Using Satellite SAR to Characterize the Wind Flow around Offshore Wind Farms
Abstract
:1. Introduction
| Satellite Data | Number of Wind Farms | Number of SAR Scenes | Averaging | Analysis Type | Resolution (km) | Section |
|---|---|---|---|---|---|---|
| RADARSAT-2 | 10 | 1 | None | Qualitative | 1 | 3 |
| Envisat ASAR | 2 | 7–30 | Geo-located | Quantitative | 1 | 4 |
| Envisat ASAR | 1 | 100–800 | Rotated | Quantitative | 1 | 5 |
2. Study Site, Satellite SAR and Wake Modelling
2.1. Study Site

| Wind Farm | Nationality | Year | Latitude (°) | Longitude (°) | Number of Turbines | Turbine Size (MW) | Park (MW) | Area (km2) |
|---|---|---|---|---|---|---|---|---|
| Alpha ventus | Germany | 2009 | 54.010 | 6.606 | 12 | 5 | 60 | 4 |
| Belwind 1 | Belgium | 2010 | 51.670 | 2.802 | 55 | 3 | 165 | 13 |
| Greater Gabbard | United Kingdom | 2012 | 51.883 | 1.935 | 140 | 3.6 | 504 | 146 |
| Gunfleet Sands 1 + 2I | United Kingdom | 2010 | 51.730 | 1.229 | 48 | 3.6 | 172.8 | 16 |
| Horns Rev 1 | Denmark | 2002 | 55.486 | 7.840 | 80 | 2.0 | 160 | 21 |
| Horns Rev 2 | Denmark | 2009 | 55.600 | 7.582 | 91 | 2.3 | 209.3 | 33 |
| Kentish Flats | United Kingdom | 2005 | 51.460 | 1.093 | 30 | 3 | 90 | 10 |
| London Array Phase 1 | United Kingdom | 2012 | 51.626 | 1.495 | 175 | 3.6 | 630 | 100 |
| Thanet | United Kingdom | 2010 | 51.430 | 1.633 | 100 | 3 | 300 | 35 |
| Thornton Bank 1 | Belgium | 2009 | 51.544 | 2.938 | 6 | 6 | 30 | 1 |
| Thornton Bank 2 | Belgium | 2012 | 51.556 | 2.969 | 30 | 6.15 | 184.5 | 12 |
| Thornton Bank 3 | Belgium | 2013 | 51.540 | 2.921 | 18 | 6.15 | 110.7 | 7 |
2.2. Satellite SAR

2.3. Wake Modelling with PARK and WRF
3. Case Study Based on RADARSAT-2

4. Wind Farm Wake Climatology Geo-Located Wind Maps


| Sector | 1 | 2 | 3 | 4 | 5 | 6 | 7 | 8 | 9 | 10 | 11 | 12 | Total |
|---|---|---|---|---|---|---|---|---|---|---|---|---|---|
| Samples | 13 | 7 | 12 | 16 | 24 | 21 | 22 | 28 | 22 | 30 | 20 | 26 | 241 |
5. Wind Farm Wake Climatology Based on Rotation of Wind Maps
5.1. Description of the Method

| Wind Farm | r1 (km) | r2 (km) | r3 (km) | Nscenes |
|---|---|---|---|---|
| Alpha ventus | 5 | 10 | 15 | 245 |
| Belwind1 | 6 | 11 | 15 | 97 |
| Gunfleet Sands 1 + 2 | 4 | 5 | 6 | 153 |
| Horns Rev 1 | 6 | 10 | 13 | 835 |
| Horns Rev 2 | 8 | 12 | 15 | 303 |
| Thanet | 7 | 9 | 11 | 128 |




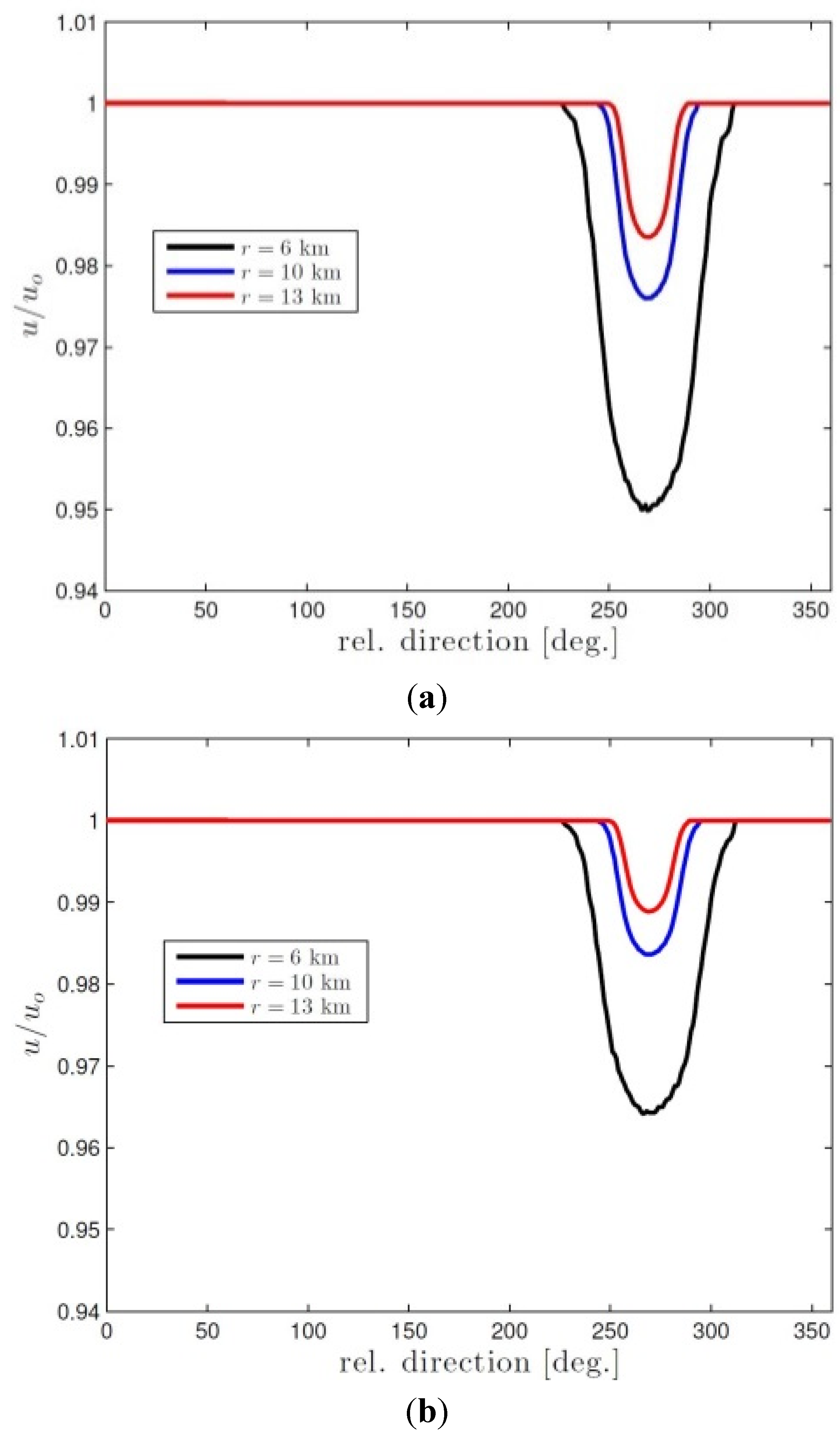
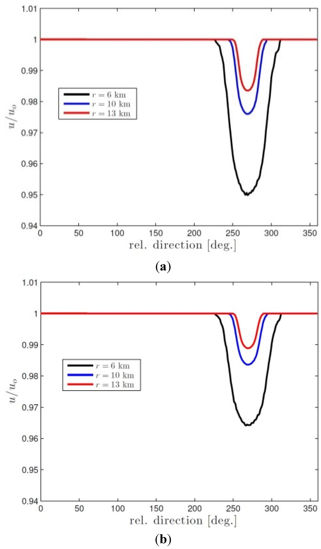
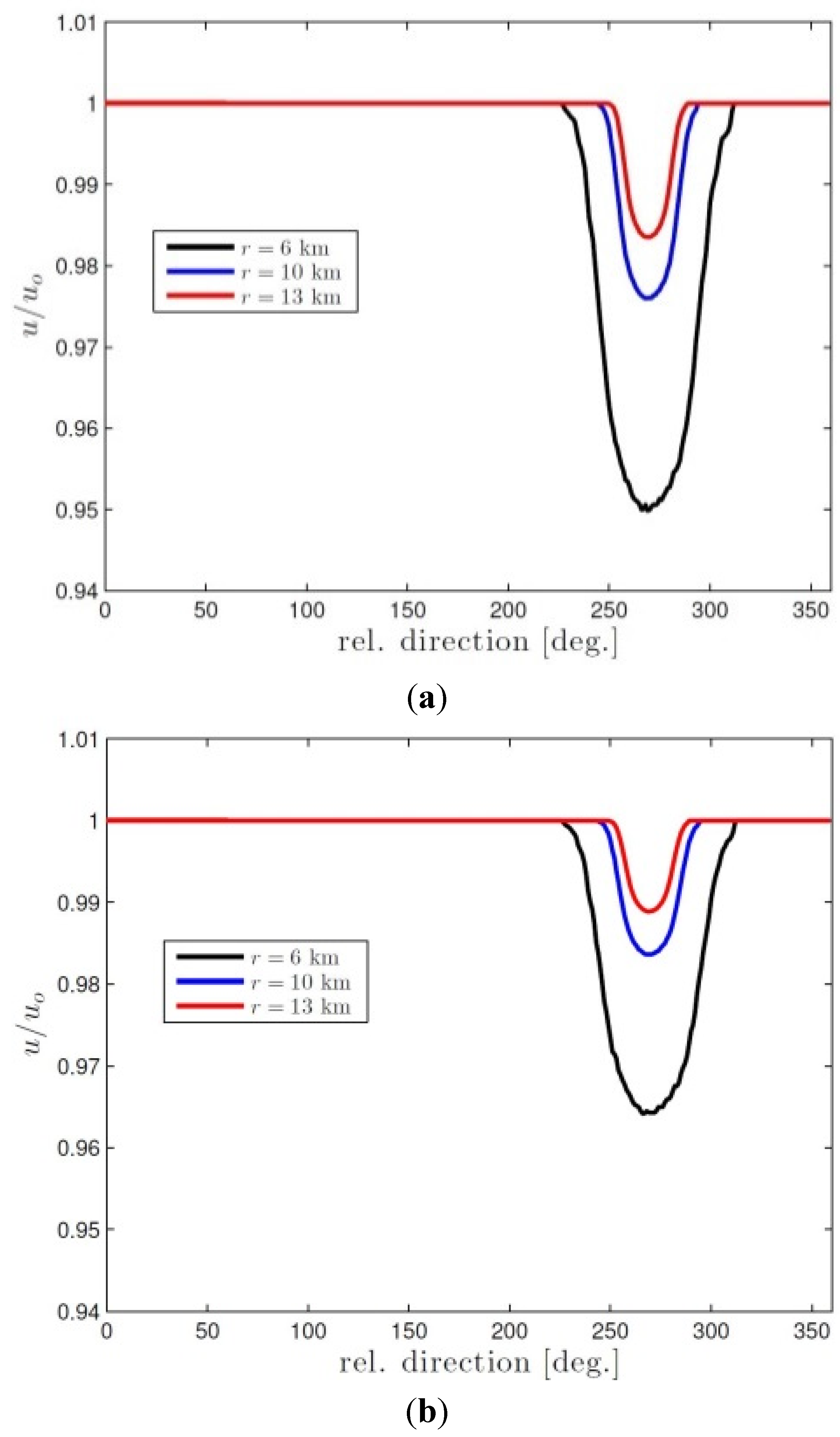
5.2. PARK Model Results


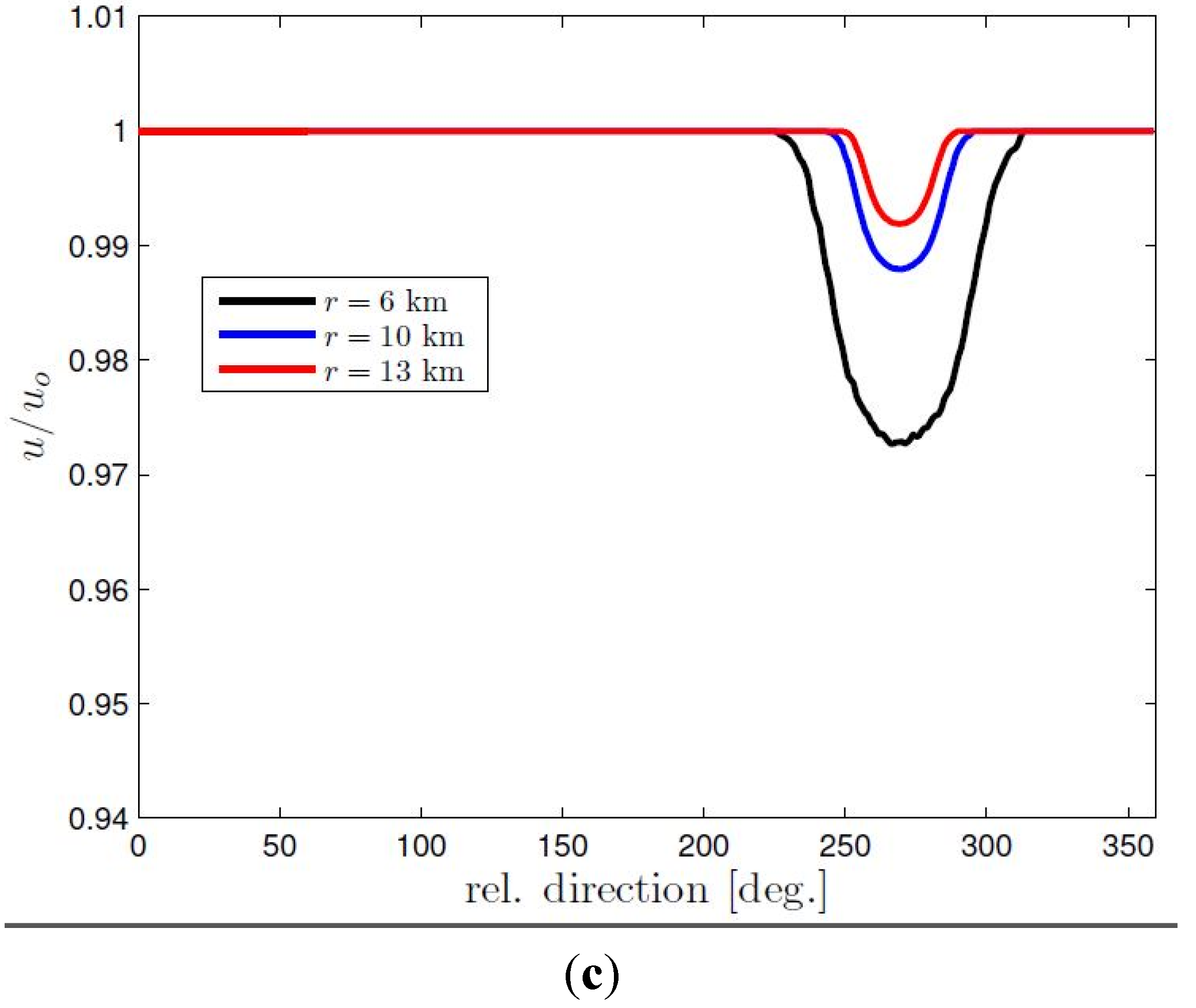
5.3. Horns Rev 2 Results


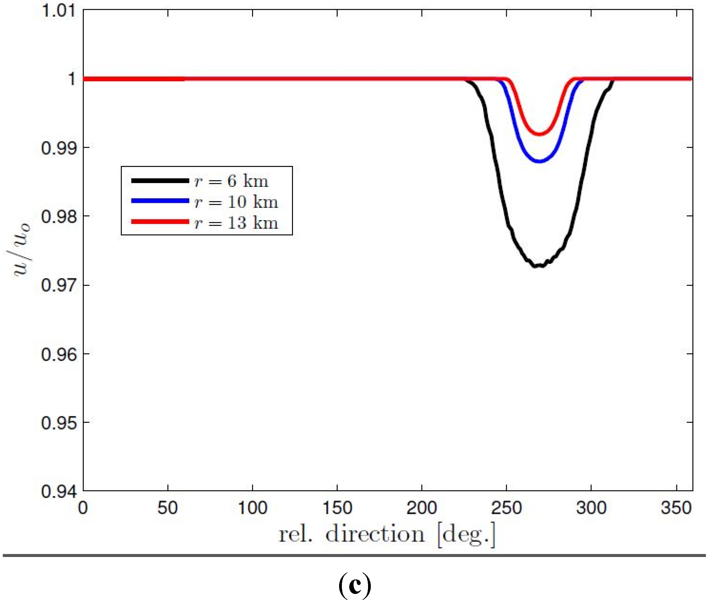
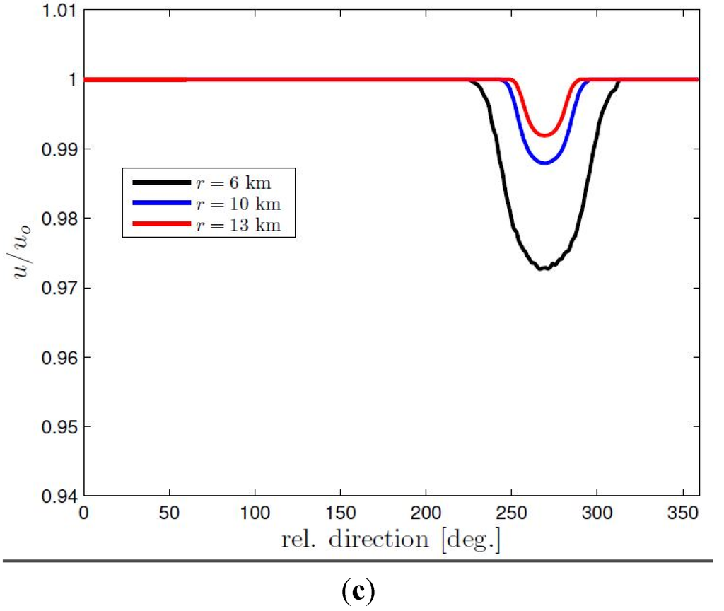
5.4. SAR-Based Results for Six Wind Farms

6. Discussion
7. Conclusions
Acknowledgments
Author Contributions
Conflicts of Interest
References
- Christiansen, M.B.; Hasager, C.B. Wake effects of large offshore wind farms identified from satellite SAR. Remote Sens. Environ. 2005, 98, 251–268. [Google Scholar] [CrossRef]
- Christiansen, M.B.; Hasager, C.B. Using airborne and satellite SAR for wake mapping offshore. Wind Energy 2006, 9, 437–455. [Google Scholar] [CrossRef]
- Li, X.; Lehner, S. Observation of TerraSAR-X for Studies on Offshore Wind Turbine Wake in near and Far Fields. IEEE 2013, 5, 1757–1768. [Google Scholar] [CrossRef]
- Hasager, C.B.; Vincent, P.; Husson, R.; Mouche, A.; Badger, M.; Peña, A.; Volker, P.; Badger, J.; Di Bella, A.; Palomares, A.; et al. Comparing satellite SAR and wind farm wake models. J. Phys. Conf. Ser. 2015, 625. in press. [Google Scholar]
- Hasager, C.B.; Mouche, A.; Badger, M.; Bingöl, F.; Karagali, I.; Driessenaar, T.; Stoffelen, A.; Peña, A.; Longépé, N. Offshore wind climatology based on synergetic use of Envisat ASAR, ASCAT and QuikSCAT. Remote Sens. Environ. 2015, 156, 247–263. [Google Scholar] [CrossRef]
- Quilfen, Y.; Chapron, B.; Elfouhaily, T.; Katsaros, K.; Tournadre, J. Observation of tropical cyclones by high-resolution scatterometry. J. Geophys. Res. 1998, 103, 7767–7786. [Google Scholar] [CrossRef]
- Katic, I.; Højstrup, J.; Jensen, N.O. A simple model for cluster efficiency. In Proceedings of the European Wind Energy Association Conference & Exhibition, Rome, Italy, 7–9 October 1986.
- Mortensen, N.G.; Heathfield, D.N.; Myllerup, L.; Landberg, L.; Rathmann, O. Getting Started with WAsP 9; Tech. Rep. Risø-I-2571(EN); Risø National Laboratory: Roskilde, Denmark, 2007. [Google Scholar]
- Jensen, N.O. A Note on Wind Generator Interaction; Tech. Rep. Risø-M-2411(EN); Risø National Laboratory: Roskilde, Denmark, 1983. [Google Scholar]
- Skamarock, W.C.; Klemp, J.B.; Dudhia, J.; Gill, D.O.; Barker, D.M.; Duda., M.; Huang, X.Y.; Wang, W.; Powers, J.G. A description of the advanced research WRF version 3. Tech. Rep. 2008. [Google Scholar] [CrossRef]
- Adams, A.S.; Keith, D.W. A wind farm parametrization for WRF. Available online: http://www2.mmm.ucar.edu/wrf/users/workshops/WS2007/abstracts/5-5_Adams.pdf (accessed on 2 June 2015).
- Baidya Roy, S. Simulating impacts of wind farms on local hydrometeorology. J. Wind Eng. Ind. Aerodyn. 2011, 99, 491–498. [Google Scholar] [CrossRef]
- Blahak, U.; Goretzki, B.; Meis, J. A simple parametrisation of drag forces induced by large wind farms for numerical weather prediction models. In Proceedings of the European Wind Energy Conference & Exhibition 2010 (EWEC), Warsaw, Poland, 20–23 April 2010.
- Jacobson, M.Z.; Archer, C.L. Saturation wind power potential and its implications for wind energy. Proc. Natl. Acad. Sci. USA 2012, 109, 15679–15684. [Google Scholar] [CrossRef] [PubMed]
- Fitch, A.; Olson, J.; Lundquist, J.; Dudhia, J.; Gupta, A.; Michalakes, J.; Barstad, I. Local and mesoscale impacts of wind farms as parameterized in a mesoscale NWP model. Mon. Weather Rev. 2012, 140, 3017–3038. [Google Scholar] [CrossRef]
- Volker, P.J.H.; Badger, J.; Hahmann, A.H.; Ott, S. The Explicit Wake Parametrisation V1.0: A wind farm parametrisation in the mesoscale model WRF. GMDD 2015, 8, 3481–3522. [Google Scholar] [CrossRef]
- Nakanishi, M.; Niino, H. Development of an improved turbulence closure model for the atmospheric boundary layer. J. Meteorol. Soc. Jpn. 2009, 87, 895–912. [Google Scholar] [CrossRef]
- Kain, J.S. The Kain-Fritsch convective parameterization: An update. J. Appl. Meteorol. Climatol. 2004, 43, 170–181. [Google Scholar] [CrossRef]
- Thompson, G.; Field, P.R.; Rasmussen, M.; Hall, W.D. Explicit forecasts of winter precipitation using an improved bulk micro- physics scheme. Part II: Implementation of a new snow parameterization. Mon. Weather Rev. 2008, 136, 5095–5115. [Google Scholar] [CrossRef]
- Mlaver, E.J.; Taubman, S.J.; Brown, P.D.; Iacono, M.J.; Clough, S.A. Radiative transfer for inhomogeneous atmosphere: RRTM, a validated corrected-k model for the long wave. J. Geophys. Res. 1997, 102, 16663–16682. [Google Scholar]
- Dudhia, J. Numerical study of convection observed during the wind monsoon experiment using a mesoscale two-dimensional model. J. Atmo. Sci. 1989, 46, 3077–3107. [Google Scholar] [CrossRef]
- Chen, F.; Dudhia, J. Coupling an advanced land surface-hydrology model with the Penn State-NCAR MM5 modeling system. Part I: Model implementation and sensitivity. Mon. Weather Rev. 2001, 129, 569–585. [Google Scholar] [CrossRef]
- Uppala, S.M.; Kallberg, P.W.; Simmons, A.J.; Andrae, U.; Bechtold, V.; Fiorino, M.; Gibson, J.K.; Haseler, J.; Hernandez, A.; Kelly, G.A.; et al. The ERA-40 re-analysis. Quart. J. R. Meteorol. Soc. 2005, 131. [Google Scholar] [CrossRef]
- Barthelmie, R.J.; Badger, J.; Pryor, S.C.; Hasager, C.B.; Christiansen, M.B.; Jørgensen, B.H. Offshore coastal wind speed gradients: Issues for the design and development of large offshore windfarms. Wind Eng. 2007, 31, 369–382. [Google Scholar] [CrossRef]
© 2015 by the authors; licensee MDPI, Basel, Switzerland. This article is an open access article distributed under the terms and conditions of the Creative Commons Attribution license (http://creativecommons.org/licenses/by/4.0/).
Share and Cite
Hasager, C.B.; Vincent, P.; Badger, J.; Badger, M.; Di Bella, A.; Peña, A.; Husson, R.; Volker, P.J.H. Using Satellite SAR to Characterize the Wind Flow around Offshore Wind Farms. Energies 2015, 8, 5413-5439. https://doi.org/10.3390/en8065413
Hasager CB, Vincent P, Badger J, Badger M, Di Bella A, Peña A, Husson R, Volker PJH. Using Satellite SAR to Characterize the Wind Flow around Offshore Wind Farms. Energies. 2015; 8(6):5413-5439. https://doi.org/10.3390/en8065413
Chicago/Turabian StyleHasager, Charlotte Bay, Pauline Vincent, Jake Badger, Merete Badger, Alessandro Di Bella, Alfredo Peña, Romain Husson, and Patrick J. H. Volker. 2015. "Using Satellite SAR to Characterize the Wind Flow around Offshore Wind Farms" Energies 8, no. 6: 5413-5439. https://doi.org/10.3390/en8065413
APA StyleHasager, C. B., Vincent, P., Badger, J., Badger, M., Di Bella, A., Peña, A., Husson, R., & Volker, P. J. H. (2015). Using Satellite SAR to Characterize the Wind Flow around Offshore Wind Farms. Energies, 8(6), 5413-5439. https://doi.org/10.3390/en8065413

