An Experimental Study on the Macroscopic Spray Characteristics of Biodiesel and Diesel in a Constant Volume Chamber
Abstract
:1. Introduction
2. Experimental Apparatus and Procedures
2.1. Experimental Apparatus and Methods


2.2. Fuels and Working Conditions
| Properties | Diesel | Biodiesel |
|---|---|---|
| Density (g/mL) (40 °C) | 0.85 | 0.88 |
| Kinetic viscosity (mm2/s) (40 °C) | 2.46 | 4.19 |
| Surface tension (mN/m) | 29.5 | 32.4 |
| Cold filter plugging point (°C) | 4 | 10 |
| Flash point temperature (°C) | 75 | 165.0 |
| Cetane number (CN) | 47.7 | 49 |
| Injection System | Common Rail Fuel Injection System |
|---|---|
| Fuel | Diesel, biodiesel, biodiesel–diesel blends (BD20, BD50, BD80) |
| Nozzle type | Mini-sac nozzle |
| Hole number | Single hole |
| Diameter of nozzle hole | 0.3 mm |
| Injection pressure | 60, 70, 80, 90, 100 MPa |
| Pulse injection duration | 700 μs |
| Ambient temperature | 293 K |
| Ambient pressure | 0.1, 0.3, 0.5, 0.7, 0.9 MPa |
| Injection Pressure (MPa) | Fuel Injection Quantities (mg/Injection) | ||||
|---|---|---|---|---|---|
| BD0 | BD20 | BD50 | BD80 | BD100 | |
| 60 | 17.06 | 16.78 | 16.615 | 16.45 | 16.23 |
| 70 | 42.51 | 41.94 | 41.54 | 41.13 | 40.58 |
| 80 | 68.04 | 67.11 | 66.46 | 65.81 | 64.93 |
| 90 | 93.54 | 92.28 | 91.38 | 90.49 | 89.29 |
| 100 | 119.03 | 117.44 | 116.30 | 115.16 | 113.64 |
3. Results and Discussion
3.1. Spray Tip Penetration



3.2. Average Tip Velocity at Penetration

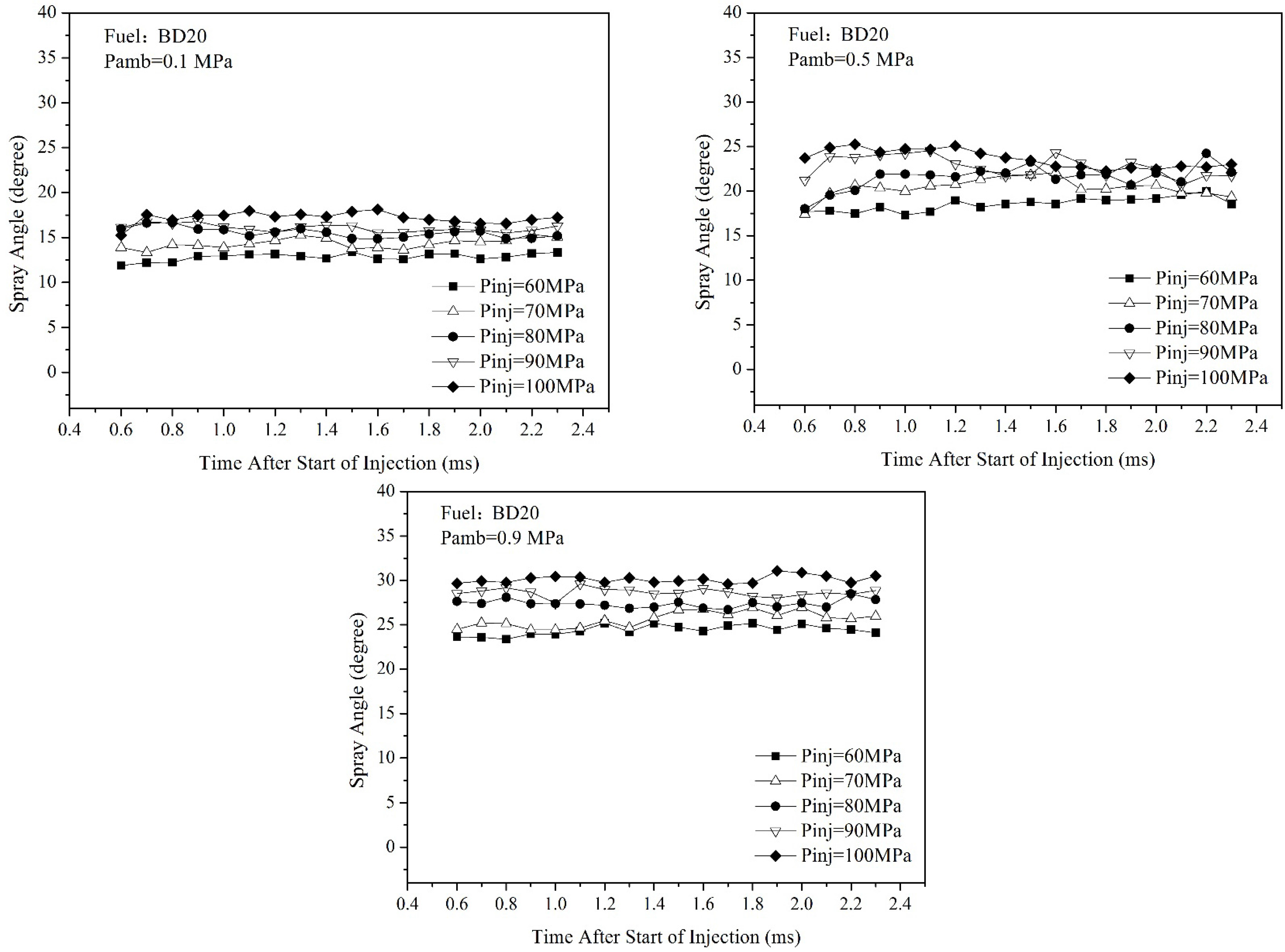
3.3. Spray Angle

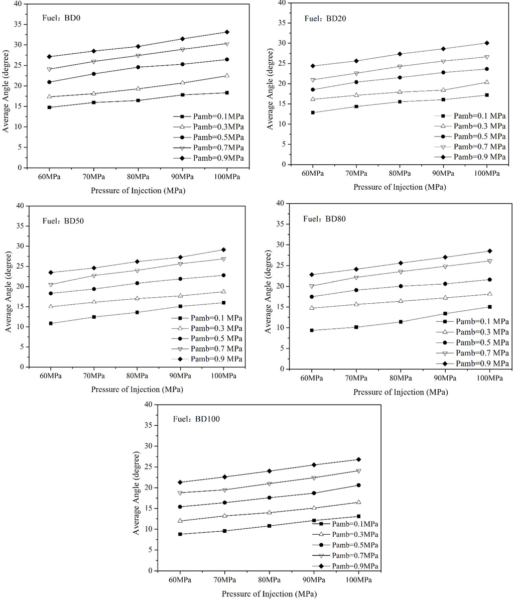
3.4. Average Spray Angle

3.5. Spray Evolution Process


3.6. Spray Area

3.7. Spray Volume

4. Conclusions
- (1)
- The spray tip penetration, peak of average tip velocity, spray area and spray volume increased with the increase of the injection pressure. The spray angle and average angle were insensitive to the injection pressure and showed a slight increase.
- (2)
- The spray tip penetration, and peak average tip velocity decreased with the increase of the ambient pressure. The spray angle, average angle increased significantly with the increasing ambient pressure, resulting in a shorter and wider spray shape.
- (3)
- The spray tip penetration presented little variation with the increase of the blend ratio. However, the spray angle and average angle decreased slightly, and the spray shape became narrower. 100% diesel gave a larger spray angle and average angle compared with other fuels.
- (4)
- As time elapsed, the spray tip penetration increased rapidly during the early injection stage followed by a gradual smoothing process later, the spray angle remained stable, the spray shape became longer and wider, and the average tip velocity presented a sharp increase following SOI, then decreased rapidly after the peak spray tip velocity and finally remained stable.
- (5)
- The spray area and spray volume increased significantly with the increasing spray tip penetration.
- (6)
- Among the physical properties affecting the spray characteristics, viscosity and surface tension were main ones, which inhibited the breakup of liquid jet and atomization. In the present study, viscosity and surface tension of the blend fuels increased with the increase of blend ratio.
Acknowledgments
Author Contributions
Conflicts of Interest
References
- Basak, A.; Patra, J.; Ganguly, R.; Datta, A. Effect of transesterification of vegetable oil on liquid flow number and spray cone angle for pressure and twin fluid atomizers. Fuel 2013, 112, 347–354. [Google Scholar] [CrossRef]
- Dong, Y.Q.; Liu, Y.X. Present situation and future of biodiesel. Mod. Veh. Power 2007, 4, 1–9. [Google Scholar]
- Chhetri, A.B.; Watts, K.C.; Islam, M.R. Waste cooking oil as an alternate feedstock for biodiesel production. Energies 2008, 1, 3–18. [Google Scholar] [CrossRef]
- Kuti, O.A.; Nishida, K.; Zhu, J.Y. Experimental studies on spray and gas entrainment characteristics of biodiesel fuel: Implications of gas entrained and fuel oxygen content on soot formation. Energy 2013, 57, 434–442. [Google Scholar] [CrossRef]
- Pandey, R.K.; Rehman, A.; Sarviya, R.M. Impact of alternative fuel properties on fuel spray behavior and atomization. Renew. Sustain. Energy Rev. 2012, 16, 1762–1778. [Google Scholar] [CrossRef]
- Kim, H.; Kim, Y.; Lee, K. An Experimental study on the spray, combustion, and emission characteristics of two types of biodiesel fuel. Energy Fuels 2013, 27, 5182–5191. [Google Scholar] [CrossRef]
- Badreldin, A.M. Automatic analysis of fuel spray images. Comput. Ind. 1987, 9, 107–113. [Google Scholar] [CrossRef]
- Som, S.; Longman, D.E.; Ramirez, A.I.; Aggarwal, S.K. A comparison of injector flow and spray characteristics of biodiesel with petrodiesel. Fuel 2010, 89, 4014–4024. [Google Scholar] [CrossRef]
- Boggavarapu, P.; Ravikrishna, R.V. A review on atomization and sprays of biofuels for IC engine applications. Int. J. Spray Combust. Dyn. 2013, 5, 85–121. [Google Scholar] [CrossRef]
- Battistoni, M.; Grimaldi, C.N. Numerical analysis of injector flow and spray characteristics from diesel injectors using fossil and biodiesel fuels. Appl. Energy 2012, 97, 656–666. [Google Scholar] [CrossRef]
- Wang, X.G.; Huang, Z.H.; Kuti, O.A.; Zhang, W.; Nishida, K. Experimental and analytical study on biodiesel and diesel spray characteristics under ultra-high injection pressure. Int. J. Heat Fluid Flow 2010, 31, 659–666. [Google Scholar] [CrossRef]
- Yoon, S.H.; Park, S.H.; Lee, C.S. Experimental investigation on the fuel properties of biodiesel and its blends at various temperatures. Energy Fuels 2008, 22, 652–656. [Google Scholar] [CrossRef]
- Yuan, W.; Hansen, A.C.; Zhang, Q. Predicting the temperature dependent viscosity of biodiesel fuels. Fuel 2008, 88, 1120–1126. [Google Scholar] [CrossRef]
- Pan, J.F.; Yang, W.M.; Chou, S.; Li, D.T.; Xue, H.; Zhao, J.G.; Tang, A.K. Spray and combustion visualization of biodiesel in a direct injection diesel engine. Therm. Sci. 2013, 17, 279–289. [Google Scholar] [CrossRef]
- Agarwal, A.K.; Dhar, A.; Gupta, J.G.; Kim, W.I.; Lee, C.S.; Park, S. Effect of fuel injection pressure and injection timing on spray characteristics and particulate size-number distribution in a biodiesel fuelled common rail direct injection diesel engine. Appl. Energy 2014, 130, 212–221. [Google Scholar] [CrossRef]
- Delacourt, E.; Desmet, B.; Besson, B. Characterization of very high pressure diesel sprays using digital imaging techniques. Fuel 2005, 84, 859–867. [Google Scholar] [CrossRef]
- Agarwal, A.K.; Chaudhury, V.H. Spray characteristics of biodiesel/blends in a high pressure constant volume spray chamber. Exp. Therm. Fluid Sci. 2012, 42, 212–218. [Google Scholar] [CrossRef]
- Kim, H.J.; Park, S.H.; Lee, C.S. A study on the macroscopic spray behavior and atomization characteristics of biodiesel and dimethyl ether sprays under increased ambient pressure. Fuel Process. Technol. 2010, 91, 354–363. [Google Scholar] [CrossRef]
- Chen, P.C.; Wang, W.C.; Roberts, W.L.; Fang, T.G. Spray and atomization of diesel fuel and its alternatives from a single-hole injector using a common rail fuel injection system. Fuel 2013, 103, 850–861. [Google Scholar] [CrossRef]
- Mohan, B.; Yang, W.M.; Tay, K.L.; Yu, W.B. Experimental study of spray characteristics of biodiesel derived from waste cooking oil. Energy Convers. Manag. 2014, 88, 622–632. [Google Scholar] [CrossRef]
- Lee, C.S.; Park, S.W.; Kwon, S.I. An experimental study on the atomization and combustion characteristics of biodiesel-blended fuels. Energy Fuels 2005, 19, 2201–2208. [Google Scholar] [CrossRef]
- Gao, Y.; Deng, J.; Li, C.W.; Dang, F.L.; Liao, Z.; Wu, Z.J.; Li, L.G. Experimental study of the spray characteristics of biodiesel based on inedible oil. Biotechnol. Adv. 2009, 27, 616–624. [Google Scholar] [CrossRef] [PubMed]
- Srichai, P.; Chareonphonphanich, C.; Karin, P.; Chollacoop, N. Spray visualization of biodiesel and diesel in a high pressure chamber. Adv. Mater. Res. 2014, 931, 1043–1047. [Google Scholar] [CrossRef]
- Desantes, J.M.; Payri, R.; Salvador, F.J.; Gil, A. Development and validation of a theoretical model for diesel spray penetration. Fuel 2006, 85, 910–917. [Google Scholar] [CrossRef]
- Lee, C.S.; Park, S.W. An experimental and numerical study on fuel atomization characteristics of high-pressure diesel injection sprays. Fuel 2002, 81, 2417–2423. [Google Scholar] [CrossRef]
- Hiroyasu, H.; Arai, M. Fuel spray penetration and spray angle in diesel spray. Trans. JSAE 1980, 21, 5–11. [Google Scholar]
- Dos Santos, F.; le Moyne, L. Spray atomization models in engine applications, from correlations to direct numerical simulations. Oil Gas Sci. Technol. 2011, 66, 801–822. [Google Scholar] [CrossRef]
- Roisman, I.V.; Araneo, L.; Tropea, C. Effect of ambient pressure on penetration of a diesel spray. Int. J. Multiph. Flow 2007, 33, 904–920. [Google Scholar] [CrossRef]
- He, C.; Ge, Y.; Tan, J.; Han, X. Spray properties of alternative fuels: A comparative analysis of biodiesel and diesel. Int. J. Energy Res. 2008, 32, 1329–1338. [Google Scholar] [CrossRef]
© 2015 by the authors; licensee MDPI, Basel, Switzerland. This article is an open access article distributed under the terms and conditions of the Creative Commons Attribution license (http://creativecommons.org/licenses/by/4.0/).
Share and Cite
Xie, H.; Song, L.; Xie, Y.; Pi, D.; Shao, C.; Lin, Q. An Experimental Study on the Macroscopic Spray Characteristics of Biodiesel and Diesel in a Constant Volume Chamber. Energies 2015, 8, 5952-5972. https://doi.org/10.3390/en8065952
Xie H, Song L, Xie Y, Pi D, Shao C, Lin Q. An Experimental Study on the Macroscopic Spray Characteristics of Biodiesel and Diesel in a Constant Volume Chamber. Energies. 2015; 8(6):5952-5972. https://doi.org/10.3390/en8065952
Chicago/Turabian StyleXie, Hongzhan, Lanbo Song, Yizhi Xie, Dong Pi, Chunyu Shao, and Qizhao Lin. 2015. "An Experimental Study on the Macroscopic Spray Characteristics of Biodiesel and Diesel in a Constant Volume Chamber" Energies 8, no. 6: 5952-5972. https://doi.org/10.3390/en8065952
APA StyleXie, H., Song, L., Xie, Y., Pi, D., Shao, C., & Lin, Q. (2015). An Experimental Study on the Macroscopic Spray Characteristics of Biodiesel and Diesel in a Constant Volume Chamber. Energies, 8(6), 5952-5972. https://doi.org/10.3390/en8065952
