Next Article in Journal
Hybrid Intelligent Control Method to Improve the Frequency Support Capability of Wind Energy Conversion Systems
Next Article in Special Issue
Model Property Based Material Balance and Energy Conservation Analysis for Process Industry Energy Transfer Systems
Previous Article in Journal
Analysis and Optimization Design of a Solar Water Heating System Based on Life Cycle Cost Using a Genetic Algorithm
Previous Article in Special Issue
Optimal Rule-Based Power Management for Online, Real-Time Applications in HEVs with Multiple Sources and Objectives: A Review
 
 
Font Type:
Arial Georgia Verdana
Font Size:
Aa Aa Aa
Line Spacing:
Column Width:
Background:
Article

Re-Industrialisation and Low-Carbon Economy—Can They Go Together? Results from Stakeholder-Based Scenarios for Energy-Intensive Industries in the German State of North Rhine Westphalia

by
Stefan Lechtenböhmer
1,*,
Clemens Schneider
1,†,
María Yetano Roche
1,† and
Samuel Höller
2,†
1
Wuppertal Institute for Climate, Energy and Environment, Döppersberg 19, 42103 Wuppertal, Germany
2
Umweltbundesamt, Deutsche Emissionshandelsstelle (DEHSt), Bismarckplatz 1, 14193 Berlin, Germany
*
Author to whom correspondence should be addressed.
These authors contributed equally to this work.
Energies 2015, 8(10), 11404-11429; https://doi.org/10.3390/en81011404
Submission received: 21 August 2015 / Revised: 17 September 2015 / Accepted: 29 September 2015 / Published: 13 October 2015
(This article belongs to the Special Issue Applied Energy System Modeling 2015)

Abstract

:
The German federal state of North Rhine-Westphalia (NRW) is home to one of the most important industrial regions in Europe, and is the first German state to have adopted its own Climate Protection Law (CPL). This paper describes the long-term (up to 2050) mitigation scenarios for NRW’s main energy-intensive industrial sub-sectors which served to support the implementation of the CPL. It also describes the process of scenario development, as these scenarios were developed through stakeholder participation. The scenarios considered three different pathways (best-available technologies, break-through technologies, and CO2 capture and storage). All pathways had optimistic assumptions on the rate of industrial growth and availability of low-carbon electricity. We find that a policy of “re-industrialisation” for NRW based on the current industrial structures (assumed here to represent an average growth of NRWs industrial gross value added (GVA) of 1.6% per year until 2030 and 0.6% per year from 2030 to 2050), would pose a significant challenge for the achievement of overall energy demand and German greenhouse gas (GHG) emission targets, in particular as remaining efficiency potentials in NRW are limited. In the best-available technology (BAT) scenario CO2 emission reductions of only 16% are achieved, whereas the low carbon (LC) and the carbon capture and storage (CCS) scenario achieve 50% and 79% reduction respectively. Our results indicate the importance of successful development and implementation of a decarbonised electricity supply and breakthrough technologies in industry—such as electrification, hydrogen-based processes for steel, alternative cements or CCS—if significant growth is to be achieved in combination with climate mitigation. They, however, also show that technological solutions alone, together with unmitigated growth in consumption of material goods, could be insufficient to meet GHG reduction targets in industry.

1. Introduction

North Rhine-Westphalia (NRW), with 18 million inhabitants, is the most populous and densely populated state in Germany. It generates 22% of the German GDP and 4.6% of the EU-28’s GDP [1]. Despite structural changes in the last decades, there continues to be extensive hard coal and lignite mining, power production and a very large energy-intensive industry. Around a third of Germany’s primary energy production and of its consumption take place in NRW, and about 40% of the electricity is consumed there, while production is slightly higher, making the state a net electricity exporter [2]. NRW also emits about a third of German greenhouse gas (GHG) emissions (305 MtCO2eq in 2012) or about 7% of the EU’s GHG emissions, and its total emissions are equivalent to those of Spain [3,4]. The state is therefore key for meeting national and European climate targets.
Direct emissions from the industry sector in NRW were 53.5 MtCO2eq in 2012, or 17.5% of total emissions in the state [3], making industry the largest emitter out of the state’s energy end-use sectors. When indirect emissions from use of electricity and fuels are considered, emissions from the sector amounted to 38.3% of the state’s energy-related CO2 emissions in 2011 [2] (for comparison, global direct and indirect emissions from industry accounted for just over 30% of global GHG emissions in 2010 [5]). Among industry the five main energy-intensive sub-sectors (iron and steel, non-ferrous metals, cement, chemicals, pulp and paper) are responsible for almost 40% of industrial GHG emissions. Furthermore, typically one process in each of these sub-sectors dominates emissions (see Table 1).
In 2012 the NRW state parliament issued the Climate Protection Law (CPL) which stipulates that GHG emissions should be reduced by at least 25% by 2020 and at least 80% by 2050 compared to 1990 levels [6]. These targets are in line with the European Commission’s objective of cutting emissions by at least 80% by 2050, and with the more recent binding target to reduce emissions by at least 40% below the 1990 level by 2030 [7,8]. The CPL also mandated the development of a Climate Protection Plan (CPP), which was legally adopted in 2015 and which breaks down the state-wide reduction targets into sectors, timeframes and regions [9]. The comprehensive participation of all stakeholder groups was central to the design of the CPP and was stipulated within the CPL. Stakeholders in the main GHG emitting sectors (power, industry, transport, buildings, agriculture) were involved through a transparent process in the identification of sectoral potentials of climate protection via scenario development. Based on these sectoral scenarios, a general set of scenarios was built, and policies and measures for the achievement of the targets were proposed. The stakeholder consultations were supported by quantitative simulation in an energy system model in an iterative manner, as shown in Figure 1.
Table 1. Share of selected production processes in total CO2 emissions of industry sub-sectors (Note: excludes industrial Combined Heat and Power (CHP); Emissions of electricity and heat demand calculated according to German mix). Source: own calculations based on NRW’s detailed industry reporting to the European Trading Scheme (non-public data).
Table 1. Share of selected production processes in total CO2 emissions of industry sub-sectors (Note: excludes industrial Combined Heat and Power (CHP); Emissions of electricity and heat demand calculated according to German mix). Source: own calculations based on NRW’s detailed industry reporting to the European Trading Scheme (non-public data).
Industry Sub-SectorProduction ProcessShare of Production Process CO2 Emissions in Sub-Sector Emissions (2010)Share of Production Process CO2 Emissions in Total Industry Emissions (2010)
Iron and steelPrimary steel production79%20%
Non-ferrous metalsAluminium production 135%2%
Non-metallic minerals (excl. glass industry)Cement production 251%6%
Chemicals and pharmaceuticalsEthylene production21%6%
Paper and printingPaper production84%3%
Total industry--38%
Notes: 1 includes ingot casting; 2 includes cement grinding.
Figure 1. Representation of the process leading up to the NRW Climate Protection Plan, including iterative cycle of stakeholder discussions and quantitative scenario modelling.
Figure 1. Representation of the process leading up to the NRW Climate Protection Plan, including iterative cycle of stakeholder discussions and quantitative scenario modelling.
In the context of the Lisbon Agenda, the European Union, national and regional governments have emphasized the aim to combat ongoing de-industrialisation. The European Commission has highlighted the need to bring European industry back to its former share of 20% of GDP by 2020, from less than 16% now [10]. Ways of going about re-industralisation include investments, regulation changes, the set-up of public-private initiatives, and innovation efforts as, for example, the digitalization of industrial production in “smart factories” (initiative ‘Industrie 4.0’ in Germany [11]). The state of NRW managed its decline in traditional industry (especially in the Ruhrgebiet) since the 1980’s with investments in environmental technology industries, among other strategies. This paper sets out to explore the feasibility of achieving the CPL targets in tandem with a re-emergence of a high labour-and material-cost region such as NRW in global industry.
This article first describes the process of stakeholder-based scenario development that was followed in NRW, and why we believe this work addresses a knowledge gap in the field. Then, the basic assumptions agreed during consultations are presented in detail: on the one hand, the industrial growth pathway and, on the other hand, three different technological scenarios, two of which reflect the assumptions agreed with stakeholders whereas a third one sketches a CCS-strategy for industry and was not discussed in the consultations. Finally, the authors discuss scenario results for the five main energy-intensive processes. The article closes with recommendations for industry and policy makers.

2. Stakeholder-Based Scenario Development

As mandated by the CPL, the CPP is based on a broad-scale dialogue and stakeholder participation process. Two phases of stakeholder consultations were carried out for the main GHG emitting sectors. This article refers only to the first phase of consultations for the industry sector. A second phase of validation took place in 2014.
The aim of the consultations was to formulate the industry-sector’s emission reduction scenarios and long term strategies for the CPP, and to validate the core assumptions. For the industry sector, the first phase of stakeholder consultations took place from September 2012 until November 2013 [12]. Over this period, six stakeholder workshops lasting one day each were held. The aim of each workshop was to discuss and refine the inputs prepared by Wuppertal Institute, in charge of running the Wuppertal Institute System Model for Energy and Emissions (WISEE) NRW energy system model (see Section 3). In the first workshop the model framework and starting assumptions were presented, followed by a second workshop in which the available technology options for emission reductions were discussed in subgroups for each industrial branch. The third workshop helped to define technical parameters (lifetimes, energy and emission intensities, stocks) of the technology options and to discuss the details of the models with the stakeholders. In it, a draft scenario with low-carbon assumptions was discussed. As a result, intensive detailed discussions on assumptions and parameters were conducted with industry representatives of the energy-intensive branches. In a fourth workshop a draft best-available technology (BAT) scenario and a low carbon (LC) scenario featuring more ambitious assumptions—such as the development of a hydrogen infrastructure for NRW-were presented, both incorporating stakeholder-validated assumptions. In the fifth workshop the results of the scenarios as well as necessary policies and measures were discussed. A final plenary served to approve the final scenarios as well as the assumptions.
The participants to each workshop included about 40 representatives of 16 stakeholder groups (see Table 2). These were invited based on a prior stakeholder mapping carried out by Wuppertal Institute for NRW’s Ministry of Environment. The target was to have a broad representation of the main industries as well as other relevant stakeholders from all societal groups.
The majority of the stakeholder representatives came from firms in the energy-intensive industrial sub-sectors, together with representatives from industrial associations, trade unions, chambers of commerce, environmental and consumer organisations, associations of municipalities, academia and others. The groups were moderated by experts from a consulting firm. Researchers supported the refining of stakeholder proposals for input into the model as well as in feeding model outputs back into the discussion.
Table 2. List of affiliations of stakeholder representatives who participated in the “Industry” working group of the CPL consultation.
Table 2. List of affiliations of stakeholder representatives who participated in the “Industry” working group of the CPL consultation.
Industrial Firms and Industry AssociationsNon-Industry Representatives
Steel: German Steel Institut (Stahlinstitut VDEh), ThyssenKrupp Steel EuropeEnvironment Non-Governmental Organisations (NGOs): WWF (World Wide Fund For Nature) Germany, Naturschutzbund Deutschland, NRW Foundation for Evironment and Nature protection (Bund für Umwelt und Naturschutz NRW)
Aluminium: TRIMET Aluminium SE, Rheinwerk Neuss (Norsk Hydro ASA)
Chemicals: NRW Chemical Industry Association (Verband der Chemischen Industrie e.V. NRW), Bayer, Evonik, LANXESSGovernmental Agencies: Effizienz-Agentur NRW, EnergieAgentur.NRW, Energie Impuls OWL e.V.
Cement: German Cement Association (Verein Deutscher Zementwerke e.V., VdZ), European Cement Research Academy GmbHAcademia: Universität Duisburg-Essen Lehrstuhl für Energiewirtschaft, Wuppertal Institut für Klima, Umwelt, Energie GmbH (also providing the scientific support and scenario modelling)
Paper: Gebr. Grünewald GmbH & Co. KG, Stora Enso Germany GmbH
Trade unions: DGB NRW (NRW branch of largest confederation of German trade unions)
Machinery: Verband deutscher Maschinen und Anlagenbau VDMA Nordrhein-Westfalen
Municipalities: Städte- und Gemeindebund Nordrhein-Westfalen, Kreis Unna
Electrotechnical: Miele & Cie. KG, ZVEI Zentralverband Elektrotechnik und Elektronikindustrie e.V.
State Government: Ministries for Innovation and Research, Environment, Economy, State Chancellery
Energy: Bundesverband der Energie und Wasserwirtschaft e.V. (bdew), Verband kommunaler Unternehmen e.V. (VKU)
Other: Institut für Kirche und Gesellschaft der Evangelischen Kirche von Westfalen (Institute for Church and Society of the Protestant Church of Westfalia)
Entrepreneur association: Unternehmer NRW, Landesvereinigung der Unternehmerverbände NRW e.V., Cleantech NRW (Industry network)
Stakeholder consultations and, more specifically, stakeholder participation and engagement, have increasingly been used in last decades with the aim of improving the effectiveness and transparency of public policy as well as the acceptance of and engagement in long term strategies. In the realm of energy and climate change mitigation, stakeholder-based scenario building has emerged recently as a method for inputting relevant data and for improving interpretations of model outputs, as well as for translating the results of the analysis into strategies [13,14]. From a theoretical point of view, collaboration between research and stakeholders is seen as a prerequisite for trans-disciplinary research that enables societal transitions [15]. There is a broad set of methods for stakeholder engagement and no consensus on what degree of stakeholder involvement constitutes real engagement and empowerment. In the case of NRW, intensive stakeholder involvement was stipulated in the CPL, albeit with no specific requirements. Another recent example of stakeholder participation for climate change mitigation policy in the industry sector is that of the UK’s Industrial Decarbonisation Roadmap [16].
The outputs from the energy system simulation model described in Section 3 were fed into the workshop discussions. The model used is well suited for such a participatory process because the detailed technical representation of processes in it allowed the validation of basic assumptions by industry stakeholders. Moreover it made the scenarios transparent and understandable to the stakeholders. The scenarios can be defined as “bottom-up” as they do not follow a target oriented back-casting approach but rather explore the potential effects of policies that the stakeholders proposed during consultations [17].

3. WISEE NRW Energy System Simulation Model

Following Herbst et al. [18] the WISEE NRW can be classified as a bottom-up simulation model, with a very detailed representation of energy system technologies and a low degree of endogenization, i.e., many parameters can be changed by bringing in stakeholders’ knowledge. Its focus is on unveiling existing energy efficiency and GHG mitigation potentials rather than finding the optimal pathway to achieve a given target [19].
Four energy demand sectors are represented in WISEE NRW. Figure 2 gives an overview on the model architecture with a focus on the industry sector. The model does not represent economic variables, except for the power plant sector. NRW’s energy demand sectors—including industry—are covered in detail, whereas the rest of Germany is represented on a more aggregate level, with the exception of power plants, which are modelled in high resolution for the whole of Germany.
In the “Industry” module, more than 20 energy-intensive industrial production processes are described, with all relevant input and output flows, together with various future technology options. Based on these, WISEE calculates energy demand by multiplication of an activity value (e.g., steel production or gross value added (GVA) of an industry) with an energy intensity value. Energy-related emissions are calculated by multiplication of energy demand by the emission factor of the respective energy carrier. Process-related emissions are calculated on the basis of activity rates (e.g., anode use in the aluminium industry or lime use in steel production) and technology-specific emission factors.
The time series of energy intensities for production processes are determined for every sector-specific technology (e.g., electric arc furnace, blast oxygen furnace, steam cracking) and for cross-cutting technologies (e.g., motors, lighting) in the respective modules. To do this, vintage stock models for all major plants in steel, aluminium, cement and ethylene production were used (for more details, see [20]). Regarding steel, this study focuses on primary steel production which is dominant in NRW. Due to a high specialisation of NRW steelmaking on specifically defined steels, switching to secondary steel was not considered as a general mitigation option, as the quality of the products is typically not comparable. The vintage stock models account for all major production stocks individually with their specific age, capacity and efficiency using data from NRW’s industry reporting to the European Trading Scheme (ETS) and further information from emission reporting by the companies under the pollution prevention directive. These data are confidential but were made available by the state authority for the modelling of scenarios. For the paper mills, such detailed data was not available, therefore a simplified model was used.
A technology matrix provided base assumptions for the specifications of new investments or replacements (lifetime, efficiency, energy carriers) and their availability dates (see Table 3). Assumptions about lifetimes were derived from Fraunhofer-ISI et al. [21] and stakeholder inputs for all three scenarios. Stakeholders actively helped to construct the assumptions on best available technologies (BAT), i.e., technologically proven and economically viable options. Low Carbon (LC) technologies were chosen by the authors based on literature, and were validated by the stakeholders though at times considered too ambitious. The CCS scenario was also derived from literature. Assumptions were discussed with stakeholders, who did not approve it during the consultation process.
Figure 2. Overview on the WISEE NRW model system (industry focus). Source: [20] Abbreviations: BF—Blast Furnace. BOF—Basic Oxygen Furnace. BAT—Best available technology. LC—Low Carbon Technologies. Notes: 1 other than aluminium; 2 selected base chemicals like ethylene, ammonia, etc.
Figure 2. Overview on the WISEE NRW model system (industry focus). Source: [20] Abbreviations: BF—Blast Furnace. BOF—Basic Oxygen Furnace. BAT—Best available technology. LC—Low Carbon Technologies. Notes: 1 other than aluminium; 2 selected base chemicals like ethylene, ammonia, etc.
Electricity supply was simulated in the detailed power plant dispatch models WISEE LOAD and WISEE CHP, which use electricity and CHP demand from all sectors of the German energy system. Using an hourly breakdown of electricity demand these models simulate the changing electricity supply for Germany until 2050. The decarbonization assumptions were discussed with and approved by stakeholders from sectors other than industry, including stakeholders from the power sector [22]. Table 4 provides the resulting emission factors for the LC scenario, with high shares of renewable electricity generation, reaching 77% in Germany in 2050 [22]). The scenario was chosen as it was considered that it was the one best suited for the industrial decarbonisation strategies analysed in this paper. For the sake of transparency we used the same emission factors for all three scenarios presented here to calculate indirect emissions of industrial electricity and CHP heat consumption.
Table 3. Assumptions in the technology matrix approved by stakeholders, and map of scenarios. Sources: compilation of Wuppertal Institute based on stakeholder discussions and literature cited. Shading denotes technologies that were assumed in each scenario. Paper and pulp not included as no stock model was available.
Table 3. Assumptions in the technology matrix approved by stakeholders, and map of scenarios. Sources: compilation of Wuppertal Institute based on stakeholder discussions and literature cited. Shading denotes technologies that were assumed in each scenario. Paper and pulp not included as no stock model was available.
SectorProcessScenario *Technical lifetime (years)ProductElectricity consumption (GJ/t product)Net fuel consumption (GJ/t product) **Available byRemarksSource
BALCCC
Primary steelBAT coke oven 40t coke0.140.1todayCurrent state of the artIISI [23], AllTech plant
BAT sinter plant 50t sinter0.11.3todayElectricity demand in the BAT case is higher today in a BAT plant than in 1998 due to environmental issues like dust and NOxIISI [ 23], AllTech plant; electricity demand according to Steel Institute VDEh data
BAT blast furnace (BF) 20 + 20t pig iron0.312.5todayThyssenKrupp Steel Europe’s blast furnace can be operated near to physical minimum coal demand of the process. It exceeds the AllTech plant in IISI’s 1998 studyOwn calculations based on data on existing blast furnace in NRW: TKSE’s Blast furnace 8 (Duisburg-Hamborn)
Direct reduced iron (DRI) plant (H2) 20t DRI1.312.12030Availability is restricted to 2030 for reasons of H2 availability in NRW. Other regions with better access to renewable electricity could adopt earlier. Stakeholders decided to restrict lifetime to 20 years due to lack of experience in continuous operation. Natural-gas fuelled DRI plants have a lifetime of 40 yearsEnergy performance data derived from pilot plants [24]; Data on electricity demand were not found in the literature, so data from a pilot plant in Trinidad were used [25]
BAT basic oxygen furnace (BOF) 30t steel0.5-0.8todayCarbon content of pig iron is reduced in the blast furnace, while the off-gas contains energy-rich CO. The given (negative) value is a net value, balancing gas use and gas output of the blast furnaceIISI [23], AllTech plant
BAT electric arc furnace (EAF) 50t steel1.70.4todayFuel input data by VDEh assumes 0.2 GJ/t natural gas and 0.2 GJ/t coal and differs from other sources (0.7 GJ/t). Smelting DRI in EAF results in higher power demand compared to scrap (22% for DRI smelting is assumed). BAT for scrap smelting is 1.4 GJ/tIISI [23], AllTech plant; Steel Institute VDEh data; 22% additional demand value from [26]
Smelt reduction+CCS 40t steel1.617.22025-Birat [27]
AluminiumAnode production 40anode0.42.8todayAnodes mainly consist of carbon which is produced from petrol coke. Process-related CO2 emissions occur only in the use of the anodes in electrolysis. A part of NRW’s anode demand is imported[26]
BAT electrolysis 40aluminium45-todayIndustry stakeholders stated that 12.5 MWh/ton aluminium can be achieved in today’s conventional Hall-Heroult process in a new greenfield plant. This performance exceeds today’s benchmark plants (13 kWh/t). Pilot plants planned in 2013 shall reach this level of performanceDerived from stakeholder information
Advanced electrolysis 40aluminium36-2030Inert anodes are still a field of research. If available they could further reduce energy demand in electrolysis-Own calculation based on [20])
Secondary aluminium 40aluminium0.22.5today [26]
EthyleneBAT steam cracker with gas turbine 60ethylene-18today [28]
Advanced steam cracker/ catalytic cracker 60ethylene-14.7/14.42020/2030Future advanced steam crackers will be operated with improved heat integration and heat transfer, as well as lower coking. Catalytic crackers will be operated at lower temperatures and pressures in the pyrolysis section of the process[29]
Advanced steam cracker/catalytic cracker & CCS 60ethylene0.515.32030See above. CO2 emissions from fuel use in the cracker can be separated from the off-gas[29]
CementBAT cement kiln (6 cyclone stages) 40clinker0.23.5todayVdZ stated that maximum performance of 3.0 to 3.4 GJ fuel/t clinker can only be achieved if using steam coal. Fuel surrogates with lower carbon content do not achieve such levels. The level of 3.5 GJ/t assumes a high share of fuel substitutes (e.g biomass)German Cement Association (VdZ/ecra, 2013, personal communication)
Cement kiln (6 cyclone stages) and CCS (post combustion) 40clinker0.95.12030Öko-Institut’s (2012) study provides information on additional energy demand of carbon capture in an amine scrubbing process connected with cement kilnsGerman Cement Association (VdZ/ecra, 2013, personal communication) [30]
BAT cement grinding 20cement0.1 todayAn optimization of grinding is assumed here as well as new German regulations which aim at a reduction of local emissions. This increases electricity consumption by 5 kWh/t compared to today’s state of the artGerman Cement Association (VdZ/ecra, 2013, personal communication)
LC cement 20cement0.21.72020 (pilot); large scale: 2035The patent for the Celitement process developed by Karlsruhe Institute of Technology (KIT) has been purchased by the German cement producer Schwenk. Due to the long process of certification of completely new cements the market entrance of large scale LC cement plants will take at least 10 years. Today it is not known if LC cements will have the specifications (e.g. long term solidity) required by the marketOn fuel use and CO2 emissions of the Celitement process; German Cement Association (VdZ/ecra, 2013, personal communication) [31]
LC cement grinding 20cement0.3 2020 (pilot); large scale: 2035The specific grinding process needed to give the LC cement its characteristics differs from conventional grinding and is still under research. Energy consumption is probably higher than in a conventional mill. The value of 0.3 GJ/t is thus an expert estimateGerman Cement Association (VdZ/ecra, 2013, personal communication)
Notes: * Shading denotes technologies that were assumed in each scenario. ** Net fuel consumption: Gross fuel consumption minus steam co-generation.
Table 4. Emission factors for electricity and heat. Source: own calculations based on [32,33].
Table 4. Emission factors for electricity and heat. Source: own calculations based on [32,33].
Emission Factors (kg CO2/kWh)201020302050
Electricity0.530.310.12
CHP heat0.220.250.25

4. Pathways for Sector and Production Growth

The underlying estimates of economic development of the state were originally based on the assumptions used in the federal government’s energy plan [34] which provided a rather moderate outlook on overall economic growth and assumed a further decrease of the share of industry and particularly in production of energy-intensive goods. Stakeholders from industry, however, suggested to use the re-industrialisation policy announced by the EC in 2014 as basis for the projection of industrial production, i.e., interpreting it simply as an increased growth of existing industries without major structural changes. As a result, an outlook until 2030 by the German chemical industry [35] was used as an alternative projection, featuring a substantially more optimistic outlook on future production of German industry. After downscaling these national forecasts to the state-level, three possible growth pathways for industry development in NRW were estimated, leading to different rates of growth of gross value added (GVA, a measure of the value of goods and services produced in an area or sector of an economy, which refers here to industrial output minus intermediate consumption) in 2050 (see Figure 3). All three pathways assume that NRW’s energy-intensive industry sector will continue to grow despite the on-going structural change. The resulting rates of growth of industrial value added (2010–2050) are:
  • 0.6% per annum until 2050, based on [34];
  • 1.6% per annum until 2030 [35] and 0.6% per annum from 2030 to 2050 [34];
  • 1.6% per annum, based on [35] until 2030, and extrapolated until 2050.
Figure 3. Three variations of potential growth pathways for industrial development in NRW. Statistical values based on Destatis (Germany) and IT.NRW databases; projections based on [34] and [35].
Figure 3. Three variations of potential growth pathways for industrial development in NRW. Statistical values based on Destatis (Germany) and IT.NRW databases; projections based on [34] and [35].
Although scenarios for the three growth trajectories were approved in the stakeholder consultations, this paper focuses on the scenarios developed for the intermediate—but still optimistic—growth path which expects an average growth of NRWs industrial GVA of 1.6%/a until 2030 and 0.6%/a from 2030 to 2050. However, some discussion on the effects of alternative paths is made in Section 7. The choice of the intermediate growth path is based on the fact that it received the strongest consensus among stakeholders. The intermediate growth path would mean that the share of industry in the state’s GDP would increase from 18.8% in 2010 to 21.7% in 2030 and remain stable thereafter. This path is significantly above what industry in NRW has achieved seen since 1990 and is also slightly higher than the 1.1% per year increase in industrial value added as expected in the most recent 2013 Reference Scenario for the EU as a whole [36].
In order to feed the detailed data into the WISEE NRW model, the average sub-sector GVA growth was translated into changes in production volumes of energy intensive products (Table 5). The values for this breakdown were estimated in consultation with the corresponding industry stakeholders on the basis of the literature (in Prognos [35], growth rates are given for the steel, aluminium, paper and chemicals sub-sectors.). The largest relative increase is foreseen for aluminium as stakeholders assumed it would recover to a full use of existing production capacities by 2020. For primary steel production stakeholders assumed to be able to secure slightly higher market shares than forecasted for Western European production [37]. Other products taken into account here were expected to stagnate or even decline.
Table 5. Breakdown of production volume development from 2010 to 2050 for the intermediate industrial GVA growth path (Index 2010 = 1). Source: own calculation based on [35] and validated by industry stakeholders (except for ethylene).
Table 5. Breakdown of production volume development from 2010 to 2050 for the intermediate industrial GVA growth path (Index 2010 = 1). Source: own calculation based on [35] and validated by industry stakeholders (except for ethylene).
Production Volumes20302050Change in %/a (2010–2050)
Steel1.161.330.71%
Aluminium2.192.422.23%
Ethylene1.100.71−0.85%
Cement1.01.00%
Paper1.01.00%

5. Technology Scenarios

Three technological scenarios were discussed intensively during the consultation process, especially with representatives from energy intensive industries. During the first workshops, the scenario that relied on carbon capture and storage (CCS) technologies was not considered feasible by the stakeholders and thus was excluded from later workshops. Nevertheless, this technology was discussed and barriers inhibiting this technology were identified. In this paper, we analyse this CCS path despite its rejection by stakeholders, with the purpose of providing a broader range for comparison. Hence, the following three technology scenarios have been modelled:
The best available technology (BAT) scenario is based on the most efficient technologies currently in the market, as found in the literature and through expert stakeholder knowledge (see Table 3 for details). This pathway is not only technology-related as it also assumes improved process management, or “operational excellence”. The scenario assumes new facilities and equipment are purchased with BAT under usual re-investment cycles, both for sector-specific processes as well as cross-cutting technologies. Additionally, the share of industrial CHP for heat provision increases slightly, and so does the electricity provision from CHP as a result. In particular sectors (most prominently cement and paper production as well as CHP) a fuel shift from hard coal and lignite to natural gas or biomass is assumed. This shift does not offer, however, a great potential in other sectors. Technological breakthroughs or shifts in process structures are not considered, as it is assumed that no breakthrough technology will come into play until 2050. During the consultation process, this scenario and its underlying assumptions was accepted by all stakeholders, but was particularly favoured by industrial firm and industrial association representatives.
The low carbon technology (LC) scenario assumes more ambitious technology development than the BAT and its assumptions were backed by the stakeholder discussions. Companies are assumed to accept a longer ‘return of investment’ period (currently often less than one year for non-strategic technology) and would be able to increase the upfront investments in order to tap the existing potentials in efficiency increase. With regards to technology, the LC scenario assumes that improvements in energy efficiency beyond BAT become economic for cross-cutting technologies. Furthermore, a slight shift to electricity-based technologies partly increases efficiency and reduces emissions, thanks to a major decarbonisation of electricity supply (see Table 4). The major impact for mitigation is however linked to implementation of new breakthrough and low-carbon technologies for energy-intensive processes. The backbone of such a technological shift is the assumed development of a hydrogen infrastructure for NRW, which would be linked to excess renewable electricity. The electrolysers needed and respective hydrogen storage capacities would be situated in NRW close to the points of consumption. Electricity would mainly come via high-voltage DC lines—already under construction—from North Germany, which in this scenario would supply large amounts of excess electricity. In our electricity supply scenario we assumed high shares of renewable electricity in the years after 2030, reaching 77% in Germany in 2050 [22]. Hydrogen would be used in the iron and steel industry as well as for various processes in the chemical industry. These technologies are currently not available commercially, but exist in demonstration or pilot phase. During the consultations, these assumptions were approved by all stakeholders, but mostly favoured by non-industry representatives. Industrial firm stakeholders in general considered these assumptions very ambitious.
The carbon capture and storage (CCS) scenario keeps the same assumptions as for the LC path and adds the implementation of CO2 capture and storage (CCS) in large industrial facilities. In the case of crude steel production, however, hydrogen use in a DRI process was given up in favour of smelt reduction (with coal). The assumptions therefore include CCS in iron and steel making as well as in ethylene production (steam crackers). Additionally, currently dispersed cement and lime production is assumed to become concentrated at one or two facilities so that CCS could be added to these emissions sources. In the stakeholder discussions, the high costs and the lack of available storage facilities in the region, as well as the perceived lack of acceptance were major criticisms for this pathway. In contrast, most global international forecasts envisage that CCS will be the most important new technology option for reducing direct emissions in the sector (e.g., Fischedick et al. [5]). The IEA [38,39] estimates that more than 30% of industrial emission reductions in its 2DS scenario would be brought about by CCS, and that without CCS, emissions in 2050 would not be reduced. Worldwide there are only three large-scale industrial CCS facility currently in operation, two of which are for fertilizer production [40]. CCS in gas processing and parts of chemical industry (ammonia production) are seen as possible early opportunities as the CO2 in flue gas is already highly concentrated, resulting in lower costs and higher process energy efficiency [41]. Emission-intensive industrial sectors like cement or iron and steel have less pure CO2 concentrations in flue gas, although these are nonetheless higher than from power plants [42]. One of the attractions of CCS is that in principle it does not require significant changes to production processes, where other mitigation options might require a considerable change or retro-fitting [43]. CCS in industry—as in the power sector—faces a set of barriers which are subject to much research.
The scenarios are explained in more detail in Table 3 above. The differences between the scenarios are linked to differing process technologies and their specific efficiencies. It is important to note that this analysis is based on technological potential and application and does not consider economic aspects. All three scenarios assume BAT for cross-cutting technologies such as electric motors, lighting or burning systems.

6. Results

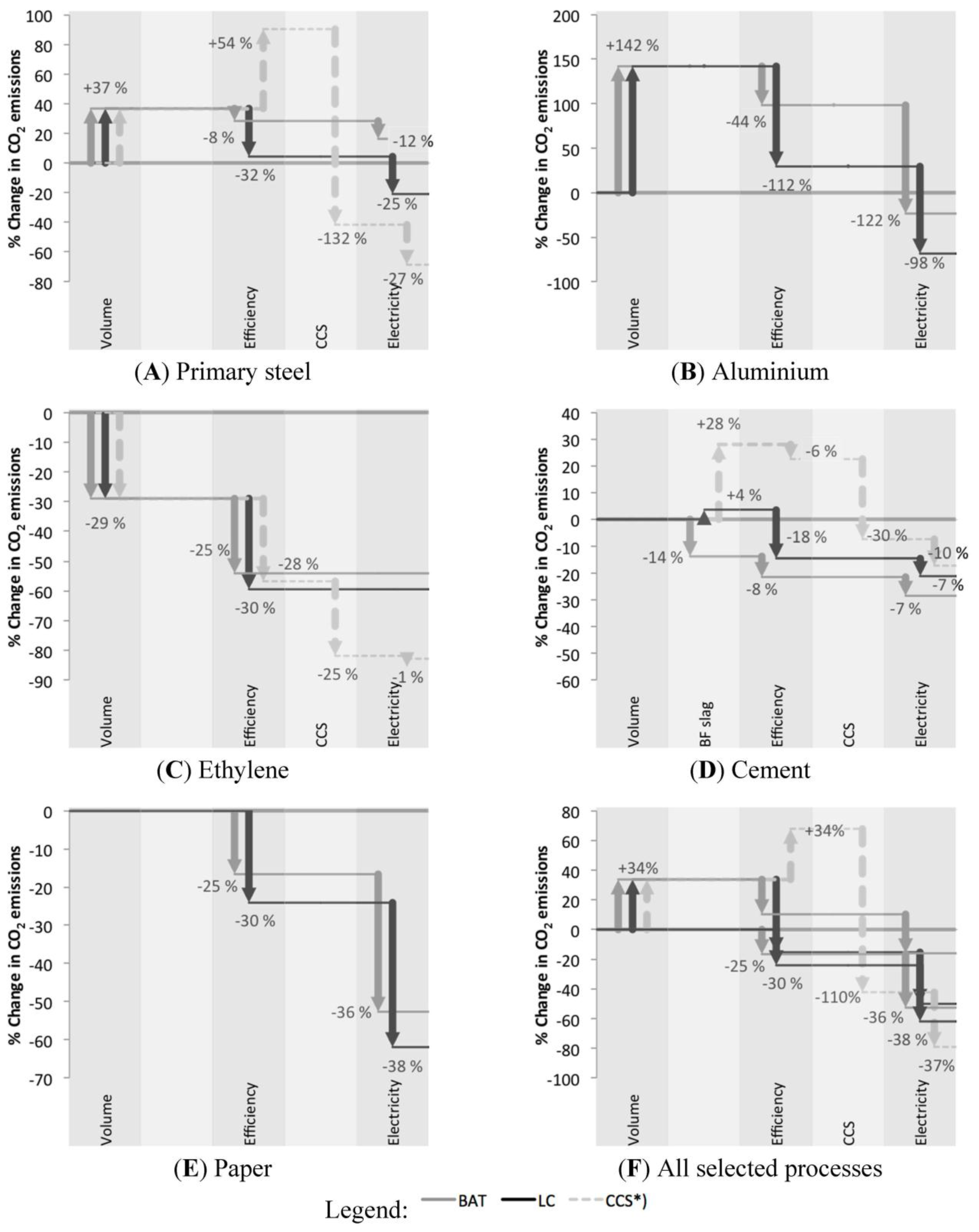
This section provides modelling results for the selected production processes, i.e., primary steel, aluminium, ethylene, cement and paper production, as well as for NRW’s industry as a whole. Figure 4 shows results with regard to changes in final energy demand while Figure 5 shows results for CO2 emissions. The changes shown are broken down into several single effects:
  • Volume effect: calculated by up-scaling the energy demand and emissions values for 2010 to the production volume expected for 2050.
  • Efficiency and fuel switch effect: calculated by applying to 2050 production levels the difference in specific energy consumption (GJ/t of product) and in specific emissions (tCO2/GJ) between 2010 and 2050, respectively.
  • Captured CO2 effect: reflecting the volume of captured and stored CO2.
  • Mitigation in the energy sector: calculated by rating the demand of electricity and CHP heat in 2050 with the change in energy mix between 2010 and 2050 (i.e., differences in emission factors of electricity and heat generation in CHP district heating; see Table 4).

6.1. Primary Steel Production

Figure 4 shows that the volume effect (+37% final energy demand compared to 2010) is much larger than the efficiency effect in the BAT scenario as the saving potential of further energy efficiency measures is comparatively low in NRW’s primary steel production, with an existing production stock which is close to the state of the art. Total final energy demand increases by 28% whereas CO2 emissions rise by only 16% as fuel switch (to a limited extent) and the restructuring of energy supply (reduced indirect emissions) contribute to CO2 mitigation, in addition to energy efficiency.
In the LC scenario, direct reduction (DRI) with hydrogen and smelting in an EAF replaces the BF/BOF route to some extent, but it is less energy efficient regarding final energy demand (+38%). However, on the emissions side, efficiency losses are overcompensated by the switch from coal to hydrogen as reducing agent. It is important to note that, for simplicity, hydrogen’s indirect emissions are assumed here to be zero, i.e., hydrogen is assumed to be produced fully from excess renewable electricity. The supply model did however consider the effect of flexible hydrogen production with electrolysers on the electricity supply market. Thus the actual marginal effect of hydrogen demand on power plant dispatch is simulated, but corresponding CO2 emissions are allocated to final electricity demand and CHP heat only and reflected in the values given in Table 4. In the CCS scenario energy demand also rises due to the additional energy demand of carbon capture. Nevertheless the CO2 reductions are the highest out of the three scenarios. If BF slag production is taken into account as a CO2 credit (see discussion on cement sector below for more details), emissions allocated to steel industry in the base year are lower. The same is true for 2050, but the slag volumes are different: in the BAT scenario there is more BF slag than in the base year, in the other scenarios there is less slag. The slag credit is the lowest in the CCS scenario where BF slag is completely omitted because of a total restructuring of the production stock (BF route is completely replaced by smelt reduction in 2050).
Figure 4. Percentage change in energy demand in 2050 in the three scenarios compared to 2010 levels in selected industrial production processes (panels A to E) and overall for NRW (F). Notes: CCS options were not considered in the aluminium and paper sectors. In these sectors, the assumptions of the LC scenario were applied to the CCS scenario.
Figure 4. Percentage change in energy demand in 2050 in the three scenarios compared to 2010 levels in selected industrial production processes (panels A to E) and overall for NRW (F). Notes: CCS options were not considered in the aluminium and paper sectors. In these sectors, the assumptions of the LC scenario were applied to the CCS scenario.
Figure 5. Percentage change in CO2 emissions in 2050 in the three scenarios compared to 2010 levels in selected industrial production processes (panels A to E) and overall for NRW (panel F). *) CCS options were not considered in the aluminium or paper sectors. In these sectors, the assumptions of the LC scenario were applied to the CCS scenario. Legend: Volume—Volume effect; Efficiency—effect of energy efficiency and fuel switch; Electricity—effect of mitigation in the energy sector; BF slag—change in cement industry due to changes in steel production.
Figure 5. Percentage change in CO2 emissions in 2050 in the three scenarios compared to 2010 levels in selected industrial production processes (panels A to E) and overall for NRW (panel F). *) CCS options were not considered in the aluminium or paper sectors. In these sectors, the assumptions of the LC scenario were applied to the CCS scenario. Legend: Volume—Volume effect; Efficiency—effect of energy efficiency and fuel switch; Electricity—effect of mitigation in the energy sector; BF slag—change in cement industry due to changes in steel production.

6.2. Aluminium Production

Aluminium production in NRW in the base year 2010 was characterized by a 50% share of primary aluminium production, although there was some idle capacity due to the economic crisis. It is assumed in all scenarios that primary aluminium production facilities will operate at full capacity again in the near future and that the existing plants will be replaced to BAT by 2030, with the same annual output. Secondary aluminium production increases in the 2050 horizon, in line with the growth of the world market. In total, aluminium production increases by 142% compared to the base year 2010 (2.2% per year).
Final energy demand reduction (50% in the BAT scenario) is achieved by the shift to secondary aluminium and the replacement of old facilities. In the LC scenario, the stock of primary aluminium production plants is assumed to become even more efficient, via break-through technology (see Table 3), resulting in a cut of 84% of final energy compared to the production structure in 2010. In total, final energy consumption of aluminium production in 2050 is 92% higher in the BAT scenario than in 2010, and 58% compared to 2010 in the LC case. If the 2050 electricity consumption level were to be provided by the 2010 energy mix in electricity generation, CO2 emissions would rise by 98% (BAT) and 29% (LC) respectively. However, the high share of electricity demand together with the restructuring process in the energy sector result in a total CO2 emission reduction of 23% (BAT) and 68% respectively (LC). CCS was not considered for aluminium.

6.3. Ethylene Production

Ethylene is one of the major intermediate products between crude oil refining and chemical industry outputs. Following the expected reduction in oil-based fuel demand in transport and households, production is expected to shrink by 29% (0.9% per year) in our scenarios. Efficiency delivers an additional 25% cut in energy demand in the BAT scenario and 29% in the LC scenario respectively. CCS increases energy demand compared to the LC scenario by 4%, but brings down emission levels by 83% compared to 2010. Reductions in the other scenarios are 58% (LC) and 54% (BAT).
Other global analyses find that upgrading all steam cracking plants to best-practice could reduce energy intensity by 23%, with a further 12% saving possible with BAT [5,44]. In the chemical sector as a whole, the IEA [39] estimates that application of best practice could save 24% of current energy use, while Broeren et al. [45] find that 25% of emission reductions are possible. The chemical industry is very heterogeneous, with a large number of inputs, processes and products. This poses considerable challenges in terms of data availability and analysis. Although ethylene production is the largest consumer of energy in the sector, other important intermediate products (e.g., ammonia for fertilizer production, chlorine) were not considered here.

6.4. Cement Production

The most prominent cost-effective option in cement manufacturing is to use clinker substitutes to reduce the clinker-to-cement-ratio [5]. As shown in Figure 5, CO2 emissions reductions in the cement sector are strongly dependent on the availability of by-products of steel production (blast furnace slag). Nevertheless, there are both efficiency and fuel switch potentials in the clinker making process, and these are interlinked. In our scenarios, clinker production is characterized by a high share of renewable fuel substitutes as input into furnaces, which limits the final energy efficiency potentials compared to the input of hard coal which is the benchmark regarding final energy efficiency. Energy demand reduction provided by efficiency measures is therefore only 6% in the BAT scenario. In the LC case—with a 14% share of so-called LC cements (see Table 3)—a 15% cut is achieved. Overall energy demand is reduced by 16% (BAT) and 13% (LC).
In the CCS scenario—where blast furnace slag is no longer available—clinker production (with constant cement production) is 11% higher than in 2010. CCS requires additional fuel input and electricity, so total final energy input increases by 31% compared to 2010. Total CO2 emission reductions are the highest in the BAT scenario and the lowest in the CCS scenario. From this perspective, assumptions for the steel industry dominate the results in the cement industry. Whereas in the BAT scenario additional slag is a contribution to emission reductions of 14% in the cement industry (ceteris paribus), lower slag volumes in the LC and CCS scenario result in a negative contribution to emission reductions (they increase by 4% and 28%, respectively). To show the actual achievements in the cement industry, we made a second analysis in which the steel industry’s impacts on cement production were segregated: this showed that in the BAT scenario emission reductions compared to 2010 are 15%, whereas in the LC and CCS scenario they are 25% and 45%, respectively.
For comparison, the IEA [39] estimates that the overall technical potential for current energy use reduction is 18%. The use of alternative fuels (e.g., waste, biomass, scrap tires and waste oils) is an important area of study, and it is estimated 12% to 15% of the power consumed in a cement plant can be generated through waste heat recovery [39]. Fitting cement kilns for CCS is technically feasible and is recently piloted at a Norcem cement plant in Norway [46]. It is estimated that it could increase the costs of cement considerably [43,47,48]. Other innovations apart from the LC-cement considered in this study are awaiting commercialization [49].

6.5. Paper Production

Finally, paper production shows an energy demand cut of 19% in the BAT and 31% in the LC scenario. In the LC scenario, paper production is lower than in the BAT case (due to the production of lighter paper). This can be considered a material efficiency effect as the level of final service is assumed to be the same for both types of paper.
CO2 emission reduction is considerably higher than in other sectors (BAT: 53%; LC: 62%) because of the high share of electricity demand in paper production and the substantial reduction of emissions related to electricity consumption. If our assumptions for industrial CHP in paper had been higher, emission reductions might have been lower as—with very little domestic pulp production—biomass potentials are low in NRW’s paper industry.
Overall, the IEA [39] estimates that the technical potential for energy use reduction in paper and pulp production is 26%. CCS for the European pulp and paper industry has been studied by Jönsson and Berntsson [50], showing that there is a challenging geographic miss-match between the location of the emission clusters and the location of probable CCS infrastructure.

6.6. Aggregated Effects from Selected Processes

The overall results regarding the five core energy intensive production processes reveal that:
  • Total volume effects lead to increasing energy use and CO2 emissions. It is important to note that the assumptions about future physical production of energy intensive goods are relatively optimistic, reflecting a re-industrialisation policy (see Section 4). Aggregated final energy demand will increase by 18% and CO2 emissions by as much as 34% (due to an implicit switch towards coal, given high increases of steel production).
  • Total final energy demand increases by 4% compared to 2010 in the BAT scenario, as the increase in production is only partly compensated by the improved energy efficiency. In the LC scenario, final energy demand increases even more (6% by 2050) as energy efficiency gains in aluminium, ethylene, cement and paper production are counterbalanced by less energy efficient steel making (which is however based to a considerable degree—40%—on renewable hydrogen). The CCS scenario achieves the lowest overall improvements in energy efficiency due to the high energy demand of CCS: final energy demand increases by 10%.
  • With regards to overall CO2 emission reductions, in the BAT scenario reductions of only 16% are achieved. Both the LC and the CCS scenario achieve higher CO2 reductions: the LC scenario’s 50% reduction is mainly due to an increased use of renewable energies via hydrogen and electricity, and the CCS scenario achieves a 79% reduction while relying on fossil fuels and on the long term storage of captured CO2.
Total industry CO2 reductions in NRW (including all processes and cross-cutting technologies) in the BAT scenario are 32% in 2050 compared to 2010, 41% in the LC scenario and 55% in the CCS scenario. The additional reductions achieved in the LC and CCS scenario compared to BAT can be attributed almost completely to the selected five products we described here in depth, which again emphasises the importance of these energy intensive productions for GHG mitigation in industry in NRW.

7. Discussion

NRW’s 2012 Climate Protection Law mandated the development of a Climate Protection Plan which will break down the state-wide reduction targets into sectors, timeframes and regions. The comprehensive participation of all stakeholder groups is central to the strategy. The stakeholder consultation for the industry sector gathered representatives from the five main GHG emitting branches together with a wide range of societal stakeholder groups in a process of scenario building which was supported by iterative rounds of energy system modelling.
A number of lessons have been learnt from this dialogue (the authors intend to publish further details on the methods used in and lessons learnt from the stakeholder participation process in the near future, including for the sectors other than industry which were studied as part of the CPP (power sector, transport, residential, agriculture and land use, end-consumers). First, the type of bottom-up modelling approach applied in this study appeared to be suited for the participation of stakeholder representatives as it provided clear technical and economical data to be discussed. However, stakeholders in the industry sector needed to have specific technical expertise on individual industry branches or processes, which partly excluded experts from other branches or from other stakeholder groups from the discussion about specific assumptions. On the other hand, the approach tended, in our view, to underestimate long-term efficiency potentials as it is based on today’s knowledge about technologies and it limits learning effects to the assumed low-carbon technologies. Moreover, the balance of the stakeholder group proved important: industry representatives of companies and industrial associations often had a knowledge advantage and participated more consistently and strongly than civil society representatives. During the process, it was found that representatives of companies and industrial associations in general favoured conservative assessments of efficiency potentials and preferred the BAT perspective. Moreover their assumptions on the performance of the own industry branch were relatively optimistic as compared to that of others’. In contrast, non-industry representatives stressed the potential for further efficiency and GHG mitigation gains that could be realised by new technologies which are not economically viable today. The existence of different views led to the creation of multiple scenarios on industry growth and technology development.
These results are not directly comparable with global analyses, due to the nature of the model used and the fact that the assumptions relate to NRW where BAT is already at present widely implemented. Nevertheless it is useful to put the results in the context of the global discussion on the GHG reduction potential in the sector as well as of the wider portfolio of options.
The IEA [38,39] estimates that the implementation of BATs globally could by 2050 reduce industrial overall energy consumption by 20% from current levels. On the other hand, industry-specific studies suggest that broad application of BAT could reduce energy intensity by about 25%, while innovation could deliver further reductions of 20% [5]. These results are in line with our scenario results displaying a range between 34% (CCS) to 36% (BAT and LC) in energy intensity improvement.
Global studies suggest that low cost options and negative cost options exist, but to achieve near-zero emission intensity levels in the industry sector would need innovative options like CCS, which are associated with higher costs [5]. Integrated models analysing all end use sectors and their interdependencies [51] point towards possible reductions in industrial final energy compared to baseline of 22% to 38% and find that the potential for switching to low carbon fuels, including electricity, heat, hydrogen and bioenergy ranges from 44% to 57% of final energy. Most of these scenarios are aggressive, not only requiring immediate deployment of BAT across a large number of production processes, but also quick commercialization of new innovations. In particular, CCS is considered the most important new technology option for reducing direct emissions in the sector. For NRW we identified no further potential for reductions in final energy by using LC technologies instead of BAT. Due to the high relevance of the steel industry in NRW, potentials for fuel switching are limited. In our scenarios therefore the share of low carbon energy carriers (including CHP heat) ranges from 40% (BAT and CCS) to 55% (LC), which is still comparable to the range in global scenarios displayed above.
It is increasingly acknowledged that measures beyond energy and carbon efficiency technologies are needed if GHG emission reductions in the industry sector are to meet the needed levels [5,52,53,54]. Reducing yield losses in materials production, reusing old material, designing for extended product life and light-weight design, de-materialization are some of the options available, and can be implemented through process innovations and new approaches to design. These strategies require not only technical but also policy changes that can impact manufacturer and consumer behaviour by raising awareness and changing preferences. Their potential is currently difficult to quantify, and there is a lack of experience in the implementation of these strategies. This holds particularly true for approaches on regional levels such as the one we have studied. Industry stakeholders do not deny these trends but do not see that they will lead to production decreases in their companies, often claiming that these trends will impact other regions and not affect domestic production. This was the reason why such strategies were not assumed. System approaches are needed to advance understanding of how these measures can contribute to emissions reductions in the industry sector and how they impact other sectors.
It is interesting to compare results of the industry study with that of other energy end-use sectors which were investigated in parallel in similar processes of modelling and stakeholder participation. As mentioned above, final energy demand of industry goes down by only 0.1% per annum in industry in the BAT scenario (and slightly increases in the LC and CCS scenarios) whereas in the household sector—with a strong refurbishment strategy—2.9% final energy savings are achieved per annum. The service sector achieves 1.0% and the transport sector 1.2%.
Moreover a further insight is provided by examining alternative growth pathways. Although this paper focused only on an intermediate—yet optimistic- scenario for industry GVA growth, we also examined two other growth pathways under the two technology scenarios (BAT and LC), shedding additional light on the differences between industry and other sectors. In a scenario combining lower industry growth (0.6% per year) with LC technologies, final energy demand decreases by 0.5% per year; in the LC scenario with a stronger GVA growth rate of 1.6% there is an annual increase in final energy demand of 0.3%. In sum, in all of our scenarios, final energy demand in industry decreases less than in all the other end-use sectors, or indeed grows.
If the different modelling exercises performed for NRW were comparable across sectors, this would lead to an overall picture in which industry’s share in NRW’s emissions increases significantly in the future, reaching a share of more than 30% in the LC scenario compared to 18% in 2010 (without emissions from industrial CHP). This could have several consequences: one is that other sectors would have to compensate for the slow emission reductions in industry. As a result, the CPL’s target of reducing NRW's GHG emissions by 80% vs. 1990 would only be achieved if electricity generation were to be almost fully converted to renewable energy sources by 2050. Another consequence could be the that NRW industry would need to increase its share under the European Emission Trading System from 11% in 2010 to 30% to 60% by 2050, entailing significant costs.
We acknowledge a number of caveats in this study: in general, the model is limited by its nature, as the analysis is based on technological potential and it does not consider economic aspects. The precondition for implementing these scenarios are reliable economic conditions as well as range of other factors such as political will and public acceptance. Particularly in energy intensive industries competing on global markets this would also mean implementing high CO2 prices at an almost global scale, or introducing equivalent measures, e.g., border tax adjustments [55]. Moreover, the assumptions for low-carbon technologies may not be accurate as they were not explored as well as conventional processes. Processes of further structural change or technology learning, particularly on the energy demand side, are only partly covered by the assumptions of the model.

8. Conclusions

This study arose from the political will to design the climate protection plan for the German state of North Rhine-Westphalia in a highly participatory manner, and with the desire of improving on important shortcomings of conventional scenario analyses. Our stakeholder-based analysis of future developments of industrial energy use and GHG emissions generated some important results with regards also to national and European energy and climate policy. The results for NRW show that a policy of “re-industrialisation”, even at a moderate growth pace, would put significant pressure on energy demand and GHG emissions from industry.
The analysis of BAT and further technology options shows that emissions arising from future growth of industrial output cannot be fully compensated by more efficient technology, partly because very energy-intensive production processes are already near BAT. In order to significantly reduce emissions from energy-intensive sectors, the development and implementation of new breakthrough technologies such as electrification, hydrogen-based processes for steel, alternative cements or CCS becomes necessary. These technologies, however, may use more energy than conventional BAT, a fact that is most pronounced for CCS. Ambitious low-carbon scenarios for energy-intensive industry therefore would need to rely on a de-carbonised electricity supply.
In sum, decarbonising basic industry in NRW poses a considerable challenge and past trends in energy use decline (due to efficiency improvements and structural change) will not return easily as remaining efficiency potentials in NRW are limited. This is not necessarily the case in other world regions, where current standards often are lower and substantial potential to further technology-based improvements still exist. Energy intensive industries in a high labour- and material-cost region such as NRW are facing significant competition on the global markets. So far, important strategies to remain competitive have been the high efficiency of production and the development of high-quality and specialised products. Actively promoting low-carbon innovation could be a logical continuation of this strategy, delivering high efficiency in a future carbon-constrained world as well as allowing NRW to further specialise in low-carbon products.

Acknowledgments

We wish to thank: the Ministerium für Klima, Umwelt, Landwirtschaft, Natur und Verbraucherschutz des Landes Nordrhein-Westfalen for funding and leading the stakeholder process for the climate protection plan as well as the model development and scenario building; the stakeholders who participated at the various meetings and helped us to validate the assumptions and model; our Wuppertal Institute colleagues Daniel Vallentin for supporting the industry sector team, Arjuna Nebel who modelled power plant dispatch and Manfred Fischedick for supervision of modelling and scenario building. Michael Ritthoff and Max Weigel gave valuable insights and helped in the validation of our model. The current text is based on the conference paper: Schneider, C., Lechtenböhmer, S., Höller, S. (2014): Re-industrialisation and low carbon economy—Can they go together? Results from transdisciplinary scenarios for energy intensive industries; ECEEE 2014 summer study 2014, pp. 515–528.

Author Contributions

Stefan Lechtenböhmer led the process of stakeholder involvement and the respective working group of the Climate Protection Plan (CPP). He provided input into scenario analysis as well as analysis and discussion of technologies and policies and measures and contributed to the text. Clemens Schneider led the scenario modelling, carried out the technical discussions with stakeholders and provided the data analysis on existing industrial structures, energy use, technology stock and German greenhouse gas (GHG) emissions. María Yetano Roche analysed and described the process of the CPP and wrote the bulk of the paper. Samuel Höller provided the in-depth analysis of Business-as-Usual as well as Low-Carbon technologies and carbon capture and storage (CCS).

Conflicts of Interest

The authors declare no conflict of interest.

References

  1. Ministerium für Wirtschaft, Energie, Industrie, Mittelstand und Handwerk des Landes Nordrhein-Westfalen. Industriepolitik 2014. Available online: http://www.mweimh.nrw.de/industrie/industriepolitik/index.php (accessed on 14 November 2014). (In German)
  2. Landesbetrieb Information und Technik Nordrhein-Westfalen. Energiebilanz und CO2-Bilanz in Nordrhein-Westfalen 2011; Landesbetrieb Information und Technik Nordrhein-Westfalen: Düsseldorf, Germany, 2014. (In German) [Google Scholar]
  3. Landesamt für Natur, Umwelt und Verbraucherschutz des Landes Nordrhein-Westfalen. Treibhausgas-Emissionsinventar Nordrhein-Westfalen 2012; Landesamt für Natur, Umwelt und Verbraucherschutz: Recklinghausen, Germany, 2014. (In German) [Google Scholar]
  4. Deutsche Emissionshandelsstelle im Umweltbundesamt. Kohlendioxidemissionen der Emissionshandelspflichtigen Stationären Anlagen in Deutschland im Jahr 2013 (VET-Bericht 2013); Deutsche Emissionshandelsstelle (DEHSt) im Umweltbundesamt: Berlin, Germany, 2014. (In German) [Google Scholar]
  5. Fischedick, M.; Roy, A.; Abdel-Aziz, A.; Acquaye, J.M.; Allwood, J.-P.; Ceron, Y.; Geng, H.; Kheshgi, A.; Lanza, D.; Perczyk, L.; et al. Industry. In Climate Change 2014: Mitigation of Climate Change. Contribution of Working Group III to the Fifth Assessment Report of the Intergovernmental Panel on Climate Change; Edenhofer, O., Pichs-Madruga, R., Sokona, Y., Farahani, E., Kadner, S., Seyboth, K., Adler, A., Baum, I., Brunner, S., Eickemeier, P., et al., Eds.; Cambridge University Press: Cambridge, UK; New York, NY, USA, 2014. [Google Scholar]
  6. Landtag Nordrhein-Westfalen. Gesetz zur Förderung des Klimaschutzes in Nordrhein-Westfalen; Gesetz- und Verordnungsblatt (GV. NRW.) Ausgabe 2013 Nr. 4 vom 6.2.2013 Seite 29 bis 36; Ministerium für Inneres und Kommunales Nordrhein-Westfalen: Düsseldorf, Germany, 2013. [Google Scholar]
  7. European Commission. A Roadmap for Moving to a Competitive Low Carbon Economy in 2050; COM/2011/0112; European Commission: Brussels, Belgium, 2011. [Google Scholar]
  8. European Council. 2030 Framework for Climate and Energy Policies; EUCO 169/14; European Council: Brussels, Belgium, 2014. [Google Scholar]
  9. Ministerium für Klimaschutz, Umwelt, Landwirtschaft, Natur- und Verbraucherschutz des Landes Nordrhein-Westfalen. Der Klimaschutzplan. NRW-Klimaschutzplan Und Klimaschutzgesetz Ministerium Für Umwelt und Naturschutz, Landwirtschaft und Verbraucherschutz des Landes Nordrhein-Westfalen: Düsseldrof, Germany, 2014. Available online: http://www.klimaschutz.nrw.de/klimaschutz-in-nrw/klimaschutzplan/ (accessed on 7 November 2014).
  10. European Commission. For a European Industrial Renaissance; COM/2014/014 Final; European Commission: Brussels, Belgium, 2014. [Google Scholar]
  11. Bundesministerium für Bildung und Forschung. Plattform Industrie 4.0 2015. Available online: http://www.hightech-strategie.de/de/Industrie-4-0-59.php (accessed on 24 February 2015).
  12. Ministerium für Klimaschutz, Umwelt, Landwirtschaft, Natur- und Verbraucherschutz des Landes Nordrhein-Westfalen. AG 2—Produzierendes Gewerbe & Industrie. NRW-Klimaschutzplan und Klimaschutzgesetz Ministerium Für Umwelt und Naturschutz, Landwirtschaft und Verbraucherschutz des Landes Nordrhein-Westfalen, 2014. Available online: http://www.klimaschutz.nrw.de/dokumente/ags-klimaschutz/ (accessed on 7 November 2014). (In German)
  13. Mathy, S.; Fink, M.; Bibas, R. Rethinking the role of scenarios: Participatory scripting of low-carbon scenarios for France. Energy Policy 2015, 77, 176–190. [Google Scholar] [CrossRef]
  14. Schmid, E.; Knopf, B. Ambitious mitigation scenarios for Germany: A participatory approach. Energy Policy 2012, 51, 662–672. [Google Scholar] [CrossRef]
  15. Brandt, P.; Ernst, A.; Gralla, F.; Luederitz, C.; Lang, D.J.; Newig, J.; Reinert, F.; Abson, D.J.; von Wehrden, H. A review of transdisciplinary research in sustainability science. Ecol. Econ. 2013, 92, 1–15. [Google Scholar] [CrossRef]
  16. WSP, Parsons Brinckerhoff, DNV GL. Industrial Decarbonisation and Energy Efficiency Roadmaps to 2050; Report prepared for Department of Energy & Climate Change and Department for Business, Innovation & Skills: London, UK, 2015. [Google Scholar]
  17. Nielsen, S.K.; Karlsson, K. Energy scenarios: A review of methods, uses and suggestions for improvement. Int. J. Global Energy Issues 2007, 27. [Google Scholar] [CrossRef]
  18. Herbst, A.; Toro, F.A.; Reitze, F.; Jochem, E. Introduction to Energy Systems Modelling. Swiss J. Econ. Stat. 2012, 148, 111–135. [Google Scholar]
  19. Hourcade, J.C.; Jaccard, M.; Bataille, C.; Ghersi, F. Hybrid Modeling: New Answers to Old Challenges. Energy J. 2006, 2, 1–12. [Google Scholar]
  20. Schneider, C.; Lechtenböhmer, S.; Höller, S. Re-industrialisation and low carbon economy—Can they go together? Results from transdisciplinary scenarios for energy intensive industries. In Proceedings of the eceee 2014 Industrial Summer Study proceedings, Stockholm, Sweden, 1–4 June 2014; pp. 515–528.
  21. Fraunhofer ISI; IREES; Hassan, A. Möglichkeiten, Potenziale, Hemmnisse und Instrumente zur Senkung des Energieverbrauchs und der CO2-Emissionen von industriellen Branchentechnologien durch Prozessoptimierung und Einführung neuer Verfahrenstechniken; Fraunhofer Institut für System- und Innovationsforschung (Fraunhofer ISI), IREES GmbH, TU Berlin: Berlin, Germany, 2011. (In German) [Google Scholar]
  22. Zeiss, C.; Fischedick, M.; Espert, V. Zusammenfassung der Szenarioberechnungen des Beteiligungsprozesses zum Klimaschutzplan NRW (aktualisierte Fassung); Wuppertal Institut im Auftrag des Ministeriums für Klimaschutz, Umwelt, Landwirtschaft, Natur- und Verbraucherschutz des Landes Nordrhein-Westfalen: Düsseldorf & Wuppertal, Germany, 2014. (In German) [Google Scholar]
  23. International Iron and Steel Institute (IISI). Energy Use in the Steel Industry; IISI: Brussels, Belgium, 1998. [Google Scholar]
  24. Sohn, H.Y. Suspension Hydrogen Reduction of Iron Ore Concentrate; Final Project Report AISI/DOE Technology Roadmap Program for the Steel Industry, TRP 9953; Department of Metallurgical Engineering, University of Utah: Salt Lake City, UT, USA, 2008. [Google Scholar]
  25. Nuber, D.; Eichberger, H.; Rollinger, B. Circored fine ore direct reduction. Millen. Steel 2006, 2006, 37–40. [Google Scholar]
  26. Worrell, E.; Price, L.; Neelis, M.; Galitsky, C.; Zhou, N. World Best Practice Energy Intensity Values for Selected Industrial Sectors; Lawrence Berkeley National Laboratory: Berkeley, CA, USA, 2008. [Google Scholar]
  27. Birat, J.-P. Update on the ULCOS program. In Proceedings of Workshop How Will Employment and Labor Markets Develop in the Context of a Transition towards a Low-Carbon Economy? Brussels, Belgium, 1 March 2011.
  28. Ren, T.; Patel, M.; Blok, K. Olefins from conventional and heavy feedstocks: Energy use in steam cracking and alternative processes. Energy 2006, 31, 425–451. [Google Scholar] [CrossRef]
  29. Cefic–The European Chemical Industry Council, Ecofys. European Chemistry for Growth: Unlocking A Competitive, Low Carbon and Energy Efficient Future; Cefic–The European Chemical Industry Council: Brussels, Belgium, 2013. [Google Scholar]
  30. Öko-Institut e.V. Potenziale und Chancen der Technologie zur CO2-Abtrennung und–Ablagerung (CCS) für industrielle Prozessemissionen; Short study on behalf of WWF Germany; World Wide Fund for Nature: Berlin, Germany, 2012. (In German) [Google Scholar]
  31. Stemmermann, P.; Schwelke, U.; Garbev, K.; Beuchle, G.; Möller, H. Celitement—A susainable prospect for the cement industry. Cement Int. 2010, 8, 52–66. [Google Scholar]
  32. Arbeitsgemeinschaft Energiebilanzen. Energieverbrauch in Deutschland im Jahr 2011; Arbeitsgemeinschaft Energiebilanzen: Berlin, Germany, 2012. [Google Scholar]
  33. Statistisches Bundesamt. Stromerzeugungsanlagen der Betriebe im Verarbeitenden Gewerbe sowie im Bergbau und in der Gewinnung von Steinen und Erden; Statistisches Bundesamt: Wiesbaden, Germany, 2012. [Google Scholar]
  34. Prognos AG, Energiewirtschaftliches Institut an der Universität zu Köln, Gesellschaft für Wirtschaftliche Strukturforschung mbH. Energieszenarien für ein Energiekonzept der Bundesregierung; Für das Bundesministerium für Wirtschaft und Technologie; Prognos AG, Energiewirtschaftliches Institut an der Universität zu Köln, Gesellschaft für Wirtschaftliche Strukturforschung mbH: Osnabrück, Germany, 2010. [Google Scholar]
  35. Prognos AG. Die deutsche chemische Industrie 2030; Verband der Chemischen Industrie e. V.: Frankfurt, Germany, 2013. [Google Scholar]
  36. Capros, P.; De Vita, A.; Tasios, N.; Papadopoulos, D.; Siskos, P.; Apostolaki, E.; Zampara, M.; Paroussos, L.; Fragiadakis, K.; Kouvaritakis, N.; et al. EU Energy, Transport and GHG Emissions—Trends to 2050, Reference Scenario 2013; Publications Office of the European Union: Luxembourg, Luxembourg, 2013. [Google Scholar]
  37. Wörtler, M.; Schuler, F.; Voigt, N.; Schmidt, T.; Dahlmann, P.; Lüngen, H.B.; Ghenda, J.-T. Steel’s Contribution to a Low Carbon Europe 2050. Technical and Economical Analysis of The Sector’s CO2 Abatement Potential; Boston Consulting Group, Steel Institute VDEh: Boston, MA, USA; Düsseldorf, Germany, 2013. [Google Scholar]
  38. International Energy Agency. Energy Technology Perspectives 2012: Pathways to a Clean Energy System; International Energy Agency (IEA): Paris, France, 2012. [Google Scholar]
  39. International Energy Agency. Energy Technology Perspectives 2014: Harnessing Electricity’s Potential; Organisation for Economic Co-Operation and Development: Paris, France, 2014. [Google Scholar]
  40. Global Carbon Capture and Storage Institute. The Global Status of CCS: 2014; Global Carbon Capture and Storage Institute: Docklands, Australia, 2014. [Google Scholar]
  41. Kuramochi, T.; Ramírez, A.; Turkenburg, W.; Faaij, A. Comparative assessment of CO2 capture technologies for carbon-intensive industrial processes. Prog. Energy Combust. Sci. 2012, 38, 87–112. [Google Scholar] [CrossRef]
  42. Cheng, H.-H.; Shen, J.-F.; Tan, C.-S. CO2 capture from hot stove gas in steel making process. Int. J. Greenh. Gas Control 2010, 4, 525–531. [Google Scholar] [CrossRef]
  43. Croezen, H.; Korteland, M. Technological Developments in Europe: A Long-Term View of CO2 Efficient Manufacturing in the European Region; CE Delft: Delft, The Netherlands, 2010. [Google Scholar]
  44. Saygin, D.; Patel, M.K.; Worrell, E.; Tam, C.; Gielen, D.J. Potential of best practice technology to improve energy efficiency in the global chemical and petrochemical sector. Energy 2011, 36, 5779–5790. [Google Scholar] [CrossRef]
  45. Broeren, M.L.M.; Saygin, D.; Patel, M.K. Forecasting global developments in the basic chemical industry for environmental policy analysis. Energy Policy 2014, 64, 273–287. [Google Scholar] [CrossRef]
  46. IEA Environmental Projects Ltd (IEAGHG). Deployment of CCS in the Cement Industry; IEA Environmental Projects: Cheltenham, UK, 2013. [Google Scholar]
  47. European Cement Research Academy. ECRA CCS Project—Report on Phase III; European Cement Research Academy: Düsseldorf, Germany, 2012. [Google Scholar]
  48. Naranjo, M.; Brownlow, D.T.; Garza, A. CO2 capture and sequestration in the cement industry. Energy Procedia 2011, 4, 2716–2723. [Google Scholar] [CrossRef]
  49. Hasanbeigi, A.; Price, L.; Lin, E. Emerging energy-efficiency and CO2 emission-reduction technologies for cement and concrete production: A technical review. Renew. Sustain. Energy Rev. 2012, 16, 6220–6238. [Google Scholar] [CrossRef]
  50. Jönsson, J.; Berntsson, T. Analysing the potential for implementation of CCS within the European pulp and paper industry. Energy 2012, 44, 641–648. [Google Scholar] [CrossRef]
  51. Clarke, L.; Jiang, K.; Akimoto, K.; Babiker, M.; Blanford, G.; Fisher-Vanden, K. Assessing Transformation Pathways. Climate Change 2014: Mitigation of Climate Change. Contribution of Working Group III to the Fifth Assessment Report of the Intergovernmental Panel on Climate Change; Edenhofer, O., Pichs-Madruga, Y., Sokona, E., Farahani, S., Kadner, K., Seyboth, A., Adler, I., Baum, S., Brunner, P., Eickemeier, B., et al., Eds.; Cambridge University Press: Cambridge, UK; New York, NY, USA, 2014. [Google Scholar]
  52. Allwood, J.M.; Ashby, M.F.; Gutowski, T.G.; Worrell, E. Material efficiency: Providing material services with less material production. Philos. Trans. A 2013. [Google Scholar] [CrossRef] [PubMed]
  53. Gutowski, T.G.; Sahni, S.; Allwood, J.M.; Ashby, M.F.; Worrell, E. The energy required to produce materials: Constraints on energy-intensity improvements, parameters of demand. Philos. Trans. A 2013. [Google Scholar] [CrossRef] [PubMed]
  54. Milford, R.L.; Pauliuk, S.; Allwood, J.M.; Müller, D.B. The roles of energy and material efficiency in meeting steel industry CO2. Targets Environ. Sci. Technol. 2013, 47, 3455–3462. [Google Scholar] [CrossRef] [PubMed]
  55. Ahman, M.; Nilsson, L.J. Decarbonising industry in the EU—Climate, trade and industrial policy. In Decarbonization in the European Union: Internal Policies and External Strategies; Dupont, C., Oberthür, S., Eds.; Palgrave Macmillan: Basingstoke, UK, 2015. [Google Scholar]

Share and Cite

MDPI and ACS Style

Lechtenböhmer, S.; Schneider, C.; Yetano Roche, M.; Höller, S. Re-Industrialisation and Low-Carbon Economy—Can They Go Together? Results from Stakeholder-Based Scenarios for Energy-Intensive Industries in the German State of North Rhine Westphalia. Energies 2015, 8, 11404-11429. https://doi.org/10.3390/en81011404

AMA Style

Lechtenböhmer S, Schneider C, Yetano Roche M, Höller S. Re-Industrialisation and Low-Carbon Economy—Can They Go Together? Results from Stakeholder-Based Scenarios for Energy-Intensive Industries in the German State of North Rhine Westphalia. Energies. 2015; 8(10):11404-11429. https://doi.org/10.3390/en81011404

Chicago/Turabian Style

Lechtenböhmer, Stefan, Clemens Schneider, María Yetano Roche, and Samuel Höller. 2015. "Re-Industrialisation and Low-Carbon Economy—Can They Go Together? Results from Stakeholder-Based Scenarios for Energy-Intensive Industries in the German State of North Rhine Westphalia" Energies 8, no. 10: 11404-11429. https://doi.org/10.3390/en81011404

APA Style

Lechtenböhmer, S., Schneider, C., Yetano Roche, M., & Höller, S. (2015). Re-Industrialisation and Low-Carbon Economy—Can They Go Together? Results from Stakeholder-Based Scenarios for Energy-Intensive Industries in the German State of North Rhine Westphalia. Energies, 8(10), 11404-11429. https://doi.org/10.3390/en81011404

Article Metrics

Back to TopTop