Tuning of the PI Controller Parameters of a PMSG Wind Turbine to Improve Control Performance under Various Wind Speeds
Abstract
:1. Introduction
2. Small-Signal Modeling

2.1. Wind Turbine Model
2.2. Permanent Magnet Synchronous Generator Model
2.3. Machine-Side Converter Controller Model

2.4. DC-Link Model

2.5. Grid-Side Converter Controller Model

2.6. Power Grid Model

2.7. Complete Small-Signal Model
3. Optimization Algorithm
3.1. Particle Swarm Optimization Algorithm
3.2. Problem Formulation
4. Case Studies
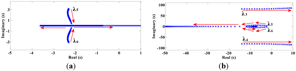
4.1. Case I—Adjusting Experimentally
| Parameters | Value (in p.u.) | ||
|---|---|---|---|
| Case I | Case II | Proposed method | |
| Kp1 | 1 | 1 | 4.14 |
| Ki1 | 1 | 1 | 4.10 |
| Kp2 | 0.1 | 0.01 | 0.01 |
| Ki2 | 0.01 | 0.06 | 0.14 |
| Kp3 | 1 | 1 | 0.73 |
| Ki3 | 0.2 | 0.2 | 2.57 |
| Kp4 | 1 | 1 | 2.91 |
| Ki4 | 0.5 | 0.5 | 3.78 |
| Kp5 | 1 | 1 | 17.46 |
| Ki5 | 0.2 | 0.2 | 17.15 |
| Kp6 | 1 | 1 | 4.61 |
| Ki6 | 1 | 1 | 3.82 |
| Kp7 | 1 | 1 | 2.12 |
| Ki7 | 1.2 | 1.2 | 0.21 |
| Index | Eigenvalues | ||
|---|---|---|---|
| Case I | Case II | Proposed method | |
| λ1 | −720.76 | −713.70 | −13945.12 |
| λ2 | −333.29 | −341.44 | −165.88 + j627.30 |
| λ3 | −13.98 + j80.97 | −7.67 + j78.26 | −25.21 + j202.28 |
| λ4 | −13.98 − j80.97 | −7.67 − j78.26 | −25.21 − j202.28 |
| λ5 | −2.36 + j80.59 | −7.01 + j6.53 | −15.01 |
| λ6 | −2.36 − j80.59 | −7.01 − j6.53 | −15.03 |
| λ7 | −80.56 | −80.32 | −379.52 |
| λ8 | −95.76 | −98.24 | −165.88 − j627.30 |
| λ9 | −261.31 + j357.16 | −261.31 + j357.16 | −1673.04 |
| λ10 | −261.31 − j357.16 | −261.31 − j357.16 | −480.39 |
| λ11 | −737.57 + j503.99 | −737.57 + j503.99 | −9524.57 |
| λ12 | −737.57 − j503.99 | −737.57 − j503.99 | −37.22 |
| λ13 | −176.62 | −176.62 | −264.98 |
4.2. Case II—Classical Method
| λ1 | λ2 | λ3,4 | λ5,6 | λ7 | λ8 | λ9,10 | λ11,12 | λ13 | |
|---|---|---|---|---|---|---|---|---|---|
| ωe | 0 | 0 | 0 | 0.51 | 0 | 0 | 0 | 0 | 0 |
| imd | 0 | 0 | 0 | 0 | 0 | 0 | 0.62 | 0 | 0 |
| imq | 0.01 | 1.38 | 0.01 | 0 | 0 | 0.39 | 0 | 0 | 0 |
| Vdc | 0.03 | 0.01 | 0.54 | 0 | 0.03 | 0 | 0 | 0 | 0 |
| igd | 1.14 | 0.02 | 0.05 | 0 | 0.08 | 0 | 0 | 0 | 0 |
| igq | 0 | 0 | 0 | 0 | 0 | 0 | 0 | 1.05 | 0.05 |
| φ1 | 0 | 0 | 0 | 0 | 0 | 0 | 0.62 | 0 | 0 |
| φ2 | 0 | 0 | 0.01 | 0.52 | 0 | 0 | 0 | 0 | 0 |
| φ3 | 0 | 0.4 | 0 | 0 | 0.01 | 1.41 | 0 | 0 | 0 |
| φ4 | 0.01 | 0.02 | 0.53 | 0 | 0.05 | 0.01 | 0 | 0 | 0 |
| φ5 | 0.13 | 0 | 0.03 | 0 | 1.17 | 0.02 | 0 | 0 | 0 |
| φ6 | 0 | 0 | 0 | 0 | 0 | 0 | 0 | 0.27 | 0.86 |
| φ7 | 0 | 0 | 0 | 0 | 0 | 0 | 0 | 0.82 | 0.09 |

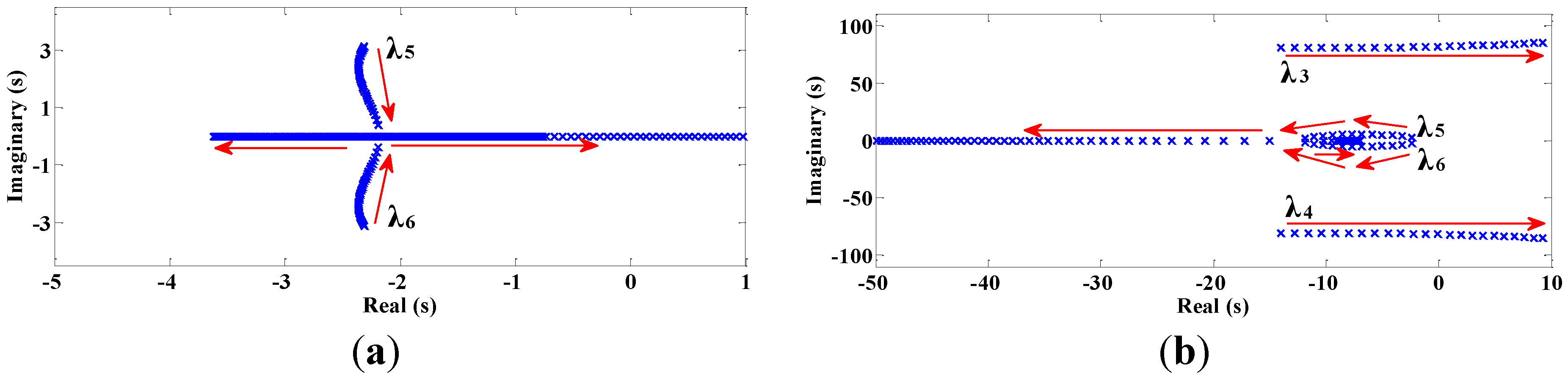
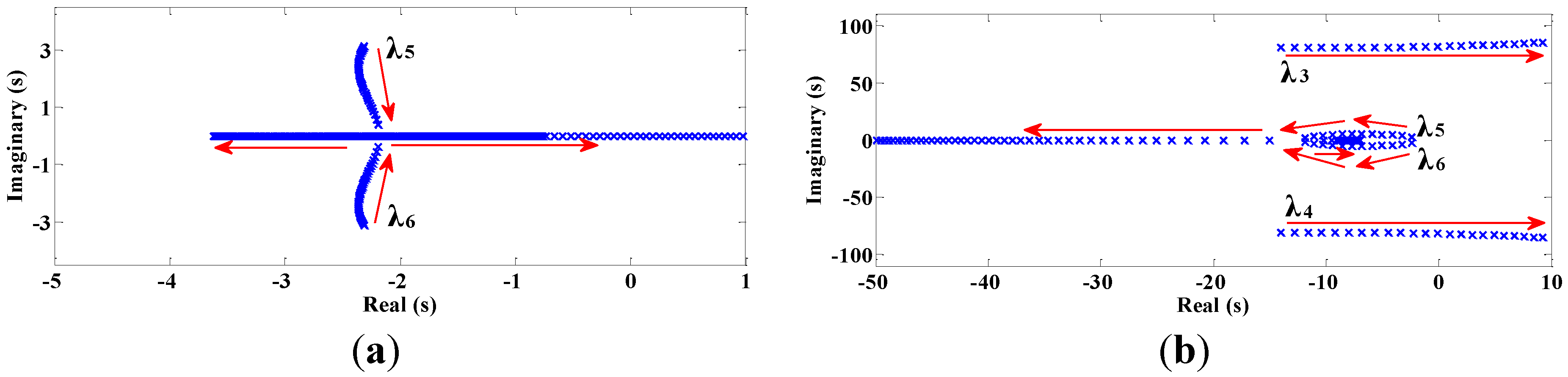
4.3. Case III—Proposed Method


| Index | Eigenvalues | ||
|---|---|---|---|
| vw = 3 m/s | vw = 9.9 m/s | vw = 10 m/s | |
| λ1 | −13944.43 | −13946.34 | −13888.08 |
| λ2 | −160.40 + j626.99 | −168.52 + j627.74 | −173.50 + j623.71 |
| λ3 | −39.60 + j208.09 | −18.75 + j197.66 | −42.21 + j205.74 |
| λ4 | −39.60 − j208.09 | −18.75 − j197.66 | −42.21 − j205.74 |
| λ5 | −5.68 + j0.002 | −18.45 | −18.65 + j0.006 |
| λ6 | −5.68 − j0.002 | −18.47 | −18.65 − j0.006 |
| λ7 | −379.47 | −379.55 | −380.57 |
| λ8 | −160.40 − j626.99 | −168.52 − j627.74 | −173.50 − j623.71 |
| λ9 | −1673.04 | −1673.04 | −1673.04 |
| λ10 | −480.39 | −480.39 | −480.39 |
| λ11 | −9524.57 | −9524.57 | −9524.57 |
| λ12 | −37.22 | −37.22 | −37.22 |
| λ13 | −264.98 | −264.98 | −264.98 |
5. Simulation Verification

6. Conclusions
Acknowledgments
Author Contributions
Appendix
A1. Derivation of Matrix A
A2. Parameters of the PMSG WT System
Conflicts of Interest
References
- Thresher, R.; Robinson, M.; Veers, P. To capture the wind. IEEE Power Energy Mag. 2007, 5, 34–46. [Google Scholar] [CrossRef]
- Goudarzi, N.; Zhu, W.D. A review on the development of wind turbine generators across the world. Int. J. Dynam. Control. 2013, 1, 192–202. [Google Scholar] [CrossRef]
- Global Wind Energy Council. Global Wind Energy Outlook 2012; Global Wind Energy Council: Brussels, Belgium, 2012. Available online: http://www.gwec.net/wp-content/uploads/2012/11/GWEO_2012_lowRes.pdf (accessed on 5 June 2013).
- Kim, Y.-S.; Chung, I.-Y.; Moon, S.-I. An analysis of variable-speed wind turbine power-control methods with fluctuating wind speed. Energies 2013, 6, 3323–3338. [Google Scholar] [CrossRef]
- Iglesias, R.L.; Arantegui, R.L.; Alonso, M.A. Power electronics evolution in wind turbines—A market-based analysis. Renew. Sustain. Energy Rev. 2011, 15, 4982–4993. [Google Scholar] [CrossRef]
- Benelghali, S.; Benbouzid, M.E.H.; Charpentier, J.F. Comparison of PMSG and DFIG for Marine Current Turbine Applications. In Electrical Machines (ICEM); IEEE: Rome, Italy, 2010; pp. 1–6. [Google Scholar]
- Knospe, C. PID control. IEEE Control Systems Mag. 2006, 26, 30–31. [Google Scholar] [CrossRef]
- Åström, K.J.; Panagopoulos, H.; Hägglund, T. Design of PI controllers based on non-convex optimization. Automatica 1998, 34, 585–601. [Google Scholar] [CrossRef]
- Wu, F.; Zhang, X.-P.; Godfrey, K.; Ju, P. Small signal stability analysis and optimal control of a wind turbine with doubly fed induction generator. IET Gener. Transm. Distrib. 2007, 1, 751–760. [Google Scholar] [CrossRef]
- Huang, H.; Mao, C.; Lu, J.; Wang, D. Small-signal modelling and analysis of wind turbine with direct driven permanent magnet synchronous generator connected to power grid. IET Renew. Power Gener. 2012, 6, 48–58. [Google Scholar] [CrossRef]
- Hasanien, H.M.; Muyeen, S.M. Design optimization of controller parameters used in variable speed wind energy conversion system by genetic algorithms. IEEE Trans. Sustain. Energy 2012, 2, 200–208. [Google Scholar] [CrossRef]
- Geng, H.; Xu, D. Stability analysis and improvements for variable-speed multipole permanent magnet synchronous generator-based wind energy conversion system. IEEE Trans. Sustain. Energy 2011, 2, 459–467. [Google Scholar] [CrossRef]
- Wu, F.; Zhang, X.-P.; Ju, P. Small signal stability analysis and control of the wind turbine with the direct-drive permanent magnet generator integrated to the grid. Electr. Power Syst. Res. 2009, 79, 1661–1667. [Google Scholar] [CrossRef]
- Mishra, Y.; Mishra, S.; Li, F.; Dong, Z.Y.; Bansal, R.C. Small-signal stability analysis of a DFIG-based wind power system under different modes of operation. IEEE Trans. Energy Convs. 2009, 24, 972–982. [Google Scholar] [CrossRef]
- Yang, L.; Yang, G.Y.; Xu, Z.; Dong, Z.Y.; Wong, K.P.; Ma, X. Optimal controller design of a doubly-fed induction generator wind turbine system for small signal stability enhancement. IET Gener. Transm. Distrib. 2010, 4, 579–597. [Google Scholar] [CrossRef]
- Valle, Y.; Venayagamoorthy, G.K.; Mohagheghi, S.; Hernandez, J.-C.; Harley, R.G. Particle swarm optimization: Basic concepts, variants and applications in power systems. IEEE Trans. Evol. Comput. 2008, 12, 171–195. [Google Scholar] [CrossRef]
- Ackermann, T. Wind Power in Power Systems; John Wiley & Sons: Hoboken, NJ, USA, 2005. [Google Scholar]
- Lanzafame, R.; Messina, M. Horizontal axis wind turbine working at maximum power coefficient continuously. Renew. Energy 2010, 35, 301–306. [Google Scholar] [CrossRef]
- Abdullah, M.A.; Yatim, A.H.M.; Tan, C.W.; Saidur, R. A review of maximum power point tracking algorithms for wind energy systems. Renew. Sustain. Energy Rev. 2012, 16, 3220–3227. [Google Scholar] [CrossRef]
- Yazdani, A; Iravani, R. Voltage-Sourced Converters in Power Systems; John Wiley & Sons: Hoboken, NJ, USA, 2010. [Google Scholar]
- Novotny, D.W.; Lipo, T.A. Vector Control and Dynamics of AC Drives; Oxford University Press: Oxford, UK, 1996. [Google Scholar]
- Leonhard, W. Control of Electrical Drives; Springer-Verlag: New York, NY, USA, 2001. [Google Scholar]
- Yazdani, A.; Iravani, R. A neutral-point clamped converter system for direct-drive variable-speed wind power unit. IEEE Trans. Energy Convs. 2006, 21, 596–607. [Google Scholar] [CrossRef]
- Nise, N.S. Control Systems Engineering; John Wiley & Sons: Hoboken, NJ, USA, 2008. [Google Scholar]
- Chung, I.-Y.; Liu, W.; Cartes, D.A.; Collins, E.G.; Moon, S.-I. Control methods of inverter-interfaced distributed generators in a microgrid system. IEEE Trans. Ind. Appl. 2010, 46, 1078–1088. [Google Scholar] [CrossRef]
- Eberhart, R.; Shi, Y.; Kennedy, J. Swarm Intelligence; Morgan Kaufmann: San Francisco, CA, USA, 2001. [Google Scholar]
- Ozcan, E.; Mohan, C. Particle swarm optimization: Surfing the waves. Proc. IEEE Congr. Evol. Comput. 1999, 3, 1939–1944. [Google Scholar]
- Verghese, G.C.; Perez-Arriaga, I.J.; Schweppe, F.C. Selective modal analysis with application to electric power systems, Part I: Heuristic introduction. IEEE Trans. Power App. Syst. 1982, PAS-101, 3117–3125. [Google Scholar]
- Kundur, P. Power System Stability and Control; McGraw-Hill: New York, NY, USA, 1994. [Google Scholar]
© 2015 by the authors; licensee MDPI, Basel, Switzerland. This article is an open access article distributed under the terms and conditions of the Creative Commons Attribution license (http://creativecommons.org/licenses/by/4.0/).
Share and Cite
Kim, Y.-S.; Chung, I.-Y.; Moon, S.-I. Tuning of the PI Controller Parameters of a PMSG Wind Turbine to Improve Control Performance under Various Wind Speeds. Energies 2015, 8, 1406-1425. https://doi.org/10.3390/en8021406
Kim Y-S, Chung I-Y, Moon S-I. Tuning of the PI Controller Parameters of a PMSG Wind Turbine to Improve Control Performance under Various Wind Speeds. Energies. 2015; 8(2):1406-1425. https://doi.org/10.3390/en8021406
Chicago/Turabian StyleKim, Yun-Su, Il-Yop Chung, and Seung-Il Moon. 2015. "Tuning of the PI Controller Parameters of a PMSG Wind Turbine to Improve Control Performance under Various Wind Speeds" Energies 8, no. 2: 1406-1425. https://doi.org/10.3390/en8021406
APA StyleKim, Y.-S., Chung, I.-Y., & Moon, S.-I. (2015). Tuning of the PI Controller Parameters of a PMSG Wind Turbine to Improve Control Performance under Various Wind Speeds. Energies, 8(2), 1406-1425. https://doi.org/10.3390/en8021406
