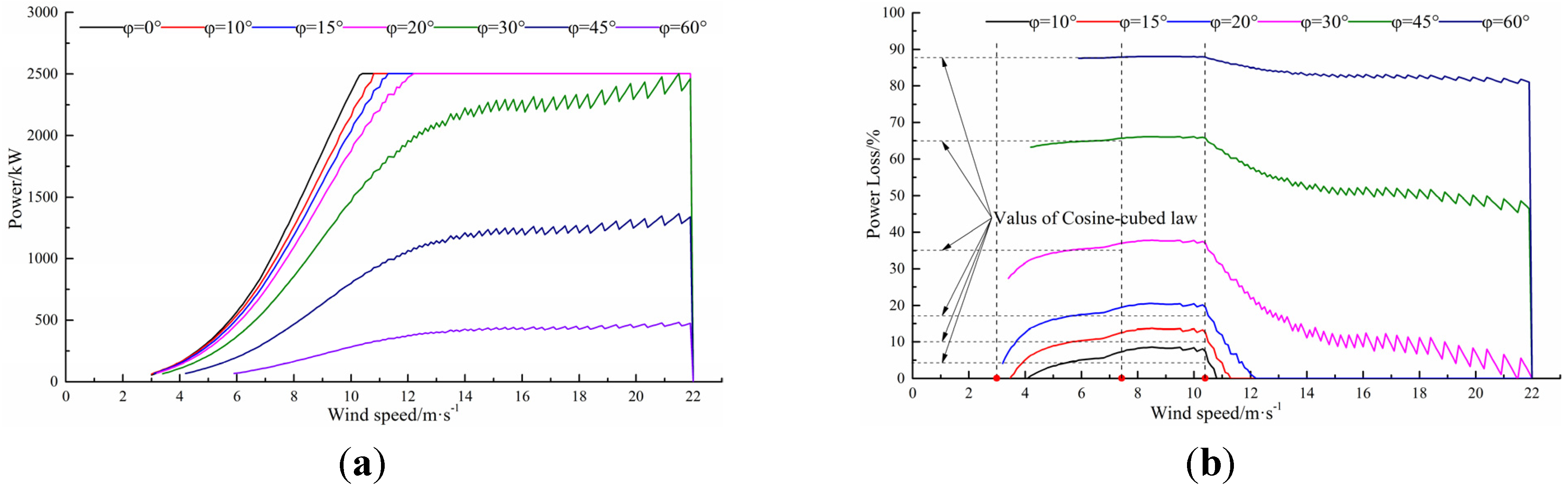
3.4. Analysis of the Effects of Yaw Error on Wind Turbine Power

| Yaw Error | Oscillation Value | Reduce Value |
|---|---|---|
| 0° | 0.148 | 0 |
| 10° | 0.141 | 0.015 |
| 15° | 0.134 | 0.034 |
| 20° | 0.128 | 0.061 |
| 30° | 0.107 | 0.137 |
| 45° | 0.072 | 0.298 |
| 60° | 0.038 | 0.507 |

4. Discussion
5. Conclusions
Acknowledgments
Author Contributions
Conflicts of Interest
References
- Burton, T.; Jenkins, N.; Sharpe, D.; Bossanyi, E. Wind Energy Handbook, 2nd ed.; John Wiley & Sons Ltd.: Chichester, UK, 2011. [Google Scholar]
- Jelavic, M.; Petrovic, V.; Peric, N. Estimation based individual pitch control of wind turbine. AUTOMATIKA J. Control Meas. Electron. Comput. Commun. 2010, 51, 181–192. [Google Scholar]
- Ekelund, T. Yaw control for reduction of structural dynamic loads in wind turbines. J. Wind Eng. Ind. Aerodyn. 2000, 85, 241–262. [Google Scholar] [CrossRef]
- Ekelund, T. Dynamics and control of structural loads of wind turbines. In Proceedings of the American Control Conference, Philadelphia, PA, USA, 21–26 June 1998; Volume 3, pp. 1720–1724.
- Farret, F.A.; Pfitscher, L.L.; Bernardon, D.P. Sensorless active yaw control for wind turbines. In Proceedings of the 27th Annual Conference of the IEEE Industrial Electronics Society, Denver, CO, USA, 29 November–2 December 2001; Volume 2, pp. 1370–1375.
- Farret, F.A.; Pfitscher, L.L.; Bernardon, D.P. Active yaw control with sensorless wind speed and direction measurements for horizontal axis wind turbines. In Proceedings of the 2000 Third IEEE International Caracas Conference on Devices, Circuits and Systems, Cancun, Mexico, 15–17 March 2000; Volume 25, pp. 1–6.
- Farret, F.A.; Pfitscher, L.L.; Bernardon, D.P. A heuristic algorithm for sensorless power maximization applied to small asynchronous wind turbogenerators. In Proceedings of the 2000 IEEE International Symposium on Industrial Electronics, Cholula, Puebla, Mexico, 4–8 December 2000; Volume 1, pp. 179–184.
- Bu, F.F.; Huang, W.X.; Hu, Y.W.; Shi, K.; Wang, Q.S. Study and implementation of a control algorithm for wind turbine yaw control system. In Proceedings of the 2009 World Non-Grid-Connected Wind Power and Energy Conference, Nanjing, China, 24–26 September 2009; pp. 1–5.
- Bassett, K.; Carriveau, R.; Ting, D. Vibration response of a 2.3 MW wind turbine to yaw motion and shut down events. Wind Energy 2011, 14, 939–952. [Google Scholar] [CrossRef]
- Jeong, M.S.; Kim, S.W.; Lee, I.; Yoo, Y.J.; Park, Y.C. The impact of yaw error on aeroelastic characteristics of a horizontal axis wind turbine blade. Renew. Energy 2013, 60, 256–268. [Google Scholar] [CrossRef]
- Roohollah, F.; Gerry, M.; Mehrdad, M. The impact of tower shadow, yaw error, and wind shears on power quality in a wind-diesel system. IEEE Trans. Energy Convers. 2009, 24, 102–111. [Google Scholar]
- Kragh, K.A.; Hansen, M.H. Load alleviation of wind turbines by yaw misalignment. Wind Energy 2014, 17, 971–982. [Google Scholar] [CrossRef]
- Ribrant, J.; Bertling, L. Survey of failures in wind power systems with focus on Swedish wind power plants during 1997–2005. IEEE Trans. Energy Convers. 2007, 22, 167–173. [Google Scholar] [CrossRef]
- Cristian, B. Modeling Lifetime of high power IGBTs in wind power applications—An overview. In Proceedings of the IEEE International Symposium on Industrial Electronics, Gdansk, Poland, 27–30 June 2011; pp. 1408–1413.
- Pinar Pérez, J.M.; García Márquez, F.P.; Tobias, A.; Papaelias, M. Wind turbine reliability analysis. Renew. Sustain. Energy Rev. 2013, 23, 463–472. [Google Scholar] [CrossRef]
- Fischer, K.; Besnard, F.; Bertling, L. Reliability Centered Maintenance for wind turbines based on statistical analysis and practical experience. IEEE Trans. Energy Convers. 2012, 27, 184–195. [Google Scholar] [CrossRef]
- Guo, H.T.; Watson, S.; Tavner, P.; Xiang, J.P. Reliability analysis for wind turbines with incomplete failure data collected from after the date of initial installation. Reliab. Eng. Syst. Saf. 2009, 94, 1057–1063. [Google Scholar] [CrossRef]
- Hughes, F.M.; Anaya-Lara, O.; Ramtharan, G.; Jenkins, N.; Strbac, G. Influence of tower shadow and wind turbulence on the performance of power system stabilizers for DFIG-based wind farms. IEEE Trans. Energy Convers. 2008, 23, 519–528. [Google Scholar] [CrossRef]
- Hu, W.H.; Su, C.; Chen, Z. Impact of wind shear and tower shadow effects on power system with large scale wind power penetration. In Proceedings of the 37th Annual Conference on IEEE Industrial Electronics Society, Melbourne, Australia, 7–10 November 2011; pp. 878–883.
- Tan, J.; Hu, W.H.; Wang, X.R.; Chen, Z. Effect of tower shadow and wind shear in a wind farm on AC Tie-Line power oscillations of interconnected power systems. Energies 2013, 6, 6352–6372. [Google Scholar] [CrossRef]
- Dale, S.L.D.; Peter, W.L. Simulation model of wind turbine 3p torque oscillations due to wind shear and tower shadow. IEEE Trans. Energy Convers. 2006, 21, 717–724. [Google Scholar]
- Manwell, J.F.; McGowan, J.G.; Rogers, A.L. Wind Energy Explained-Theory, Design and Application, 2nd ed.; John Wiley & Sons Ltd.: Chichester, UK, 2009. [Google Scholar]
- Madsen, H.A.; Srensen, N.N.; Schreck, S. Yaw aerodynamics analyzed with three codes in comparison with experiment. In Proceedings of the 41st Aerospace Sciences Meeting and Exhibit, Reno, NV, USA, 6–9 January 2003; pp. 94–103.
© 2015 by the authors; licensee MDPI, Basel, Switzerland. This article is an open access article distributed under the terms and conditions of the Creative Commons Attribution license (http://creativecommons.org/licenses/by/4.0/).
Share and Cite
Wan, S.; Cheng, L.; Sheng, X. Effects of Yaw Error on Wind Turbine Running Characteristics Based on the Equivalent Wind Speed Model. Energies 2015, 8, 6286-6301. https://doi.org/10.3390/en8076286
Wan S, Cheng L, Sheng X. Effects of Yaw Error on Wind Turbine Running Characteristics Based on the Equivalent Wind Speed Model. Energies. 2015; 8(7):6286-6301. https://doi.org/10.3390/en8076286
Chicago/Turabian StyleWan, Shuting, Lifeng Cheng, and Xiaoling Sheng. 2015. "Effects of Yaw Error on Wind Turbine Running Characteristics Based on the Equivalent Wind Speed Model" Energies 8, no. 7: 6286-6301. https://doi.org/10.3390/en8076286
APA StyleWan, S., Cheng, L., & Sheng, X. (2015). Effects of Yaw Error on Wind Turbine Running Characteristics Based on the Equivalent Wind Speed Model. Energies, 8(7), 6286-6301. https://doi.org/10.3390/en8076286
